120 Bài tập Sự tương giao của đồ thị hàm số có lời giải (nâng cao)
Với 120 Bài tập Sự tương giao của đồ thị hàm số nâng cao có lời giải chi tiết sẽ giúp học sinh ôn tập, biết cách làm Bài tập Sự tương giao của đồ thị hàm số.
120 Bài tập Sự tương giao của đồ thị hàm số có lời giải (nâng cao)
(199k) Xem Khóa học Toán 12 KNTTXem Khóa học Toán 12 CDXem Khóa học Toán 12 CTST
Bài giảng: Cách giải bài toán Tương giao của hai đồ thị - Cô Nguyễn Phương Anh (Giáo viên VietJack)
Bài 1. Tìm giá trị thực của tham số m để đường thẳng d: y = x + m cắt đồ thị hàm số
(C) tại hai điểm phân biệt A; B sao cho tam giác OAB vuông tại O, với O là gốc tọa độ.
Lời giải:
Đáp án: A
Phương trình hoành độ giao điểm của đồ thị hàm số (C) và đường thẳng d:
⇔ 2x- 1 = (x + m). (x- 1) ⇔ x2 + (m-3).x + 1- m = 0 (*)
Để d cắt (C) tại hai điểm phân biệt khi và chỉ khi phương trình (*) có hai nghiệm phân biệt
Hay ∆ = (m- 3)2 – 4(1 – m) > 0 ⇔ m2 – 2m + 5 > 0 mọi m
Gọi x1; x2 là hai nghiệm của (*). Theo định lí Viet, ta có
Giả sử A(x1; x1 + m) và B(x2; x2 + m) .
Tam giác OAB vuông tại O
⇔ x1.x2 + (x1 + m).(x2 + m) = 0 ⇔ 2x1x2 + m(x1 + x2) + m2 =0
⇔ 2. (1 – m) + m. (3- m) + m2 =0
⇔m + 2 = 0 ⇔ m = - 2
Bài 2. Tìm giá trị thực của tham số m để đường thẳng d: y = - 3x + m cắt đồ thị hàm số
(C) tại hai điểm phân biệt A và B sao cho trọng tâm tam giác OAB thuộc đường thẳng
∆: x- 2y- 2 = 0 với O là gốc tọa độ.
Lời giải:
Đáp án: C
Phương trình hoành độ giao điểm của đồ thị (C) và đường thẳng (d):
⇔ 2x + 1 = (- 3x + m). (x- 1)
⇔ 2x + 1 = - 3x2 + 3x + mx – m
⇔ 3x2 - (1 + m)x + m + 1 = 0 (*)
Để d cắt (C) tại hai điểm phần biệt khi và chỉ khi phương trình (*) có hai nghiệm phân biệt
Gọi x1; x2 là hai nghiệm của (*). Theo Viet, ta có
và
Giả sử A(x1; - 3x1 + m) và B(x2 ; - 3x2 + m).
Suy ra tọa độ trọng tâm tam giác OAB là
Bài 3. Tìm tất cả các giá trị thực của tham số m để đường thẳng d: y = 2x + m cắt đồ thị hàm số
(C) tại hai điểm phân biệt A và B sao cho
, với I là giao điểm của hai đường tiệm cận của đồ thị.
A. m = ±5. B. m = 5. C. m = - 5 D. m = 0
Lời giải:
Đáp án: A
Phương trình hoành độ giao điểm của đồ thị (C) và đường thẳng d là:
⇔ 2x- 4 = (2x + m). (x- 1)
⇔ 2x2 + (m – 4).x – m + 4 = 0 (*)
Để d cắt (C) tại hai điểm phân biệt khi và chỉ khi phương trình (*) có hai nghiệm phân biệt
Gọi x1 ; x2 là hai nghiệm của (*). Theo Viet, ta có
và
Giả sử A(x1 ; 2x1 + m) và B(x2 ; 2x2 + m).
Theo giả thiết:
Bài 4. Tìm m để đồ thị các hàm số: y = x3 + 3x2 + mx + 2m và (d): y = - x + 2 cắt nhau tại ba điểm phân biệt.
Lời giải:
Đáp án: A
- Ta có phương trình hoành độ giao điểm:
x3 + 3x2 + mx + 2m = - x + 2
⇔ ( x + 2). (x2 + x – 1 + m) = 0
- Đặt f(x) = x2 + x – 1 + m
- Để đồ thị các hàm số đã cho cắt nhau tại ba điểm phân biệt thì phương trình f(x) = 0 phải có hai nghiệm phân biệt khác -2 hay:
Bài 5. Đồ thị hàm số (C): y = x3 – 3mx + m + 1 tiếp xúc với trục hoành khi:
Lời giải:
Đáp án: A
Trục hoành có phương trình là y = 0.
Đồ thị hàm số (C) tiếp xúc với trục hoành khi và chỉ khi hệ phương trình sau có nghiệm:
Từ (1) suy ra: m = x2 thay vào (2) ta được:
x3- 3x2.x + x2 + 1 = 0 hay – 2x3 + x2 + 1 =0
Thay vào (1) ta được m=1.
Bài 6. Cho đồ thị hàm số (C)
. Đồ thị hàm số (C) tiếp xúc với đường thẳng (d)
y = 2x + m khi
Lời giải:
Đáp án: C
Phương trình hoành độ giao điểm của (C) và đường thẳng y = 2x + m là:
Xét phương trình (*), tương đương: 2x- 3 = 2x2 + (m- 2)x – m
⇔ 2x2 + (m- 4) x- m + 3 = 0 (**)
Để đồ thị hàm số (C) tiếp xúc với đường thẳng (d): y = 2x + m khi và chỉ khi phương trình (**) có nghiệm kép khác 1.
Bài 7. Từ A (0; -2) kẻ được 2 tiếp tuyến đến (C):
có hệ số góc là k1, k2. Giá trị
là:
A. 8 B. 4 C. 6 D. 2
Lời giải:
Đáp án: A
Đạo hàm: y’ = x.
+ Phương trình tiếp tuyến tại điểm M
là:
Để tiếp tuyến này đi qua A(0; -2) thì:
+ Với a=2 ta có phương trình tiếp tuyến là: y = 2x- 2.
+ Với a = - 2 ta có phương trình tiếp tuyến là: y = -2x – 2.
Từ đó,suy ra k1; k2 lần lượt là 2 và -2.
Do đó,
Bài 8. Cho đường cong (C): y = x4 – 4x2 + 2 và điểm A(0;a). Nếu qua A kẻ được 4 tiếp tuyến với (C) thì a phải thoả mãn điều kiện:
Lời giải:
Đáp án: B
Đạo hàm : y’ = 4x3 – 8x.
Viết phương trình tiếp tuyến tại điểm
là:
+ Để tiếp tuyến (d) đi qua A(0; a) thì:
Đặt
, khi đó (*) trở thành: - 3t2 + 4t + 2- a=0 (**)
Để qua điểm A kẻ được bốn tiếp tuyến khi và chỉ khi phương trình (*) có 4 nghiệm phân biệt
⇔ phương trình (**)có hai nghiệm dương phân biệt :
Bài 9. Cho phương trình | x3 – 3x2 + 6| - m + 3 = 0 . Với những giá trị nào của m thì phương trình trên có đúng 4 nghiệm?
A. m > 9 B. 5 ≤ m ≤ 9
C. 1 ≤ m ≤ 5 D. m > 5
Lời giải:
Đáp án: B
- Ta có đồ thị hàm số (C): y = x3 – 3x2 + 6 và y = |x3 – 3x2 + 6 | (T)
- Ta có: | x3 -3x2 + 6| - m + 3=0 ⇔ | x3 -3x2 + 6| = m - 3 (*)
- Từ đồ thị (T) ta suy ra:
+) Khi m- 3 ≤ 0 hay m ≤ 3 thì phương trình (*) vô nghiệm.
+) Khi m -3 = 0 hay m = 3 thì phương trình (*) có một nghiệm duy nhất.
+) Khi
Phương trình (*) có hai nghiệm phân biệt.
+) Khi
Phương trình (*) có ba nghiệm phân biệt.
+) Khi 2 ≤ m-3 ≤ 6 hay 5 ≤ m ≤ 9 thì phương trình (*) có bốn nghiệm phân biệt.
Bài 10. Cho phương trình 2.|x|3 – 9x2 + 12|x| + m = 0 . Tìm mệnh đề sai trong các mệnh đề sau?
A. Phương trình vô nghiệm khi và chỉ khi m > 0.
B. Điều kiện cần và đủ để phương trình có đúng 1 nghiệm là m = 0 .
C. Phương trình có hai nghiệm phân biệt khi và chỉ khi – 4 ≤ m ≤ 0 .
D. Không có giá trị nào của m để phương trình đã cho có 6 nghiệm phân biệt.
Lời giải:
Đáp án: D
- Ta có đồ thị (C): y = 2x3 – 9x2 + 12x – 4 và (T): y = 2.|x|3 – 9x2 + 12|x| - 4
- Ta có: 2.|x|3 – 9x2 + 12|x| + m = 0 ⇔ 2.|x|3 – 9x2 + 12|x| - 4 = - m- 4 (*)
- Từ đồ thị (T), ta suy ra:
+) Khi –m - 4 ≤ - 4 hay m > 0 thì phương trình (*) vô nghiệm.
+) Khi –m - 4 = - 4 hay m = 0 thì phương trình (*) có một nghiệm duy nhất.
+) Khi
Phương trình (*) có hai nghiệm phân biệt.
+) Khi
Phương trình (*) có bốn nghiệm phân biệt.
+) Khi 0 ≤ - m- 4 ≤ 1 ⇔ - 5 ≤ m ≤ -4 thì phương trình (*) có sáu nghiệm phân biệt.
Bài 11. Qua điểm A(0; 2) có thể kẻ được bao nhiêu tiếp tuyến với đồ thị (C) của hàm số y = x4 – 2x2 + 2?
A. 1 B. 2 C. 3 D. 0
Lời giải:
Đáp án: C
Đạo hàm: y’ = 4x3 – 4x.
Phương trình tiếp tuyến tại điểm
thuộc đồ thị hàm số là
Điểm A thuộc tiếp tuyến (d) khi:
Ứng với 3 giá trị x0 cho ta ba tiếp tuyến thỏa mãn đầu bài.
Bài 12. Định m để đường cong
tiếp xúc với đường thẳng (d): y = 2?
A. m = 2 B. m = 1
C. m = - 1 D. A, C đều đúng.
Lời giải:
Đáp án: D
Phương trình hoành độ giao điểm của đường cong và đường thẳng
Để đường cong tiếp xúc với đường thẳng y = 2 khi và chỉ khi phương trình (*) có nghiệm kép:
Vậy để đường cong tiếp xúc với đường thẳng thì m = -1 hoặc m = 2 .
Bài 13. Cho đồ thị hàm số y = x3 – 2x2 + 2x + 10 có đồ thị (C) . Gọi x1, x2 là hoành độ các điểm M, N trên (C), mà tại đó tiếp tuyến ∆ của (C) vuông góc với đường thẳng (d) y = - x + 100 . Khi đó x1 + x2 bằng ?
Lời giải:
Đáp án: A
Đạo hàm : y’ = 3x2 – 4x + 2.
Đường thẳng (d) : y = - x + 100 có hệ số góc kd = -1.
Do tiếp tuyến ∆ tại điểm M và N của (C) vuông góc với đường thẳng (d) nên :
kd. k∆ = -1 ⇒ k∆ = 1
Suy ra ; hoành độ các điểm M và N là nghiệm phương trình :
Bài 14. Cho hàm số
. Đồ thị hàm số (C) tiếp xúc với đường thẳng (d) y = x + m khi
A. m = 1 ; m = 2 B. m = 1, m = - 3
C. m = -1, m = 3 D. m = 2, m = - 2
Lời giải:
Đáp án: C
Để đồ thị hàm số (C) tiếp xúc với đường thẳng (d) khi và chỉ khi hệ phương trình sau có nghiệm
Từ (2) suy ra, x = 0 hoặc x = 2.
+ Với x = 0 thay vào (1) ta được : 3 = 0 + m ⇔ m = 3.
+ Với x = 2 thay vào (2) ta được : 1 = 2 + m ⇔ m = -1.
Vậy có 2 giá trị của m thỏa mãn là m = 3 hoăc m = -1.
Bài 15. Cho đồ thị (C) của hàm số
. Viết phương trình tiếp tuyến của (C) tại điểm có tọa độ nguyên dương ?
A. y = -x + 5 B. y = 2x + 1
C. y = x – 3 D. y = - 2x- 1
Lời giải:
Đáp án: A
* Tìm điểm thuộc (C) có tọa độ nguyên dương.
Ta có :
Do đó, để y nguyên khi và chỉ khi 1 chia hết (x - 1)
Do đó, x = 0 hoặc x = 2. Kết hợp tọa độ tiếp điểm nguyên dương nên x nguyên dương.
⇒ chọn x = 2 ⇒ y(2) = 3.
* Viết phương trình tại điểm M(2 ; 3)
Đạo hàm :
⇒ y’(2) = - 1.
Phương trình tiếp tuyến tại điểm M là
y = - 1(x - 2) + 3 hay y = - x + 5
Bài 16. Đồ thị hàm số (C) y = x3 – 3mx tiếp xúc với đường thẳng (d) : y = m + 1 khi:
A. m = 1 B. m = 2 C. m = -1 D. m = - 2
Lời giải:
Đáp án: A
Để đồ thị hàm số (C) tiếp xúc với đường thẳng (d) khi và chỉ khi hệ phương trình sau có nghiệm :
Từ (2) suy ra, m = x2 thay vào (1) ta được :
x3 – 3x2.x = x2 + 1 ⇔ - 2x3 – x2 – 1 = 0 ⇔ x = - 1
Với x = - 1 thì m = 1.
Bài 17. Cho đồ thị (C) của hàm số
. Với giá trị nào của m thì tiếp tuyến với đồ thị (C) tại điểm có hoành độ bằng 2 song song với đường thẳng y = x + 29?
A. m = - 1 B. m = 1 C. m = 2 D.m = - 2
Lời giải:
Đáp án: B
Tập xác định: D = R\ {1}
Đạo hàm:
Ta có: y(2) = 2m2 – 2m, y’(2) = - m2 + 2m.
Phương trình tiếp tuyến tại điểm có hoành độ x = 2 là;
y = (-m2 + 2m). (x -2) + 2m2 – 2m
Theo giả thiết, đường thẳng này song song với đường thẳng y=x + 29 nên :
- m2 + 2m = 1 ⇔ m2 – 2m + 1 = 0 ⇔ m = 1.
Bài 18. Cho đồ thị (C) của hàm số
. Tìm m để tiếp tuyến với đồ thị (C) tại giao điểm của đồ thị (C) với đường thẳng x = 2 song song với đường thẳng y – x + 99 = 0
A. m = 1 B. m = 2 C. m = - 1 D. m = - 2
Lời giải:
Đáp án: A
Tập xác định : D = R\ {1} .
* Giao điểm của đồ thị (C) và đường thẳng x = 2 là điểm A(2; 2m2 -2m)
Ta có, đạo hàm
⇒ y’(2) = - m2 + 2m
Phương trình tiếp tuyến của đồ thị hàm số tại điểm A là:
* Do tiếp tuyến trên song song với đường thẳng y- x + 99 = 0 ( hay y = x- 99) nên ta có:
- m2 + 2m = 1 ⇔ m2 – 2m + 1=0 ⇔ m = 1.
Bài 19. Cho đồ thị (C) của hàm số: y = x3 – (m2 + 2).x2 – 4m. Với giá trị nào của m thì tiếp tuyến với đồ thị (C) tại điểm có hoành độ bằng 2 song song với trục hoành.
Lời giải:
Đáp án: B
* Đạo hàm : y’ = 3x2 – 2(m2 + 2)x.
Ta có: y(2) = - 4m2 – 4m và y’(2) = 4- 4m2.
Phương trình tiếp tuyến tại điểm có hoành độ x = 2 là:
y = (4- 4m2). (x – 2) – 4m2 – 4m
* Trục hoành có phương trình là y=0 có hệ số góc k = 1
Nên để tiếp tuyến của đồ thị (C) tại điểm có hoành độ 2 song song với trục hoành thì:
4- 4m2 = 0
Bài 20. Cho hàm số y = x4 – 2m2x2 + 2m + 1. Với giá trị nào của m thì tiếp tuyến với đồ thị (C) tại điểm có hoành độ bằng -1 vuông góc với trục tung.
Lời giải:
Đáp án: B
* Đạo hàm: y’ = 4x3 – 4m2x.
Suy ra: y(-1) = - 2m2 + 2m + 2; y’(-1) = 4m2 – 4.
Phương trình tiếp tuyến tại điểm có hoành độ x = -1 là:
y = (4m2 -4). (x + 1) – 2m2 + 2m + m
* Do tiếp tuyến vuông góc với trục tung nên tiếp tuyến đó song song với trục hoành
⇒ y’ = 4m2 – 4 = 0
Bài 21. Cho hàm số y = x4 – 2m2x2 + 2m + 1. Tìm m để tiếp tuyến với đồ thị (C) tại giao điểm của đồ thị (C) với đường thẳng x - 1 =0 song song với đường thẳng 12 x + y + 95 = 0
Lời giải:
Đáp án: B
* Giao điểm của đồ thị (C) với đường thẳng x- 1=0 là A(1; -2m2 + 2m + 2)
* Đạo hàm: y’ = 4x3 – 4m2x
⇒ y’(1) = 4 – 4m2.
Phương trình tiếp tuyến tại điểm A:
* Đường thẳng 12x + y + 95 = 0 ⇔ y = - 12 x – 95 có hệ số góc k = - 12.
Nên 4- 4m2 = 12⇔ 4m2 = 16 ⇔ m2 = 4
Bài 22. Tìm điểm M nằm trên đồ thị (H):
sao cho tiếp tuyến tại M vuông góc với đường thẳng (d): y = x + 201?
A. (4; 2) và (1; -1) B. (5; 3) và (1; -1)
C. (-1; 0) và (5; 3) D. (-1; 0) và (2; 4)
Lời giải:
Đáp án: B
Gọi điểm M
thuộc đồ thị hàm số (H).
Đạo hàm:
Phương trình tiếp tuyến tại điểm M là:
Do tiếp tuyến vuông góc với đường thẳng (d): y = x + 201 nên hệ số góc của tiếp tuyến là -1
Vậy có hai điểm M thỏa mãn là M(5; 3) và M(1; -1)
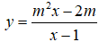
Bài 23. Cho hàm số
. Cho hai điểm A(1; 0) và B (- 7;4). Viết phương trình tiếp tuyến của (C) , biết tiếp tuyến đi qua điểm trung diểm I của AB.
A . y = 2x + 8 B . y = - 3x- 7
C . y = - 2x - 4 D . y = 3x + 11
Lời giải:
Đáp án: C
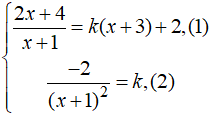
* Trung điểm I của AB có tọa độ là:
* Viết phương trình tiếp tuyến của (C) đi qua I (- 3;2)
Gọi ∆ qua I(- 3; 2) có hệ số góc k. Khi đó, ∆ có dạng:
y = k(x + 3) + 2
Điều kiện ∆ tiếp xúc (C)
Giải hệ thế (2) vào (1) ta được x = - 2 ⇒ k = -2.
Vậy phương trình tiếp tuyến ∆: y = - 2x- 4
Bài 24. Có bao nhiêu điểm trên đồ thị (C) mà từ đó vẽ được đúng một tiếp tuyến với (C): y = - x3 + 3x2 - 2
A. 1 B. 2 C. 0 D. 3
Lời giải:
Đáp án: A
- Gọi điểm A(a; - a3 + 3a2 – 2) là điểm thuộc (C).
- Phương trình đường thẳng ∆ đi qua A có phương trình
∆: y = k (x - a) – a3 + 3a2 - 2.
- Điều kiện để ∆ là tiếp tuyến của (C) là hệ:
có nghiệm.
- Thay (2) vào (1) ta được:
- x3 + 3x2 – 2 = (- 3x2 + 6x).(x- a) – a3 + 3a2 – 2
⇔ x3 – a3 – 3(x2 – a2) + (-3x2 + 6x) (x - a)=0
⇔ (x- a).[- 2x2 + (a + 3).x + a2 – 3a] = 0 (*)
Đặt f(x) = - 2x2 + (a + 3).x + a2 – 3a
* Để từ A kẻ được duy nhất một tiếp tuyến đến (C) thì phương trình f(x) hoặc vô nghiệm hoặc có nghiệm kép x = a.
+) Trường hợp 1: Phương trình f(x) =0 vô nghiệm.
Khi đó ∆ = (a + 3)2 – 4.(-2).(a2 – 3a) ≤ 0 ⇔ 9(a- 1)2 ≤ 0 (vô lý)
+) Trường hợp 2:Phương trình f(x) = 0 có nghiệm kép x = a.
Vậy có duy nhất một điểm A(1;0) thỏa mãn.
Bài 25. Có bao nhiêu điểm trên trục tung mà từ đó vẽ được ít nhất một tiếp tuyến với đồ thi hàm số (C):
A. 1 B. 2 C. 3 D. vô số
Lời giải:
Đáp án: D
- Gọi A(0; a) là điểm thuộc trục tung.
- Đường thẳng đi qua A có dạng (∆): y = kx + a
- Để ∆ là tiếp tuyến của (C) thì hệ
phải có nghiệm.
- Thay (2) vào (1) ta được:
⇔ a.(x2 – 4x + 4) = 4x2 – 18x + 18
⇔ (a - 4)x2 – 2(2a - 9)x + 4a – 18 = 0 (*)
- Để từ A kẻ được ít nhất một tiếp tuyến tới (C) thì phương trình (*) phải có ít nhất một nghiệm.
- Ta xét các trường hợp sau:
+) Trường hợp 1: Nếu a = 4
Khi đó (*) trở thành: 2x - 2 = 0 ⇔ x = 1 ⇒ a = 2 thỏa mãn.
Khi đó, ta có tọa độ A1 (0; 1).
+) Trường hợp 2: nếu a ≠ 4. khi đó coi (*) là phương trình bậc hai ẩn x.
Để (*) có ít nhất một nghiệm thì
Vậy các điểm cần tìm có tọa độ là (0;a) với
Vậy có vô số điểm trên trục tung thỏa mãn điều kiện bài toán.
Bài 26. Có bao nhiêu điểm A(0;a) trên trục tung mà từ điểm đó vẽ được hai tiếp tuyến đến đồ thị hàm số (C)
?
Lời giải:
Đáp án: A
- Gọi A(0; a) là điểm thuộc trục tung.
- Đường thẳng ∆ đi qua A có phương trình: y = kx + a
- Để ∆ là tiếp tuyến của (C) thì hệ
phải có nghiệm.
- Thay (2) vào (1) ta được:
⇔ a(x2 + 2x + 1) + (2x2 + 2x + 1)=0
⇔ (a-2).x2 + 2(a + 1).x + a + 1 = 0(*)
- Để từ A kẻ được hai tiếp tuyến tới (C) thì phương trình (*) phải có hai nghiệm phân biệt x1; x2 và hệ số góc k tại x1; x2 khác nhau.
- Ta xét các trường hợp sau:
+) Trường hợp 1: Nếu a = 2.
Khi đó (*) trở thành:
không thỏa mãn.
+) Trường hợp 2: Nếu a ≠ 2 khi đó xem (*) là phương trình bậc hai ẩn x.
Để (*) có hai nghiệm phân biệt x1; x2 và hệ số góc tại x1; x2 khác nhau thì:
Vậy các điểm cần tìm có tọa độ (0; a) với
Bài 27. Tìm các điểm trên trục tung mà từ đó vẽ được ba tiếp tuyến đến đồ thị của hàm số (C): y = - x4 + 2x2 – 1 ?
A. A(0; 1) B. A(0; -1)
C. A (0; - 2) D. A(0; -3)
Lời giải:
Đáp án: B
- Gọi điểm A(0; a) nằm trên trục tung
Phương trình đường thẳng ∆ đi qua A; hệ số góc k có phương trình y = kx + a.
- Từ A kẻ được 3 tiếp tuyến tới (C) khi và chỉ khi hệ sau có ba nghiệm phân biệt:
- Thay (2) vào (1) ta được:
- x4 + 2x2 – 1 = (- 4x3 + 4x).x + a ⇔ a = 3x4 – 2x2 – 1 (*)
- Để hệ (I) có 3 nghiệm phân biệt thì (*) phải có 3 nghiệm phân biệt.
- ta tìm điểm cực đại và cực tiểu của hàm số f(x) = 3x4 – 2x2 – 1.
Đạo hàm: y’ = 12x3 – 4x = 0
- Lập bảng biến thiên hàm số f(x), ta dễ dàng suy ra để (*) có 3 nghiệm phân biệt khi a = - 1.
Vậy điểm cần tìm là A(0; - 1).
Bài 28. Từ điểm A(–2; 5) có thể kẻ được bao nhiêu tiếp tuyến đến đồ thị của hàm số : (C): y = x3 – 9x2 + 17x + 2.
A. 1 B. 2 C. 3 D. 4
Lời giải:
Đáp án: C
- Phương trình đường thẳng ∆ đi qua A và có hệ số góc có k có dạng:
y = k(x + 2) + 5
- Điều kiện để ∆ là tiếp tuyến của (C) thì hệ
có nghiệm.
- Số tiếp tuyến có thể kẻ từ A đến (C) chính là số nghiệm của hệ (I).
- Thay (2) vào (1) ta được:
x3 – 9x2 + 17x + 2 = (3x2 – 18 x + 17). (x + 2) + 5
⇔ x3 – 9x2 + 17 x + 2 = 3x3 + 6x2 – 18x2 – 36x + 17x + 34 + 5
⇔ -2x3 + 3x2 + 36x - 37 = 0
Vậy từ A có thể kẻ ba tiếp tuyến tới (C).
Bài 29. Từ điểm
có thể kẻ được bao nhiêu tiếp tuyến tới đồ thị hàm số
A. 1 B. 2 C. 3 D. 4
Lời giải:
Đáp án: A
- Phương trình đường thẳng ∆ đi qua A có hệ số góc k có dạng:
- Điều kiện để ∆ là tiếp tuyến của (C) thì hệ:
có nghiệm.
- Số tiếp tuyến có thể kẻ từ A đến (C) chính là số nghiệm của hệ (I).
- Thay (2) vào (1) ta được:
⇔ 3x3 -11x2 + 8x- 18 = 0 (*)
- Đặt f(x) = 3x3 - 11x2 + 8x - 18, ta có: f’(x) = 9x2 – 22x + 8
Xét phương trình f’(x) = 0
- Ta có bảng biến thiên hàm số f(x):
- Từ bảng biến thiên hàm số f(x), ta suy ra phương trình (*) có một nghiệm duy nhất.
Vậy từ A kẻ được chỉ một tiếp tuyến tới (C).
Bài 30. Từ điểm A(1; -4) có thể kẻ được bao nhiêu tiếp tuyến đến đồ thị hàm số (C): y = 2x3 + 3x2 – 5
A. 1 B. 2 C. 3 D. 4
Lời giải:
Đáp án: C
- Phương trình đường thẳng ∆ đi qua A; hệ số góc k là: y = k(x- 1)- 4
- Điều kiện để ∆ là tiếp tuyến của (C) thì hệ
có nghiệm.
- Số tiếp tuyến có thể kẻ từ A đến (C) chính là số nghiệm của hệ (I).
- Thay (2) vào (1) ta được:
2x3 + 3x2 – 5 = (6x2 + 6x). (x- 1) – 4
⇔ 2x3 + 3x2 – 5 = 6x3 – 6x2 + 6x2 – 6x - 4
⇔ -4x3 + 3x2 + 6x – 1 = 0
Vậy từ A có thể kẻ ba tiếp tuyến tới (C).
(199k) Xem Khóa học Toán 12 KNTTXem Khóa học Toán 12 CDXem Khóa học Toán 12 CTST
Xem thêm các dạng bài tập Toán lớp 12 ôn thi Tốt nghiệp có lời giải hay khác:
- 100 Bài tập Giá trị lớn nhất, nhỏ nhất của hàm số có lời giải (Nhận biết)
- 100 Bài tập Giá trị lớn nhất, nhỏ nhất của hàm số có lời giải (Vận dụng)
- 100 Bài tập Sự tương giao của đồ thị hàm số có lời giải (Nhận biết)
- 120 Bài tập Sự tương giao của đồ thị hàm số có lời giải (nâng cao)
- 100 Bài tập Tiệm cận của đồ thị hàm số có lời giải (nâng cao)
Đã có app VietJack trên điện thoại, giải bài tập SGK, SBT Soạn văn, Văn mẫu, Thi online, Bài giảng....miễn phí. Tải ngay ứng dụng trên Android và iOS.
Theo dõi chúng tôi miễn phí trên mạng xã hội facebook và youtube:Nếu thấy hay, hãy động viên và chia sẻ nhé! Các bình luận không phù hợp với nội quy bình luận trang web sẽ bị cấm bình luận vĩnh viễn.
- Giải Tiếng Anh 12 Global Success
- Giải sgk Tiếng Anh 12 Smart World
- Giải sgk Tiếng Anh 12 Friends Global
- Lớp 12 Kết nối tri thức
- Soạn văn 12 (hay nhất) - KNTT
- Soạn văn 12 (ngắn nhất) - KNTT
- Giải sgk Toán 12 - KNTT
- Giải sgk Vật Lí 12 - KNTT
- Giải sgk Hóa học 12 - KNTT
- Giải sgk Sinh học 12 - KNTT
- Giải sgk Lịch Sử 12 - KNTT
- Giải sgk Địa Lí 12 - KNTT
- Giải sgk Giáo dục KTPL 12 - KNTT
- Giải sgk Tin học 12 - KNTT
- Giải sgk Công nghệ 12 - KNTT
- Giải sgk Hoạt động trải nghiệm 12 - KNTT
- Giải sgk Giáo dục quốc phòng 12 - KNTT
- Giải sgk Âm nhạc 12 - KNTT
- Giải sgk Mĩ thuật 12 - KNTT
- Lớp 12 Chân trời sáng tạo
- Soạn văn 12 (hay nhất) - CTST
- Soạn văn 12 (ngắn nhất) - CTST
- Giải sgk Toán 12 - CTST
- Giải sgk Vật Lí 12 - CTST
- Giải sgk Hóa học 12 - CTST
- Giải sgk Sinh học 12 - CTST
- Giải sgk Lịch Sử 12 - CTST
- Giải sgk Địa Lí 12 - CTST
- Giải sgk Giáo dục KTPL 12 - CTST
- Giải sgk Tin học 12 - CTST
- Giải sgk Hoạt động trải nghiệm 12 - CTST
- Giải sgk Âm nhạc 12 - CTST
- Lớp 12 Cánh diều
- Soạn văn 12 Cánh diều (hay nhất)
- Soạn văn 12 Cánh diều (ngắn nhất)
- Giải sgk Toán 12 Cánh diều
- Giải sgk Vật Lí 12 - Cánh diều
- Giải sgk Hóa học 12 - Cánh diều
- Giải sgk Sinh học 12 - Cánh diều
- Giải sgk Lịch Sử 12 - Cánh diều
- Giải sgk Địa Lí 12 - Cánh diều
- Giải sgk Giáo dục KTPL 12 - Cánh diều
- Giải sgk Tin học 12 - Cánh diều
- Giải sgk Công nghệ 12 - Cánh diều
- Giải sgk Hoạt động trải nghiệm 12 - Cánh diều
- Giải sgk Giáo dục quốc phòng 12 - Cánh diều
- Giải sgk Âm nhạc 12 - Cánh diều


Giải bài tập SGK & SBT
Tài liệu giáo viên
Sách
Khóa học
Thi online
Hỏi đáp

