Điểm thuộc đồ thị hàm số ôn thi Tốt nghiệp (có lời giải)
Bài viết Điểm thuộc đồ thị hàm số ôn thi Tốt nghiệp môn Toán với phương pháp giải chi tiết giúp học sinh ôn tập, biết cách làm bài tập Điểm thuộc đồ thị hàm số.
Điểm thuộc đồ thị hàm số ôn thi Tốt nghiệp (có lời giải)
(199k) Xem Khóa học Toán 12 KNTTXem Khóa học Toán 12 CDXem Khóa học Toán 12 CTST
I. Phương pháp giải
1. Bài toán tìm điểm cố định của họ đường cong
Xét họ đường cong (Cm) có phương trình y = f(x; m). Hãy tìm những điểm cố định thuộc họ đường cong khi m thay đổi?
Phương pháp giải:
• Bước 1. Đưa phương trình y = f(x; m) về dạng sau: A.m + B = 0 hoặc Am2 + Bm + C = 0
• Bước 2. Cho các hệ số bằng 0; ta thu được hệ phương trình và giải hệ phương trình:
• Kết luận: Nếu hệ vô nghiệm thì đường cong không có điểm cố định. Nếu hệ có nghiệm thì điểm đó chính là điểm cố định của đường cong.
2. Bài toán tìm điểm thuộc đồ thị hàm số và có tọa độ nguyên
Cho đường cong (C) có phương trình y = f(x) (hàm phân thức). Hãy tìm những điểm có tọa độ nguyên của đường cong?
Phương pháp giải:
• Bước 1. Thực hiện phép chia đa thức; chia tử số cho mẫu số.
• Bước 2. Lập luận để tìm ra x.
Chú ý:
khi và chỉ khi (cx + d) ∈ Ư(k). Từ đó ta lập bảng.
3. Bài toán tìm điểm có tính chất đối xứng
Cho đường cong (C) có phương trình y = f(x). Tìm những điểm thuộc đường cong (C) và đối xứng với nhau qua một điểm; qua một đường thẳng.
Sử dụng tính chất hai điểm A, B đối xứng với nhau qua 1 điểm M (đường thẳng d). Khi đó; M là trung điểm AB(d là đường trung trực của AB).
4. Bài toán: Cho hàm số
có đồ thị(C). Hãy tìm trên (C) hai điểm A và B thuộc hai nhánh của đồ thị hàm số sao cho khoảng cách AB ngắn nhất.
Phương pháp giải:
Đồ thị hàm số (C) có tiệm cận đứng là x = -d/c. Do tính chất hàm phân thức, đồ thị nằm về hai phía của tiệm cận đứng. Nên gọi hai số α, β là hai số dương
• Nếu A thuộc nhánh trái thì
• Nếu B thuộc nhánh phải thì
Sau đó:
tính
Sau đó áp dụng bất đẳng thức Cô-si ta sẽ ra kết quả.
5. Bài toán: Cho đồ thị hàm số (C) có phương trình y = f(x). Tìm tọa độ điểm M thuộc (C) để tổng khoảng cách từ M đến hai trục tọa độ nhỏ nhất (lớn nhất).
Phương pháp
• Gọi tọa độ M(x; y). Khi đó, tổng khoảng cách từ M đến hai trục tọa độ là: d = |x| + |y|
• Sử dụng phương pháp đánh giá, dùng bất đẳng thức hoặc xét chiều biến thiên của hàm số để xét tính dmax, dmin
6. Bài toán. Cho đồ thị hàm số ( C) có phương trình:
Tìm tọa độ điểm M trên (C) sao cho độ dài MI ngắn nhất (lớn nhất) - với I là điểm cho trước.
Phương pháp
• Gọi điểm
• Tính
• Dùng bất đẳng thức, phương pháp tìm giá trị lớn nhất, giá trị nhỏ nhất của hàm số
II. Ví dụ minh họa
Ví dụ 1: Cho hàm số y = -x3 + 3x + 2. Tìm hai điểm trên đồ thị hàm số sao cho chúng đối xứng nhau qua điểm M(-1;3).
A. (-1; 0) và (-1; 6) B.(-2; 0) và (0;6)
C. (0; 2) và (-2; 4) D. Đáp án khác
Lời giải:
* Gọi A(x0;y0) và B là điểm đối xứng với A qua điểm M(-1; 3)
⇒ M là trung điểm của AB nên B(-2 - x0; 6 - y0).
* Do A và B thuộc đồ thị hàm số (C) nên:
Từ (1) và (2) lấy vế cộng vế ta được:
6 = -x03 + 3x0 + 2 - (-2 - x0)3 + 3(-2 - x0) + 2
⇔ 6 = -x03 + 3x0 + 2 + 8 + 12x0 + 6x02 + x03 - 6 – 3x0 + 2
⇔ 6x02 + 12x0 + 6 = 0
⇔ x0 = -1 nên y0 = 0
Vậy 2 điểm cần tìm là: (-1; 0) và (-1; 6).
Suy ra chọn đáp án A.
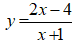
Ví dụ 2: Cho hàm số
có đồ thị (C).
Tìm trên (C) hai điểm đối xứng nhau qua đường thẳng MN biết M(-3; 0) và N(-1; -1)
A. (0; -4) và (1; 3) B. (2; 0) và (0; -4)
C. (1;3) và (2; 1) D. (3; 1) và (2; -2)
Lời giải:
Ta có: MN→(2;-1)
* Phương trình đường thẳng MN:
⇒ (MN): 1(x + 3) + 2(y - 0) = 0
hay x + 2y + 3 = 0 có hệ số góc k = -1/2.
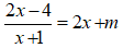
* Phương trình đường thẳng d ⊥ MN có dạng: y = 2x + m.
Phương trình hoành độ giao điểm của (C) và (d):
Nên 2x2 + mx + m + 4 = 0 (1)
+ Để d cắt (C) tại hai điểm phân biệt A, B ⇔ Δ = m2 - 8m - 32 > 0 (2)
Khi đó A(x1; 2x1 + m); B(x2; 2x2 + m) với x1; x2 là các nghiệm của (1)
Trung điểm của AB là
(theo định lý Vi-et)
Do A và B đối xứng nhau qua MN ⇔ I ∈ MN ⇔ m = -4
Suy ra (1)
Nên A(0; -4); B(2; 0)
Suy ra chọn đáp án B.
Ví dụ 3: Cho hàm số y = x3 + mx2 + 9x + 4. Xác định các giá trị của m để trên đồ thị hàm số có cặp điểm đối xứng nhau qua gốc tọa độ O.
A. m > 0 B. m < 0
C. m ≥ 0 D. m ≤ 0
Lời giải:
* Giả sử M(x0; y0); N(-x0; -y0) với x0 ≠ 0 là cặp điểm đối xứng nhau qua O. Do M và N thuộc đồ thị hàm số nên ta có:
* Lấy (1) cộng với (2) vế với vế ta có: mx02 + 4 = 0 (3)
Để (3) có nghiệm khi và chỉ khi m < 0 .
Vậy với m < 0 thì trên đồ thị hàm số có một cặp điểm đối xứng nhau qua gốc tọa độ O có hoành độ
Suy ra chọn đáp án B.
Ví dụ 4: Tìm m để có hai điểm cực trị đối xứng với nhau qua đường thẳng d: 9x - 6y – 7 = 0
(Cm):
Lời giải:
Ta có: y' = x2 – (m + 2).x + 2m
Và y' = 0 khi x = 2 hoặc x = m.
* Hàm số có hai điểm cực trị
⇔ Phương trình y' = 0 có hai nghiệm phân biệt ⇔ m ≠ 2
* Khi đó hai điểm cực trị của đồ thị hàm số đã cho là:
* Để A và B đối xứng với nhau qua đường thẳng (d) ⇔ AB ⊥ (d) và trung điểm I của đoạn AB thuộc (d).
Một vectơ chỉ phương của (d) là a−(2;3)
Mà
* AB vuông góc với (d) ⇔ AB−.n− = 0
* Với m = 0 thì A(2;-1/3); B(0;1) suy ra trung điểm của AB là I(1; 1/3).
Thay tọa độ I vào phương trình của (d), ta được 0 = 0, suy ra I ∈ (d).
Vậy m = 0 thỏa mãn yêu cầu của bài toán.
* Với m = 4 thì A(2; 23/3); B(4; 19/3) suy ra I(3;7).
Thay tọa độ I vào phương trình (d) ta được 27 – 42 - 7 = 0 (sai) ⇒ I ∉ (d).
Vậy m = 4 không thỏa mãn yêu câu bài toán.
Vậy m = 0 thỏa mãn bài toán.
Ví dụ 5: Tìm trên đồ thị hàm số
những điểm M sao cho khoảng cách từ M đến tiệm cận đứng bằng ba lần khoảng cách từ M đến tiệm cận ngang của đồ thị.
A. M(-4;7/5) hoặc M(2; 5). B. M(4; 3) hoặc M(-2; 1).
C. M(4; 3) hoặc M(2;5). D. M(-4;7/5) hoặc M(-2; 1) .
Lời giải:
Gọi
à điểm thuộc đồ thị.
Đồ thị có đường tiệm cận đứng d: x = 1; đường tiệm cận ngang d': y = 2.
Theo yêu cầu bài toán ta có:
Suy ra chọn đáp án B.
Ví dụ 6: Cho hàm số y = x4 + mx2 – m – 1 với m là tham số thực, có đồ thị là (C). Tìm tọa độ các điểm cố định thuộc đồ thị (C).
A. (-1; 0) và (1;0). B. (1;0) và (0;1).
C. (-2;1) và (-2;3). D. (2; 1) và (0;1) .
Lời giải:
Gọi điểm M(x0; y0) thuộc (C) .
Ta có: y0 = x04 + mx02 - m - 1 ⇔ (x02 - 1)m + x04 - y0 - 1 = 0 (1)
Để M là điểm cố định của (C) khi và chỉ khi (1) luôn đúng với mọi m
Suy ra chọn đáp án A.
Ví dụ 7: Cho hàm số
có đồ thị là (C). Có bao nhiêu điểm thuộc đồ thị (C) mà tọa độ là số nguyên?
A. 2 B. 4
C. 5 D. 6
Lời giải:
Gọi M(x0; y0) ∈ (C)
Để y0 ∈ Z thì x0 + 1 là ước của 4 hay x0 + 1 ∈ {-1; 1; -2; 1; -4; 4}.
Suy ra x0 ∈ {-5; -3; -2; 0; 1; 3}.
Vậy có 6 điểm thỏa mãn bài toán.
Suy ra chọn đáp án D.
III. Bài tập tự luyện
Bài 1. Tìm m để có hai điểm cực trị đối xứng với nhau qua đường thẳng ∆: 9x – 6y – 7 = 0.
Bài 2. Cho hàm số có đồ thị là (C). Có bao nhiêu điểm thuộc đồ thị (C) mà tọa độ là số nguyên?
Bài 3. Trên đồ thị (C) của hàm số có bao nhiêu điểm có tọa độ nguyên? Tìm các điểm có tọa độ nguyên đó.
Bài 4. Cặp điểm thuộc đồ thị (C) của hàm số y = x3 - 4x2 + 9x + 4 đối xứng nhau qua gốc tọa độ O là?
A. (3; 22) và (-3; -22).
B. (2; 14) và (-2; -14).
C. (1; 10) và (-1; -10).
D. (0; 4) và (4; 40).
Bài 5. Xác định tọa độ điểm M thuộc đồ thị (C) của hàm số sao cho M cách đều hai điểm A(2,0) và B(0,2).
(199k) Xem Khóa học Toán 12 KNTTXem Khóa học Toán 12 CDXem Khóa học Toán 12 CTST
Xem thêm các dạng bài tập Toán lớp 12 ôn thi Tốt nghiệp có lời giải hay khác:
- 2 dạng bài Tiếp tuyến của đồ thị hàm số ôn thi Tốt nghiệp (có lời giải)
- 5 dạng bài Sự tương giao của đồ thị hàm số ôn thi Tốt nghiệp (có lời giải)
- Điểm thuộc đồ thị hàm số ôn thi Tốt nghiệp (có lời giải)
- 4 dạng bài Nhận dạng đồ thị hàm số ôn thi Tốt nghiệp (có lời giải)
Đã có app VietJack trên điện thoại, giải bài tập SGK, SBT Soạn văn, Văn mẫu, Thi online, Bài giảng....miễn phí. Tải ngay ứng dụng trên Android và iOS.
Theo dõi chúng tôi miễn phí trên mạng xã hội facebook và youtube:Nếu thấy hay, hãy động viên và chia sẻ nhé! Các bình luận không phù hợp với nội quy bình luận trang web sẽ bị cấm bình luận vĩnh viễn.
- Giải Tiếng Anh 12 Global Success
- Giải sgk Tiếng Anh 12 Smart World
- Giải sgk Tiếng Anh 12 Friends Global
- Lớp 12 Kết nối tri thức
- Soạn văn 12 (hay nhất) - KNTT
- Soạn văn 12 (ngắn nhất) - KNTT
- Giải sgk Toán 12 - KNTT
- Giải sgk Vật Lí 12 - KNTT
- Giải sgk Hóa học 12 - KNTT
- Giải sgk Sinh học 12 - KNTT
- Giải sgk Lịch Sử 12 - KNTT
- Giải sgk Địa Lí 12 - KNTT
- Giải sgk Giáo dục KTPL 12 - KNTT
- Giải sgk Tin học 12 - KNTT
- Giải sgk Công nghệ 12 - KNTT
- Giải sgk Hoạt động trải nghiệm 12 - KNTT
- Giải sgk Giáo dục quốc phòng 12 - KNTT
- Giải sgk Âm nhạc 12 - KNTT
- Giải sgk Mĩ thuật 12 - KNTT
- Lớp 12 Chân trời sáng tạo
- Soạn văn 12 (hay nhất) - CTST
- Soạn văn 12 (ngắn nhất) - CTST
- Giải sgk Toán 12 - CTST
- Giải sgk Vật Lí 12 - CTST
- Giải sgk Hóa học 12 - CTST
- Giải sgk Sinh học 12 - CTST
- Giải sgk Lịch Sử 12 - CTST
- Giải sgk Địa Lí 12 - CTST
- Giải sgk Giáo dục KTPL 12 - CTST
- Giải sgk Tin học 12 - CTST
- Giải sgk Hoạt động trải nghiệm 12 - CTST
- Giải sgk Âm nhạc 12 - CTST
- Lớp 12 Cánh diều
- Soạn văn 12 Cánh diều (hay nhất)
- Soạn văn 12 Cánh diều (ngắn nhất)
- Giải sgk Toán 12 Cánh diều
- Giải sgk Vật Lí 12 - Cánh diều
- Giải sgk Hóa học 12 - Cánh diều
- Giải sgk Sinh học 12 - Cánh diều
- Giải sgk Lịch Sử 12 - Cánh diều
- Giải sgk Địa Lí 12 - Cánh diều
- Giải sgk Giáo dục KTPL 12 - Cánh diều
- Giải sgk Tin học 12 - Cánh diều
- Giải sgk Công nghệ 12 - Cánh diều
- Giải sgk Hoạt động trải nghiệm 12 - Cánh diều
- Giải sgk Giáo dục quốc phòng 12 - Cánh diều
- Giải sgk Âm nhạc 12 - Cánh diều


Giải bài tập SGK & SBT
Tài liệu giáo viên
Sách
Khóa học
Thi online
Hỏi đáp

