(2 dạng) Bài tập Tiếp tuyến của đồ thị hàm số ôn thi Tốt nghiệp
Bài viết Tiếp tuyến của đồ thị hàm số ôn thi Tốt nghiệp môn Toán với phương pháp giải chi tiết giúp học sinh ôn tập, biết cách làm bài tập Tiếp tuyến của đồ thị hàm số.
(2 dạng) Bài tập Tiếp tuyến của đồ thị hàm số ôn thi Tốt nghiệp
(199k) Xem Khóa học Toán 12 KNTTXem Khóa học Toán 12 CDXem Khóa học Toán 12 CTST
Bài giảng: Cách viết phương trình tiếp tuyến của đồ thị hàm số - Cô Nguyễn Phương Anh (Giáo viên VietJack)
Dạng 1: Viết phương trình tiếp tuyến của đồ thị hàm số.
I. Phương pháp giải
Cho hàm số y = f(x), gọi đồ thị của hàm số là (C).
Dạng 1. Viết phương trình tiếp tuyến của đồ thị hàm số (C): y = f(x) tại M(x0; y0)
♦ Phương pháp
• Bước 1. Tính y’= f’(x) suy ra hệ số góc của phương trình tiếp tuyến là k = y’(x0)
• Bước 2. Phương trình tiếp tuyến của đồ thị (C) tại điểm M(x0; y0) có dạng
y - y0 = f'(x0).(x - x0).
◊ Chú ý:
• Nếu đề bài yêu cầu viết phương trình tiếp tuyến tại điểm có hoành độ x0 thì khi đó ta tìm y0 bằng cách thế vào hàm số ban đầu, tức y0 = f(x0). Nếu đề cho y0 ta thay vào hàm số để giải ra x0.
• Nếu đề bài yêu cầu viết phương trình tiếp tuyến tại các giao điểm của đồ thị (C): y = f(x) và đường thẳng d: y= ax + b. Khi đó các hoành độ tiếp điểm là nghiệm của phương trình hoành độ giao điểm giữa d và (C)
Dạng 2. Viết phương trình tiếp tuyến của đồ thị hàm số (C): y = f(x) có hệ số góc k cho trước.
♦ Phương pháp
• Bước 1. Gọi M (x0; y0) là tiếp điểm và tính y' = f'(x).
• Bước 2. Hệ số góc tiếp tuyến là k' f'(x0). Giải phương trình này tìm được x0; thay vào hàm số được y0
• Bước 3. Với mỗi tiếp điểm ta tìm được các tiếp tuyến tương ứng
d: y – y0 = f'(x0).(x - x0)
◊ Chú ý: Đề bài thường cho hệ số góc tiếp tuyến dưới các dạng sau:
• Tiếp tuyến d // Δ: y = ax + b ⇒ hệ số góc của tiếp tuyến là k = a.
• Tiếp tuyến d ⊥ Δ: y = ax + b, (a ≠ 0) hệ số góc của tiếp tuyến là k = -1/a.
• Tiếp tuyến tạo với trục hoành một góc α thì hệ số góc của tiếp tuyến d là k = ±tanα
Dạng 3. Viết phương trình tiếp tuyến của đồ thị hàm số (C): y = f(x) biết tiếp tuyến đi qua điểm A(xA; yA).
♦ Phương pháp
Cách 1.
• Bước 1: Phương trình tiếp tuyến đi qua A(xA; yA) hệ số góc k có dạng
d: y = k(x - xA) + yA (*)
• Bước 2: d là tiếp tuyến của (C) khi và chỉ khi hệ sau có nghiệm:
• Bước 3: Giải hệ này tìm được x suy ra k và thế vào phương trình (*), ta được tiếp tuyến cần tìm.
Cách 2.
• Bước 1. Gọi M(x0; f(x0)) là tiếp điểm và tính hệ số góc tiếp tuyến k = y'(x0) = f'(x0) theo x0.
• Bước 2. Phương trình tiếp tuyến có dạng d: y = y'(x0).(x – x0) + y0 (**). Do điểm A(xA; yA) d nên yA = y'(x0).(xA- x0) + y0 giải phương trình này ta tìm được x0.
• Bước 3. Thế x0 vào (**) ta được tiếp tuyến cần tìm.
II. Ví dụ minh họa
Ví dụ 1: Cho hàm số y = -2x3 + 6x2 - 5 có đồ thị (C). Viết phương trình tiếp tuyến của (C) tại điểm M thuộc (C) và có hoành độ bằng 3.
A. y = -18x + 49 B. y = -18x – 49
C. y = 18x + 49 D. y = 18x - 49
Lời giải:
Ta có: y' = -6x2 + 12x.
Với x0 = 3 thì y0 = -5 ⇒ M(3; -5) và hệ số góc k = y'(3) = -18.
Vậy phương trình tiếp tuyến tại M là: y = -18(x - 3) – 5 = -18x + 49.
Suy ra chọn đáp án A.
Ví dụ 2: Cho hàm số y = x3 - 3x + 2 có đồ thị (C). Viết phương trình tiếp tuyến của (C) biết hệ số góc của tiêp tuyến đó bằng 9 :
Lời giải:
Ta có đạo hàm y' = 3x2 - 3.
Vậy k = y'(x0) = 9
+ Với x0 = 2 thì y0 = 4 ta có tiếp điểm M(2; 4).
Phương trình tiếp tuyến tại M là: y = 9(x - 2) + 4 hay y = 9x - 14.
+ Với x0 = -2 thì y0 = 0 ta có tiếp điểm N(-2; 0).
Phương trình tiếp tuyến tại N là: y = 9(x + 2) + 0 hay y = 9x + 18.
Vậy có hai tiếp tuyến cần tìm là y = 9x - 14 và y = 9x + 18.
Suy ra chọn đáp án A.
Ví dụ 3: Cho hàm số y = -4x3 + 3x + 1 có đồ thị (C). Viết phương trình tiếp tuyến của (C) biết tiếp tuyến đi qua A(-1;2).
Lời giải:
Ta có y' = -12x2 + 3.
+ Tiếp tuyến của (C) đi qua A(-1;2) với hệ số góc k có phương trình là: (d) y = k(x + 1) + 2
+ Do d là tiếp tuyến của (C) khi và chỉ khi hệ sau có nghiệm:
Thay k từ (2) vào (1) ta được :
⇔ -4x3 + 3x + 1 = (-12x2 + 3).(x + 1) + 2
⇔ -4x3 + 3x + 1 = -12x3 - 12x2 + 3x + 3 + 2
⇔ 8x3 + 12x2 - 4 = 0
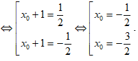
+ Với x = -1 thì k = -9. Phương trình tiếp tuyến là y = -9x - 7.
+ Với x = 1/2 ⇒ k = 0. Phương trình tiếp tuyến là y = 2.
Suy ra chọn đáp án A.
Ví dụ 4: Cho hàm số
có đồ thị (C)
Viết phương trình tiếp tuyến của (C) biết tiếp tuyến đó vuông góc với đường thẳng d: y = x + 10 = 0 ?
Lời giải:
+ Điều kiện: x ≠ -1
+ Đạo hàm:
+ Do tiếp tuyến Δ cần tìm vuông góc với đường thẳng d: y = x + 10 = 0. Nên ta có: kΔ.kd = -1. Mà kd = 1 nên kΔ = -1
Suy ra:
+ Với x = 3 thì y = 3. Phương trình tiếp tuyến tại điểm (3; 3) là:
y = -1(x - 3) + 3 hay y = -x + 6
+ Với x = -1 thì y = -1. Phương trình tiếp tuyến tại điểm (-1;-1) là:
y = -1(x + 1) - 1 hay y = -x - 2
Vậy có hai tiếp tuyến thỏa mãn là y = -x + 6 và y = -x - 2
Suy ra chọn đáp án B.
Dạng 4: Các bài toán về tiếp tuyến của đồ thị hàm số.
I. Phương pháp giải
Cho hàm số y = f(x) liên tục và có đạo hàm trên khoảng K. Để giải được các bài toán về tiếp tuyến của đồ thị hàm số ta cần chú ý:
+ Tính đạo hàm của hàm số.
+ Viết phương trình tiếp tuyến tại một điểm; đi qua một điểm; tiếp tuyến biết hệ số góc...
+ Hai đường thẳng song song có hệ số góc bằng nhau; hai đường thẳng vuông góc có tích hai hệ số góc bằng – 1.
+ Giao điểm của hai đồ thị hàm số.
+ Hệ thức Vi-et.
+ Khoảng cách từ một điểm đến một đường thẳng...
II. Ví dụ minh họa
Ví dụ 1: Cho hàm số y = -x4 – x2 + 6 có đồ thị (C). Tiếp tuyến của đồ thị (C) cắt các trục Ox, Oy lần lượt tại hai điểm A, B sao cho OB = 36OA có phương trình là:
Lời giải:
Do OB = 36OA suy ra: OB/OA = 36 ⇒ y'(x0) = ±36
• Với y'(x0) = -36 nên -4x03 - 2x0 = -36 ⇔ -4x03 - 2x0 + 36 = 0 ⇔ x = 2
Vậy y0 = y(2) = - 14.
Suy ra phương trình tiếp tuyến y= -36x + 58.
• Với y'(x0) = 36
Nên x0 = -2
Vậy y0 = y(-2) = -14
Suy ra phương trình tiếp tuyến y = 36x + 58.
Suy ra chọn đáp án C.
Ví dụ 2: Cho hàm số
có đồ thị là (C).
Gọi điểm M(x0; y0) với x0 = -1 là điểm thuộc (C) biết tiếp tuyến của (C) tại điểm M cắt trục hoành, trục tung lần lượt tại hai điểm phân biệt A, B và tam giác OAB có trọng tâm G nằm trên đường thẳng d: 4x + y = 0. Hỏi giá trị của x0 + 2y0 bằng bao nhiêu?
A. -7/2 B. 7/2
C. 5/2 D. -5/2
Lời giải:
• Gọi
với x0 ≠ -1 là điểm cần tìm.
• Gọi Δ tiếp tuyến của (C) tại M ta có phương trình.
• Gọi A = Δ ∩ Ox
Và B = Δ ∩ Oy
• Khi đó Δ tạo với hai trục tọa độ tam giác OAB có trọng tâm là:
• Do G thuộc đường thẳng 4x + y = 0 nên
(vì A, B không trùng O nên x02 - 2x0 - 1 ≠ 0)
• Vì x0 > -1 nên chỉ chọn x0 = -1/2
Suy ra chọn đáp án A.
Ví dụ 3: Cho hàm số y = x4 - 2mx2 + m (1), m là tham số thực. Kí hiệu (Cm) là đồ thị hàm số đã cho; gọi d là tiếp tuyến của (Cm) tại điểm có hoành độ bằng 1. Tìm m để khoảng cách từ điểm B(3/4; 1) đến đường thẳng d đạt giá trị lớn nhất?
A. m = -1 B. m = 1
C. m = 2 D. m = -2
Lời giải:
+ Gọi A là điểm thuộc đồ thị hàm số có hoành độ bằng 1 nên A(1; 1 - m).
Ngoài ra y' = 4x3 – 4mx
Suy ra: y'(1) = 4 - 4m
+ Phương trình tiếp tuyến của (Cm) tại A là :
y - 1 + m = y'(1).(x - 1) hay (4 - 4m)x - y – 3(1 - m) = 0
+ Khi đó
Dấu ‘=’ xảy ra khi m = 1.
+ Do đó d(B; Δ) lớn nhất bằng 1 khi và chỉ khi m = 1.
Suy ra chọn đáp án B.
Ví dụ 4: Cho hàm số
có đồ thị là (C).
Có bao nhiêu tiếp tuyến của đồ thị (C) tại những điểm thuộc đồ thị có khoảng cách đến đường thẳng d1: 3x + 4y – 2 = 0 bằng 2.
A. 2. B. 3.
C. 4. D. 0.
Lời giải:
• Giả sử M(x0; y0) ∈ (C)
• Ta có:
• Với 3x0 + 4y0 - 12 = 0
• Với 3x0 + 4y0 + 8 = 0
Ứng với 4 điểm M tìm được ta viết được 4 tiếp tuyến thỏa mãn đầu bài.
Suy ra chọn đáp án C.
Ví dụ 5: Cho hàm số
có đồ thị là (C).
Gọi I là giao điểm hai tiệm cận của (C). Tìm điểm M thuộc (C) có hoành độ lớn hơn 1 sao cho tiếp tuyến của (C) tại M vuông góc với đường thẳng MI?
A. M(4; 7/3) B. M(3; 5/2)
C. M(2; 3) D. M(5; 3)
Lời giải:
• Đồ thị hàm số có tiệm cận đứng là x = 1 và tiệm cận ngang là y = 2. Giao điểm của hai tiệm cận là I(1; 2).
• Gọi
• Phương trình tiếp tuyến của (C) tại M là:
• Phương trình đường thẳng MI là:
• Tiếp tuyến tại M vuông góc với MI nên ta có
Vì yêu cầu hoành độ lớn hơn 1 nên điểm cần tìm là M(2;3) .
Suy ra chọn đáp án C.
Ví dụ 6: Cho hàm số
có đồ thị là (C)
Đường thẳng d: y = x + m. Với mọi m ta luôn có d cắt (C) tại 2 điểm phân biệt A, B. Gọi k1, k2 lần lượt là hệ số góc của các tiếp tuyến với (C) tại A, B. Tìm m để tổng k1 + k2 đạt giá trị lớn nhất.
A. m = -1 B. m = -2
C. m = 3 D. m = -5
Lời giải:
• Phương trình hoành độ giao điểm của d và (C) là
• Theo định lí Viet ta có x1 + x2 = -m; x1.x2 = (-m - 1)/2. Giả sử A(x1; y1); B(x2; y2).
• Ta có
Nên tiếp tuyến của (C) tại A và B có hệ số góc lần lượt là:
Vậy
• Dấu "=" xảy ra ⇔ m = -1.
Vậy k1 + k2 đạt giá trị lớn nhất bằng - 2 khi m = -1.
Suy ra chọn đáp án A.
(199k) Xem Khóa học Toán 12 KNTTXem Khóa học Toán 12 CDXem Khóa học Toán 12 CTST
Xem thêm các dạng bài tập Toán lớp 12 ôn thi Tốt nghiệp có lời giải hay khác:
- 5 dạng bài Sự tương giao của đồ thị hàm số ôn thi Tốt nghiệp (có lời giải)
- Dạng bài Điểm thuộc đồ thị hàm số ôn thi Tốt nghiệp (có lời giải)
- 4 dạng bài Nhận dạng đồ thị hàm số ôn thi Tốt nghiệp (có lời giải)
Đã có app VietJack trên điện thoại, giải bài tập SGK, SBT Soạn văn, Văn mẫu, Thi online, Bài giảng....miễn phí. Tải ngay ứng dụng trên Android và iOS.
Theo dõi chúng tôi miễn phí trên mạng xã hội facebook và youtube:Nếu thấy hay, hãy động viên và chia sẻ nhé! Các bình luận không phù hợp với nội quy bình luận trang web sẽ bị cấm bình luận vĩnh viễn.
- Giải Tiếng Anh 12 Global Success
- Giải sgk Tiếng Anh 12 Smart World
- Giải sgk Tiếng Anh 12 Friends Global
- Lớp 12 Kết nối tri thức
- Soạn văn 12 (hay nhất) - KNTT
- Soạn văn 12 (ngắn nhất) - KNTT
- Giải sgk Toán 12 - KNTT
- Giải sgk Vật Lí 12 - KNTT
- Giải sgk Hóa học 12 - KNTT
- Giải sgk Sinh học 12 - KNTT
- Giải sgk Lịch Sử 12 - KNTT
- Giải sgk Địa Lí 12 - KNTT
- Giải sgk Giáo dục KTPL 12 - KNTT
- Giải sgk Tin học 12 - KNTT
- Giải sgk Công nghệ 12 - KNTT
- Giải sgk Hoạt động trải nghiệm 12 - KNTT
- Giải sgk Giáo dục quốc phòng 12 - KNTT
- Giải sgk Âm nhạc 12 - KNTT
- Giải sgk Mĩ thuật 12 - KNTT
- Lớp 12 Chân trời sáng tạo
- Soạn văn 12 (hay nhất) - CTST
- Soạn văn 12 (ngắn nhất) - CTST
- Giải sgk Toán 12 - CTST
- Giải sgk Vật Lí 12 - CTST
- Giải sgk Hóa học 12 - CTST
- Giải sgk Sinh học 12 - CTST
- Giải sgk Lịch Sử 12 - CTST
- Giải sgk Địa Lí 12 - CTST
- Giải sgk Giáo dục KTPL 12 - CTST
- Giải sgk Tin học 12 - CTST
- Giải sgk Hoạt động trải nghiệm 12 - CTST
- Giải sgk Âm nhạc 12 - CTST
- Lớp 12 Cánh diều
- Soạn văn 12 Cánh diều (hay nhất)
- Soạn văn 12 Cánh diều (ngắn nhất)
- Giải sgk Toán 12 Cánh diều
- Giải sgk Vật Lí 12 - Cánh diều
- Giải sgk Hóa học 12 - Cánh diều
- Giải sgk Sinh học 12 - Cánh diều
- Giải sgk Lịch Sử 12 - Cánh diều
- Giải sgk Địa Lí 12 - Cánh diều
- Giải sgk Giáo dục KTPL 12 - Cánh diều
- Giải sgk Tin học 12 - Cánh diều
- Giải sgk Công nghệ 12 - Cánh diều
- Giải sgk Hoạt động trải nghiệm 12 - Cánh diều
- Giải sgk Giáo dục quốc phòng 12 - Cánh diều
- Giải sgk Âm nhạc 12 - Cánh diều


Giải bài tập SGK & SBT
Tài liệu giáo viên
Sách
Khóa học
Thi online
Hỏi đáp

