(5 dạng) Bài tập Sự tương giao của đồ thị hàm số ôn thi Tốt nghiệp
Bài viết Sự tương giao của đồ thị hàm số ôn thi Tốt nghiệp môn Toán với phương pháp giải chi tiết giúp học sinh ôn tập, biết cách làm bài tập Sự tương giao của đồ thị hàm số.
(5 dạng) Bài tập Sự tương giao của đồ thị hàm số ôn thi Tốt nghiệp
(199k) Xem Khóa học Toán 12 KNTTXem Khóa học Toán 12 CDXem Khóa học Toán 12 CTST
Bài giảng: Cách giải bài toán Tương giao của hai đồ thị - Cô Nguyễn Phương Anh (Giáo viên VietJack)
Dạng 1. Tìm giao điểm của hai đồ thị hàm số.
I. Phương pháp giải
Cho đồ thị của hai hàm số: y = f(x) có đồ thị (C1) và y = g(x) có đồ thị (C2). Để tìm giao điểm của hai đồ thị trên ta làm như sau:
+ Bước 1. Lập phương trình hoành độ giao điểm của hai đồ thị: f(x) = g(x)
+ Bước 2. Giải phương trình trên ta tìm được x (chú ý điều kiện)
⇒ y= ..
+ Từ đó suy ra số giao điểm của hai đồ thị đã cho.
II. Ví dụ minh họa
Ví dụ 1: Tìm số giao điểm của đồ thị (C): y = x3 - 3x2 + 2x + 1 và đường thẳng d: y = 1
A. 0 B. 1
C. 2 D. 3
Lời giải:
Phương trình hoành độ giao điểm của đường thẳng d và đồ thị (C):
x3 - 3x2 + 2x + 1 = 1 ⇔ x3 – 3x2 + 2x = 0
Vậy có ba giao điểm A(0;1), B(1;1), C(2; 1).
Suy ra chọn đáp án D.
Ví dụ 2: Gọi giao điểm của đồ thị (C): y = x4 + 2x2 - 3 và trục hoành là A(x1; y1), B(x2; y2). Tính x1 + x2 ?
A. 0 B. 1
C. 2 D. 4
Lời giải:
Phương trình hoành độ giao điểm của (C) và trục hoành:
Vậy có hai giao điểm: A(-1; 0) và B(1; 0) .
Suy ra: x1 + x2 = 0
Suy ra chọn đáp án A.
Ví dụ 3: Tìm tọa độ giao điểm của đồ thị sau và đường thẳng d: y = x + 2
Lời giải:
Phương trình hoành độ giao điểm của đồ thị (C) và đường thẳng d:
Điều kiện: x ≠ 1/2.
Với điều kiện trên (1) tương đương:
2x + 1 = (2x - 1).(x + 2)
⇔ 2x + 1 = 2x2 + 4x - x - 2 ⇔ 2x2 + x - 3 = 0
Vậy tọa độ giao điểm cần tìm là (-3/2; 1/2) và (1; 3).
Suy ra chọn đáp án B.
Ví dụ 4: Tìm tọa độ giao điểm của đồ thị hàm số sau và đường thẳng y = x + 1?
A. (-1; 0) B. (2; 3)
C. (1; 2) D. (4; 5)
Lời giải:
Phương trình hoành độ giao điểm của hai đồ thị:
Điều kiện: x ≠ -1
Với điều kiện trên (*) trở thành:
x2 – 2x - 3 = (x + 1).(x - 1)
⇔ x2 - 2x - 3 = x2 - 1
⇔ -2x = 2 nên x = -1 ⇒ y = 0
Vây giao điểm cần tìm là A(-1; 0)
Suy ra chọn đáp án A.
Ví dụ 5: Cho hai đồ thị hàm số (C1): y = x4 – x3 + x2 + 3 và (C2): y = -x3 + 6x2 – 1. Tìm số giao điểm có tọa độ nguyên của hai đồ thị hàm số trên ?
A. 1 B. 2
C. 4 D. 3
Lời giải:
* Phương trình hoành độ giao điểm của hai đồ thị là:
x4 – x3 + x2 + 3 = -x3 + 6x2 – 1
⇔ x4 – x3 + x2 + 3 + x3 – 6x2 + 1 = 0
⇔ x4 – 5x2 + 4 = 0 (*)
Đặt x2 = t (t ≥ 0). Khi đó; phương trình (*) trở thành: t2 – 5t + 4 = 0
Suy ra hai đồ thị đã cho cắt nhau tại 4 điểm phân biệt là: A(1; 4); B(-1; 6); C(2;15); D(-2; 31)
Suy ra chọn đáp án C.
Ví dụ 6: Cho đồ thị hàm số (C):
và đường thẳng d: y = x + 4. Biết đồ thị (C) cắt đường thẳng d cắt đồ thị (C) tại điểm M(x; y). Tính 2x + y?
A. -3 B. -4
C. 3 D. 2
Lời giải:
Phương trình hoành độ giao điểm của đường thẳng d và đồ thị (C) là:
Suy ra đường thẳng d cắt đồ thị (C) tại điểm (-8/3; 4/3) nên 2x + y = -4.
Suy ra chọn đáp án B.
Dạng 2. Biện luận theo m số giao điểm của hai đồ thị hàm số.
I. Phương pháp giải
* Phương pháp cô lập tham số m:
• Bước 1. Lập phương trình hoành độ giao điểm dạng F(x; m) = 0 (phương trình ẩn x; tham số m).
• Bước 2. Cô lập m đưa phương trình về dạng f(m) = g(x)
• Bước 3. Lập bảng biến thiên cho hàm số y = g(x).
• Bước 4. Dựa vào yêu cầu bài toán và bảng biến thiên từ đó suy ra các giá trị của m thỏa mãn.
* Phương pháp sử dụng tính chất đặc trưng của phương trình :
+ Phương trình bậc hai ax2 + bx + c = 0
• Phương trình có hai nghiệm phân biệt khi Δ > 0
• Phương trình có 1 nghiệm khi Δ = 0
• Phương trình vô nghiệm khi Δ < 0
+ Phương trình bậc ba ax3 + bx2 + cx + d = 0
• Nếu đã đoán được phương trình có 1 nghiệm x = x0 ta có thể dùng phép chia đa thức hoặc dùng sơ đồ Hor ner để phân tích đa thức thành nhân tử. Khi đó
ax3 + bx2 + cx + d = 0
Dựa vào yêu cầu bài toán; ta đi giải phương trình (*).
• Nếu không nhẩm được nghiệm và không cô lập được m thì bài toán được giải quyết theo hướng dùng cực trị của hàm số.
1. Đồ thị cắt trục hoành đúng 3 điểm phân biệt ⇔ yCT. yCĐ < 0
2. Đồ thị có hai điểm chung với trục hoành ⇔ yCT. yCĐ = 0
3. Đồ thị có một điểm chung với trục hoành ⇔ yCT. yCĐ > 0 hoặc hàm số không có cực trị .
Phương trình trùng phương ax4 + bx2 + c = 0 (1)
• Đặt t = x2 (t ≥ 0) phương trình (1) trở thành: at2 + bt + c = 0 (2)
• Để (1) có đúng 1 nghiệm thì (2) có 2 nghiệm t1, t2 thỏa mãn
• Để (1) có đúng 2 nghiệm thì (2) có hai nghiệm t1, t2 thỏa mãn:
• Để (1) có đúng 3 nghiệm thì (2) có hai nghiệm t1, t2 thỏa mãn: 0 = t1 < t2
• Để (1) có đúng 4 nghiệm thì (2) có hai nghiệm t1, t2 thỏa mãn: 0 < t1 < t2
II. Ví dụ minh họa
Ví dụ 1: Cho hàm số y = mx3 – x2 – 2x + 8m có đồ thị là (Cm ). Có bao nhiêu số nguyên m để đồ thị (Cm ) cắt trục hoành tại ba điểm phân biệt.
A. 0 B. 1
C. 2 D. 3
Lời giải:
Phương trình hoành độ giao điểm của đồ thị (Cm) và trục hoành:
mx3 – x2 – 2x + 8m = 0 (1)
⇔ (x + 2)[mx2 - (2m + 1)x + 4m] = 0
* Để (Cm) cắt trục hoành tại ba điểm phân biệt khi và chỉ khi (1) có ba nghiệm phân biệt. Hay (2) có hai nghiệm phân biệt khác -2.
Vậy m ∈ (-1/6; 1/6)\{0} thỏa yêu cầu bài toán.
Mà m nguyên nên không có giá trị nguyên nào của m thỏa mãn.
Suy ra chọn đáp án A.
Ví dụ 2: Cho hàm số y = 2x3 – 3mx2 + (m - 1)x + 1 có đồ thị (C). Tìm m để đường thẳng d: y = -x + 1 cắt đồ thị (C) tại ba điểm phân biệt.
A. (-∞; 0) ∪ (8/9; ∞) B. (-∞; -8/9) ∪ (0; ∞)
C. (0; 8/9) D. (-8/9; 0)
Lời giải:
* Phương trình hoành độ giao điểm của (C) và d:
2x3 - 3mx2 + (m - 1)x + 1 = -x + 1
⇔ 2x3 – 3mx2 + (m - 1)x + x = 0
⇔ x(2x2 – 3mx + m) = 0
* Để đường thẳng d cắt (C) tại ba điểm phân biệt khi và chỉ khi phương trình (*) có hai nghiệm phân biệt khác 0
⇔ (-∞; 0) ∪ (8/9; ∞)
Vậy (-∞; 0) ∪ (8/9; ∞) thỏa yêu cầu bài toán.
Suy ra chọn đáp án A.
Ví dụ 3: Tìm m để phương trình x4 – 2x2 – m + 3 = 0 có bốn nghiệm phân biệt.
A. 1 < m < 2 B. 2 < m < 4
C. 2 < m < 3 D. 3 < m < 4
Lời giải:
* Ta có: x4 – 2x2 – m + 3 = 0 ⇔ x4 – 2x2 + 3 = m (1)
* Phương trình (1) là phương trình hoành độ giao điểm của hai đồ thị (C): y = x4 – 2x2 + 3 và đường thẳng d: y = m.
Số nghiệm của (1) bằng số giao điểm của (C) và d.
* Khảo sát và vẽ bảng biến thiên của hàm số y = x4 - 2x2 + 3.
Tập xác định: D = R.
Đạo hàm: y' = 4x3 – 4x. Xét phương trình y' = 0
Bảng biến thiên:
Dựa vào bảng biến thiên ta thấy (1) có bốn nghiệm phân biệt khi 2 < m < 3.
Vậy 2 < m < 3 thỏa yêu cầu bài toán.
Suy ra chọn đáp án C.
Ví dụ 4: Cho hàm số
có đồ thị là (C).
Tìm giá trị nguyên dương m nhỏ nhất để đường thẳng d: y = -x + m cắt đồ thị (C) tại hai điểm phân biệt.
A. 1 B. 5
C. 0 D. 6
Lời giải:
Phương trình hoành độ giao điểm:
Điều kiện: x ≠ -1. Khi đó (1) ⇔ (1) ⇔ 2x - 1 = (-x + m)(x-1)
⇔ x2 – (m - 1)x + m - 1 = 0 ( 2)
Để d cắt (C) tại hai điểm phân biệt khi (1) có hai nghiệm phân biệt
⇔ (2) có hai nghiệm phân biệt khác
⇔ m2 – 6m + 5 > 0 ⇔ m ∈ (-∞; 1) ∪ (5; +∞)
Vậy giá trị m cần tìm là m ∈ (-∞; 1) ∪ (5; +∞)
Suy ra giá trị nguyên dương m nhỏ nhất thỏa mãn là m = 6.
Suy ra chọn đáp án D.
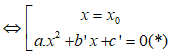
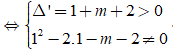
Ví dụ 5: Tìm m để đồ thị hàm số y = x3 + mx + 2 cắt trục hoành tại một điểm duy nhất.
A. m > -3 B. m < -1
C. m > 3 D. m < 1
Lời giải:
* Phương trình hoành độ giao điểm của đồ thị hàm số với trục hoành là: x3 + mx + 2 = 0.
* Vì x = 0 không là nghiệm của phương trình, nên phương trình tương đương với
* Xét hàm số
Suy ra
Vậy f'(x) = 0 khi x = 1.
* Bảng biến thiên:
Dựa vào bảng biến thiên ta thấy đồ thị cắt trục hoành tại một điểm duy nhất khi m > -3. Vậy m > -3 thỏa yêu cầu bài toán.
Suy ra chọn đáp án A.
Ví dụ 6: Gọi d là đường thẳng đi qua A(1;0) và có hệ số góc m. Tìm tất cả các giá trị thực của tham số m để d cắt đồ thị hàm số
(C) tại hai điểm phân biệt thuộc hai nhánh của đồ thị.
A. m ≠ 0 B. m > 0
C. m < 0 D. 0 < m ≠ 1
Lời giải:
Đường thẳng d có dạng y = m(x - 1) = mx - m.
Phương trình hoành độ giao điểm:
⇔ x + 2 = (mx - m)(x - 1)
Đồ thị (C) có tiệm cận đứng x = 1.
Để d cắt (C) tại hai điểm phân biệt thuộc hai nhánh của đồ thị khi phương trình (*) có hai nghiệm phân biệt x1 < x2 thỏa mãn
x1 < 1 < x2
Suy ra chọn đáp án B.
Dạng 3. Tìm m để giao điểm của hai đồ thị thỏa mãn điều kiện.
I. Phương pháp giải
Cho đồ thị của hai hàm số y = f(x) và y = g(x).
Phương trình hoành độ giao điểm của hai đồ thị:
f(x) = g(x) hay f(x) - g(x) = 0
* Khi rút gọn nếu ta được phương trình bậc hai: ax2 + bx + c = 0
Theo hệ thức Viet ta có:
1. Phương trình có hai nghiệm trái dấu khi và chỉ khi: P < 0.
2. Phương trình có hai nghiệm dương phân biệt khi
3. Phương trình có hai nghiệm âm phâm biệt khi
* Nếu ta rút gọn được phương trình bậc ba; ta sử dụng phương pháp cô lập m; đoán nghiệm... để đưa về giải phương trình bậc hai.
* Các công thức hay dùng:
• Cho đường thẳng d: ax + by + c = 0 và điểm M(x0; y0).
• Cho điểm A(x1; y1); B(x2; y2).
Ta có:
• Diện tích tam giác:
Trong đó:
a, b, c là độ dài ba cạnh của tam giác; p = (a + b + c)/2 là nửa chu vi.
ha, hb, hc là độ dài của đường cao ương ứng với các cạnh a, b, c .
R, r lần lượt là bán kính của đường tròn ngoại tiếp và nội tiếp tam giác.
II. Ví dụ minh họa
Ví dụ 1: Gọi d là đường thẳng đi qua điểm A(-1; 0) với hệ số góc k. Tìm k để đường thẳng d cắt đồ thị hàm số (C): y = x3 – 3x2 + 4 tại ba điểm phân biệt A, B, C và tam giác OBC có diện tích bằng 1 (O là gốc tọa độ).
A. k = -1 B. k = 2
C. k = 1 D. k = -2
Lời giải:
* Đường thẳng d đi qua A(-1;0) và có hệ số góc k nên có dạng: y = k(x + 1) hay kx - y + k = 0.
* Phương trình hoành độ giao điểm của (C) và d là:
x3 - 3x2 + 4 = kx + k ⇔ (x + 1)(x2 - 4x + 4 - k) = 0
* Để d cắt (C) tại ba điểm phân biệt phương trình (*) có hai nghiệm phân biệt khác -1.
* Khi đó g(x) = 0 ⇒ x = 2 - √k; x = 2 + √k. Vậy các giao điểm của hai đồ thị lần lượt là:
A(-1;0), B(2 - √k; 3k - k√k), C(2 + √k; 3k + k√k)
* Tính được
Khi đó
⇔ |k|√k = 1 ⇔ k3 = 1 ⇔ k = 1.
Vậy k = 1 thỏa yêu cầu bài toán.
Suy ra chọn đáp án A.
Ví dụ 2: Cho hàm số y = x4 – (3m + 2)x2 + 3m (C). Tìm m để đường thẳng d: y = -1 cắt đồ thị (C) tại bốn điểm phân biệt có hoành độ đều nhỏ hơn 2.
A. m ≠ 0 B. -1/3 < m < 1
C. -2 < m < 1/3 D. Cả A và B đúng
Lời giải:
* Phương trình hoành độ giao điểm của (C) và d: y = -1 là
x4 – (3m + 2)x2 + 3m = -1
⇔ x4 – (3m +2)x2 + 3m + 1 = 1 (*)
* Đặt t = x2 (t ≥ 0), phương trình (*) trở thành:
t2 - (3m + 2)t + 3m + 1 = 0
Khi đó
Yêu cầu bài toán:
⇔ -1/3 < m < 1 và m ≠ 0
Vậy -1/3 < m < 1 và m ≠ 0 thỏa yêu cầu bài toán.
Suy ra chọn đáp án A.
Ví dụ 3: Cho hàm số y = x4 – (3m + 4)x2 + m2 có đồ thị là (Cm). Tìm giá trị nguyên của m để đồ thị (Cm) cắt trục hoành tại bốn điểm phân biệt có hoành độ lập thành một cấp số cộng.
A. m = 10 B. m = 12
C. m = 11 D. m = 13
Lời giải:
* Phương trình hoành độ giao điểm: x4 – (3m + 4)x2 + m2 = 0
Đặt t = x2 (t ≥ 0), phương trình (1) trở thành: t2 – (3m + 4)t + m2 = 0
* Để (Cm) cắt trục hoành tại bốn điểm phân biệt
⇔ (1) có bốn nghiệm phân biệt ⇔ (2) có hai nghiệm dương phân biệt
* Khi đó phương trình (2) có hai nghiệm 0 < t1 < t2.
Suy ra phương trình (1) có bốn nghiệm phân biệt là: x1 = -√t2 < x2 = -√t1 < x3 = √t1 < x4 = √t2
Bốn nghiệm x1; x2; x3; x4 lập thành cấp số cộng
⇔ x2 – x1 = x3 - x2 = x4 – x3
⇔ -√t1 + √t2 = 2√t1 ⇔ √t2 = 3√t1 ⇔ t2 = 9t1 (3)
* Theo định lý Viet ta có
Từ (3) và (4) ta suy ra được
Thay (6) vào (5) ta được 9/100.(3m + 4)2 = m2
Kết hợp điều kiện m nguyên thì giá trị m cần tìm là m = 12.
Suy ra chọn đáp án B.
Ví dụ 4: Tìm tất cả các giá trị thực của tham số m để đồ thị hàm số y = x3 – 3x2 + 2 (C) cắt đường thẳng d: y = m(x - 1) tại ba điểm phân biệt có hoành độ x1, x2, x3 thỏa mãn x12 + x22 + x32 = 5 .
A. m > -3 B. m = -3
C. m > -2 D. m = -2
Lời giải:
Phương trình hoành độ giao điểm của đồ thị (C) và đường thẳng d:
x3 – 3x2 + 2 = m(x - 1) hay (x - 1).(x2 – 2x - 2) – m(x - 1) = 0
Để d cắt đồ thị (C) tại ba điểm phân biệt khi và chỉ khi phương trình (*) có hai nghiệm phân biệt khác1.
Giả sử x1 = -1. Khi đó x2, x3 là hai nghiệm của phương trình (*) .
Theo định lí Viet, ta có
Để x12 + x22 + x32 = 5 thì 12 + x22 + x32 = 5 ⇔ x22 + x32 = 5
⇔ (x2 + x3)2 - 2x2x3 = 4
⇔ 4 + 2(m + 2) = 4 ⇔ 2m = -4 nên m = -2 ( thỏa mãn)
Suy ra chọn đáp án D.
Ví dụ 5: Tìm tất cả các giá trị thực của tham số m để đường thẳng d: y = x + 4 cắt đồ thị hàm số y = x3 + 2mx2 + (m + 3)x + 4 (C) tại ba điểm phân biệt A(0; 4), B, C sao cho tam giác MBC có diện tích bằng 4, với M(1,3).
A. m = 2; m = 3 B. m = 3
C. m = -2; m = -3 D. m = -2; m = 3
Lời giải:
Phương trình hoành độ giao điểm của đường thẳng d và đồ thị (C):
x3 + 2mx2 + (m + 3)x + 4 = x + 4
⇔ x3 + 2mx2 + (m + 2)x = 0
⇔ x.(x2 + 2mx + m + 2) = 0
Để d cắt đồ thị (C) tại ba điểm phân biệt khi (*) có hai nghiệm phân biệt khác 0
Gọi x1; x2 là hai nghiệm của (*). Theo định lí Viet, ta có
Giải sử B(x1; x1 + 4), C(x2; x2 + 4).
Ta có
(chú ý đường thẳng d chính là đường thẳng BC).
Theo đề: SΔMBC = 4 ⇔ 1/2.d(M, d)BC = 4 ⇔ (x1 - x2)2 = 16
⇔ (x1 + x2)2 - 4x1x2 = 16
⇔ m2 - m - 6 = 0
Suy ra chọn đáp án B.
Ví dụ 6: Tìm tất cả các giá trị thực của tham số m để đường thẳng d: y = -mx cắt đồ thị của hàm số y = x3 - 3x2 – m + 2 (C) tại ba điểm phân biệt A, B, C sao cho AB = BC.
A. m > 1 B. m < 3
C. m < -1 D. m > 0
Lời giải:
Phương trình hoành độ giao điểm của đường thẳng d và đồ thị (C)
x3 – 3x2 – m + 2 = -mx ⇔ x3 – 3x2 + 2 + m(x - 1) = 0
⇔ (x - 1).(x2 – 2x + m - 2) = 0
Để d cắt (C) tại ba điểm phân biệt khi (*) có hai nghiệm phân biệt khác 1.
Gọi x1, x2 là hai nghiệm của phương trình (*). Theo định lí Viet, ta có x1 + x2 = 2 nên suy ra x1 > 1 hoặc x2 > 1.
Giả sử x2 > 1 thì x1 = 2 - x2 < 1, suy ra x1 < 1 < x2.
Theo giả thiết BA = BC nên B là trung điểm của AC do đó xB = 1 và xA = x1; xC = x2.
Ta thấy: xA + xC = 2.xB
⇒ d cắt (C) tại ba điểm phân biệt A, B, C thỏa mãn AB = BC.
Vậy với m < 3 thỏa mãn yêu cầu bài toán.
Suy ra chọn đáp án B.
Dạng 4. Dựa vào đồ thị hàm số, bảng biến thiên biện luận theo m số giao điểm của hai đồ thị
I. Phương pháp giải
+ Cho đồ thị của hai hàm số (C1): y = f(x) và (C2): y = g(x). Số điểm chung của hai đồ thị chính là số nghiệm của phương trình: f(x) = g(x).
+ Đường thẳng y = m là đường thẳng đi qua điểm M(0; m) và song song với trục Ox. Dựa vào bảng biến thiên, đồ thị (C) của hàm số ta dễ dàng tìm được số giao điểm của đường thẳng y = m và đồ thị ( C)
II. Ví dụ minh họa
Ví dụ 1: Cho hàm số y = f(x) xác định trên R và có đồ thị như hình vẽ bên. Tìm tất cả các giá trị thực của tham số m để phương trình f(x) + m + 1 = 0 có duy nhất một nghiệm.
A. m > 0 hoặc m < 4 B. -4 < m < 0
C. m < -4 hoặc m > 0 D. m > 4 hoặc m < 0
Lời giải:
Phương trình: f(x) + m + 1 = 0 tương đương: f(x) = -m - 1
Đây là phương trình hoành độ giao điểm của đồ thị hàm số y = f(x) và đường thẳng y = -m - 1(là đường thẳng qua M(0; -m - 1); có phương song song hoặc trùng với trục hoành).
Dựa vào đồ thị, ta có ycbt
Suy ra chọn đáp án C.
Ví dụ 2: Hàm số y = 2x3 – 9x2 + 12x có đồ thị như hình vẽ bên. Tìm tất cả các giá trị của tham số m để phương trình 2|x|3 - 9x2 + 12|x| + m = 0 có sáu nghiệm phân biệt.
A. m < - 5 B. -5 < m < -4
C. 4 < m < 5 D. m > -4
Lời giải:
Trước tiên từ đồ thị hàm số y = 2x3 – 9x2 + 12x, ta suy ra đồ thị hàm số y = 2|x|3 – 9x2 + 12|x| như hình dưới đây:
Phương trình 2|x|3 – 9x2 + 12|x| + m = 0 ⇔ 2|x|3 – 9x2 + 12|x| = -m là phương trình hoành độ giao điểm của đồ thị hàm số y = 2|x|3 – 9x2 + 12|x| và đường thẳng y = - m
Dựa vào đồ thị hàm số y = 2|x|3 – 9x2 + 12|x|, để phương trình 2|x|3 – 9x2 + 12|x| + m = 0 có 6 nghiệm phân biệt khi và chỉ khi: 4 < -m < 5 hay -5 < m < -4
Suy ra chọn đáp án B.
Ví dụ 3: Cho hàm số f(x) xác định trên R và có đồ thị như hình bên. Hỏi với những giá trị nào của tham số thực m thì phương trình |f(x)| = m có đúng hai nghiệm phân biệt.
A. 0 < m < 1. B. m > 5
C. m = 1; m = 5 D. 0 < m < 1; m > 5
Lời giải:
Ta có:
Từ đó suy ra cách vẽ đồ thị hàm số (C) từ đồ thị hàm số y = f(x) như sau:
+ Giữ nguyên đồ thị y = f(x) phía trên trục hoành.
+ Lấy đối xứng phần đồ thị y = f(x) phía dưới trục hoành qua trục hoành (bỏ phần dưới).
Kết hợp hai phần ta được đồ thị hàm số y = |f(x)| như hình vẽ.
Phương trình |f(x)| = m là phương trình hoành độ giao điểm của đồ thị hàm số y = |f(x)| và đường thẳng y = m (cùng phương với trục hoành).
Dựa vào đồ thị, ta có ycbt
Suy ra chọn đáp án D.
Ví dụ 4: Cho hàm số y = f(x) xác định trên R và có đồ thị như hình bên. Hỏi phương trình f(|x - 2|) = -1/2 có bao nhiêu nghiệm?
A. 2 B. 3
C. 6 D. 4
Lời giải:
* Trước tiên tịnh tiến đồ thị sang phải 2 đơn vị để được đồ thị hàm số y = f(x - 2).
Tiếp theo giữ phần đồ thị phía bên phải đường thẳng x = 2, xóa bỏ phần đồ thị phía bên trái đường thẳng x = 2.
Cuối cùng lấy đối xứng phần đồ thị vừa giữ lại ở trên qua đường thẳng x = 2. Ta được toàn bộ phần đồ thị của hàm số y = f(|x - 2|) (hình vẽ bên dưới)
* Dựa vào đồ thị hàm số y = f(|x - 2|), ta thấy đường thẳng y = -1/2 cắt đồ thị hàm số y = f(|x - 2|) tại 4 điểm phân biệt
Suy ra: phương trình y = f(|x - 2|) = -1/2 có 4 nghiệm phân biệt.
Suy ra chọn đáp án D.
Ví dụ 5: Cho hàm số y = f(x) xác định, liên tục trên R và có bảng biến thiên sau:
Tìm tất cả các giá trị thực của tham số m để phương trình f(x)= m+1 có đúng hai nghiệm.
A. -2 < m < -1 B. m > 0; m = -1
C. m = -2; m > -1 D. m = -2; m ≥ -1
Lời giải:
* Phương trình f(x) = m + 1 là phương trình hoành độ giao điểm của đồ thị hàm số y = f(x) và đường thẳng y = m + 1 ( đi qua M(0; m + 1) và cùng phương với trục hoành).
* Dựa vào bảng biến thiên, ta thấy để phương trình đã cho có đúng hai nghiệm khi và chỉ khi
Suy ra chọn đáp án C.
Ví dụ 6: Cho hàm số y = f(x) xác định trên R\{1} và liên tục trên từng khoảng xác định, có bảng biến thiên như sau:
Tìm các giá trị thực của tham số m để đồ thị hàm số y=f(x) cắt đường thẳng y=2m-1 tại hai điểm phân biệt.
A. 1 ≤ m < 3/2 B. 1 < m < 2
C. 1 ≤ m ≤ 3/2 D. 1 < m < 3/2
Lời giải:
Dựa vào bảng biến thiên, ta thấy để đồ thị hàm số y = f(x) cắt đường thẳng y = 2m - 1 tại hai điểm phân biệt khi và chỉ khi: 1 < 2m - 1 < 2 ⇔ 1 < m < 3/2
Chú ý: không có giá trị nào của x để y = 2 mà chỉ tồn tại
và không có giá trị của x để y = 1 mà chỉ tồn tại
Suy ra chọn đáp án D.
Ví dụ 7: Cho hàm số y = f(x), xác định trên R\{-1;1}, liên tục trên mỗi khoảng xác định và có bảng biến thiên sau:
Tìm tất cả các giá trị thực của tham số m sao cho đường thẳng y = 2m + 1cắt đồ thị hàm số đã cho tại hai điểm phân biệt.
A. m ≤ -2 B. m ≥ 1
C. m ≤ -2, m > 1 D. m < -2, m > 1
Lời giải:
Dựa vào bảng biến thiên, ta thấy đường thẳng y = 2m + 1 cắt đồ thị hàm số y = f(x) tại hai điểm phân biệt khi và chỉ khi:
Suy ra chọn đáp án D.
Dạng 5. Sự tiếp xúc của hai đường cong.
I. Phương pháp giải
* Hai đường cong y = f(x) và y = g(x) tiếp xúc với nhau khi và chỉ khi hệ phương trình:
Có nghiệm và nghiệm của hệ phương trình trên là hoành độ tiếp điểm của hai đường cong đó.
* Giả sử hai đường cong tiếp xúc với nhau tại M(x0; y0) khi đó phương trình tiếp tuyến chung của hai đồ thị là: y = g'(x0)(x - x0) + y0
II. Ví dụ minh họa
Ví dụ 1: Cho hai đường cong y = x3 - x + 1 và y = x2 - 5/4.x + 1. Chứng minh hai đường cong tiếp xúc với nhau tại một điểm M nào đó. Tìm tọa độ tiếp điểm và viết phương trình tiếp tuyến chung đó.
Lời giải:
Hoành độ tiếp điểm của hai đường cong đã cho là nghiệm phương trình:
Vậy hai đường cong đã cho tiếp xúc với nhau tại điểm M(1/2; 5/8).
Hệ số góc của tiếp tuyến chung tại M của hai đường cong đã cho là: y'(1/2) = -1/4
Phương trình tiếp tuyến chung của hai đường cong tại điểm M là:
Ví dụ 2: Chứng minh đường cong y = 2x3 – x2 – x tiếp xúc với parabol y = x2 + x - 2 tại một điểm nào đó. Xác định tiếp điểm và viết phương trình tiếp tuyến chung của hai đường cong tại điểm đó?
Lời giải:
* Hoành độ tiếp điểm của hai đường cong đã cho là nghiệm hệ phương trình:
Vậy hai đường cong đã cho tiếp xúc với nhau tại điểm M(1; 0).
* Hệ số góc của tiếp tuyến chung tại điểm M của hai đường cong là y'(1) = 3.
Phương trình tiếp tuyến chung của hai đường cong tại M là: y = 3(x - 1) + 0 hay y = 3x - 3.
Ví dụ 3: Chứng minh rằng đồ thị của hai hàm số f(x)= x2 + 3x và
tiếp xúc với nhau. Xác định tiếp điểm và viết phương trình tiếp tuyến chung của hai đồ thị.
Lời giải:
* Hoành độ tiếp điểm của hai đường cong đã cho là nghiệm hệ phương trình:
Vậy hai đường cong đã cho tiếp xúc với nhau tại điểm M(0; 0)
* Ta có f'(0) = 3. Phương trình tiếp tuyến chung của hai đường cong đã cho là: y = 3(x - 0) + 0 hay y = 3x
Ví dụ 4: Tìm các hệ số a, b sao cho parabol y = f(x) = 2x2 + ax + b tiếp xúc với hypebol y = g(x) = 1/x tại điểm M(1/2; 2)
Lời giải:
Ta có hoành độ tiếp điểm của parabol và hypebol là nghiệm hệ phương trình:
Theo giả thiết parabol và hypebol tiếp xúc với nhau tại điểm M(1/2; 2) nên x = 1/2 là nghiệm hệ phương trình trên. Thay vào hệ phương trình trên ta được:
Vậy a = -6; b = 9/2.
Bài tập tự luyện.
Bài 1. Cho hàm số y = f(x) có bảng biến thiên như sau:
Tìm số giao điểm của đồ thị hàm số đã cho và đường thẳng y = 1.
Bài 2. Cho hàm số y = f(x) = ax4 + bx2 + c có đồ thị là đường cong trong hình dưới. Có bao nhiêu giá trị nguyên thuộc đoạn [-2;5] của tham số m để phương trình f(x) = m có đúng 2 nghiệm thực phân biệt?
Bài 3. Đồ thị của hàm số y = x3 – 3x + 2 cắt trục tung tại điểm có tung độ bằng bao nhiêu?
Bài 4. Cho hàm số bậc ba y = f(x) có đồ thị là đường cong trong hình.
Tìm số nghiệm thực phân biệt của phương trình f(f(x)) = 1.
Bài 5. Cho hàm số bậc ba y = f(x) có đồ thị là đường cong trong hình.
Tìm số nghiệm thực của phương trình f(x) = -1.
(199k) Xem Khóa học Toán 12 KNTTXem Khóa học Toán 12 CDXem Khóa học Toán 12 CTST
Xem thêm các dạng bài tập Toán lớp 12 ôn thi Tốt nghiệp có lời giải hay khác:
- 2 dạng bài Tiếp tuyến của đồ thị hàm số ôn thi Tốt nghiệp (có lời giải)
- (5 dạng) Bài tập Sự tương giao của đồ thị hàm số ôn thi Tốt nghiệp
- Dạng bài Điểm thuộc đồ thị hàm số ôn thi Tốt nghiệp (có lời giải)
- 4 dạng bài Nhận dạng đồ thị hàm số ôn thi Tốt nghiệp (có lời giải)
Đã có app VietJack trên điện thoại, giải bài tập SGK, SBT Soạn văn, Văn mẫu, Thi online, Bài giảng....miễn phí. Tải ngay ứng dụng trên Android và iOS.
Theo dõi chúng tôi miễn phí trên mạng xã hội facebook và youtube:Nếu thấy hay, hãy động viên và chia sẻ nhé! Các bình luận không phù hợp với nội quy bình luận trang web sẽ bị cấm bình luận vĩnh viễn.
- Giải Tiếng Anh 12 Global Success
- Giải sgk Tiếng Anh 12 Smart World
- Giải sgk Tiếng Anh 12 Friends Global
- Lớp 12 Kết nối tri thức
- Soạn văn 12 (hay nhất) - KNTT
- Soạn văn 12 (ngắn nhất) - KNTT
- Giải sgk Toán 12 - KNTT
- Giải sgk Vật Lí 12 - KNTT
- Giải sgk Hóa học 12 - KNTT
- Giải sgk Sinh học 12 - KNTT
- Giải sgk Lịch Sử 12 - KNTT
- Giải sgk Địa Lí 12 - KNTT
- Giải sgk Giáo dục KTPL 12 - KNTT
- Giải sgk Tin học 12 - KNTT
- Giải sgk Công nghệ 12 - KNTT
- Giải sgk Hoạt động trải nghiệm 12 - KNTT
- Giải sgk Giáo dục quốc phòng 12 - KNTT
- Giải sgk Âm nhạc 12 - KNTT
- Giải sgk Mĩ thuật 12 - KNTT
- Lớp 12 Chân trời sáng tạo
- Soạn văn 12 (hay nhất) - CTST
- Soạn văn 12 (ngắn nhất) - CTST
- Giải sgk Toán 12 - CTST
- Giải sgk Vật Lí 12 - CTST
- Giải sgk Hóa học 12 - CTST
- Giải sgk Sinh học 12 - CTST
- Giải sgk Lịch Sử 12 - CTST
- Giải sgk Địa Lí 12 - CTST
- Giải sgk Giáo dục KTPL 12 - CTST
- Giải sgk Tin học 12 - CTST
- Giải sgk Hoạt động trải nghiệm 12 - CTST
- Giải sgk Âm nhạc 12 - CTST
- Lớp 12 Cánh diều
- Soạn văn 12 Cánh diều (hay nhất)
- Soạn văn 12 Cánh diều (ngắn nhất)
- Giải sgk Toán 12 Cánh diều
- Giải sgk Vật Lí 12 - Cánh diều
- Giải sgk Hóa học 12 - Cánh diều
- Giải sgk Sinh học 12 - Cánh diều
- Giải sgk Lịch Sử 12 - Cánh diều
- Giải sgk Địa Lí 12 - Cánh diều
- Giải sgk Giáo dục KTPL 12 - Cánh diều
- Giải sgk Tin học 12 - Cánh diều
- Giải sgk Công nghệ 12 - Cánh diều
- Giải sgk Hoạt động trải nghiệm 12 - Cánh diều
- Giải sgk Giáo dục quốc phòng 12 - Cánh diều
- Giải sgk Âm nhạc 12 - Cánh diều


Giải bài tập SGK & SBT
Tài liệu giáo viên
Sách
Khóa học
Thi online
Hỏi đáp

