100 Bài tập Giá trị lớn nhất, nhỏ nhất của hàm số có lời giải (Nhận biết)
Với 100 Bài tập Giá trị lớn nhất, nhỏ nhất của hàm số (mức độ Nhận biết) có lời giải chi tiết sẽ giúp học sinh ôn tập, biết cách làm Bài tập Giá trị lớn nhất, nhỏ nhất của hàm số.
100 Bài tập Giá trị lớn nhất, nhỏ nhất của hàm số có lời giải (Nhận biết)
(199k) Xem Khóa học Toán 12 KNTTXem Khóa học Toán 12 CDXem Khóa học Toán 12 CTST
Bài giảng: Giá trị lớn nhất, giá trị nhỏ nhất của hàm số - Cô Nguyễn Phương Anh (Giáo viên VietJack)
Bài 1. Giá trị nhỏ nhất của hàm số y = x3 – 3x+ 5 trên đoạn [0; 2] là:
Lời giải:
Đáp án: B
Nhận xét: Hàm số f(x) liên tục trên [0;2]
Ta có y' = 3x2 - 3 = 3(x2 - 1);
y(1) = 3; y(0) = 5; y(2) = 7.
Do đó
Bài 2. Giá trị nhỏ nhất của hàm số f(x) = x3 – 3x2 – 9x + 35 trên đoạn [-4; 4] là:
Lời giải:
Đáp án: C
Nhận xét: Hàm số f(x) liên tục trên [-4; 4]
Ta có f'(x) = 3x2 - 6x - 9;
f(-4) = -41; f(-1) = 40; f(3) = 8; f(4) = 15.
Do đó
Bài 3. Giá trị lớn nhất của hàm số f(x) = x3 – 8x2 + 16x – 9 trên đoạn [1; 3] là:
Lời giải:
Đáp án: B
Nhận xét: Hàm số f(x) liên tục trên [1;3]
Ta có f'(x) = 3x2 - 16x + 16;
Bài 4. Giá trị lớn nhất của hàm số f(x)= x4 – 2x2 + 1 trên đoạn [0; 2] là:
Lời giải:
Đáp án: D
Nhận xét: Hàm số f(x) liên tục trên [0;2]
Ta có f'(x) = 4x3 - 4x = 4x(x2 - 1)
Xét trên (0; 2) . Ta có f'(x) = 0 ⇔ x = 1; Khi đó f(1) = 0; f(0) = 1; f(2) = 9
Do đó
Bài 5. Giá trị nhỏ nhất của hàm số y= x. (x+ 2). (x+ 4). (x+ 6) + 5 trên nữa khoảng [-4; +∞] là:
Lời giải:
Đáp án: B
Nhận xét: Hàm số f(x) liên tục trên [-4; +∞]
Ta có: y = (x2 + 6x)(x2 + 6x + 8) + 5. Đặt t = x2 + 6x. Khi đó y = t2 + 8t + 5
Xét hàm số g(x) = x2 + 6x với x ≥ -4. Ta có g'(x) = 2x + 6; g'(x) = 0⇔ x = -3
Suy ra t ∈ [-9; +∞]
Yêu cầu bài toán trở thành tìm giá trị lớn nhất, giá trị nhỏ nhất của hàm số y = h(t) = t2 + 8t + 5 với t ∈ [-9; +∞]. Ta có h'(t) = 2t + 8; h'(t) = 0 ⇔ t = -4;
Bảng biến thiên
Bài 6. Giá trị nhỏ nhất của hàm số
trên đoạn [0; 3] là:
Lời giải:
Đáp án: C
Nhận xét: Hàm số đã cho liên tục trên [0;3]
Bài 7. Giá trị nhỏ nhất của hàm số
trên đoạn [2; 4] là:
Lời giải:
Đáp án: A
Nhận xét: Hàm số đã cho liên tục trên [2;4]
Bài 8. Giá trị nhỏ nhất của hàm số
trên khoảng (1;+∞) là:
Lời giải:
Đáp án: B
Hàm số xác định ∀ x ∈ (1;+∞)
Nhận xét: Hàm số f(x) liên tục trên
Bảng biến thiên
Từ bảng biến thiên ta có:
Bài 9. Giá trị lớn nhất của hàm số
là:
Lời giải:
Đáp án: C
Hàm số xác định ∀ x ∈ R
Nhận xét: Hàm số f(x) liên tục trên R
Bảng biến thiên
Bài 10. Giá trị lớn nhất và giá trị nhỏ nhất của hàm số
trên đoạn [-1; 1] là:
Lời giải:
Đáp án: C
Điều kiện xác định:
. Suy ra hàm số xác định ∀ x ∈ [-1; 1]
Nhận xét: Hàm số f(x) liên tục trên đoạn [-1; 1]
Bài 11. Giá trị lớn nhất của hàm số
trên đoạn [1; 5] là:
Lời giải:
Đáp án: A
TXĐ: D = R. Ta có: y' = x2 -4x + 3; y' = 0 ⇔ x2 - 4x + 3 = 0 ⇔ x = 1 hoặc x = 3.
Bài 12. Giá trị lớn nhất của hàm số
trên đoạn [0; 2] là:
Lời giải:
Đáp án: A
TXĐ: D = R\{-2}.
Bài 13. Cho hàm số
. Khẳng định nào sau đây đúng về giá trị lớn nhất và nhỏ nhất của hàm số trên đoạn [3; 4]:
A. Hàm số có giá trị nhỏ nhất bằng 3/2.
B. Hàm số có giá trị lớn nhất bằng 2.
C. Hàm số có giá trị lớn nhất bằng 6.
D. Hàm số có giá trị lớn nhất bằng 13/2 và giá trị nhỏ nhất bằng 6.
Lời giải:
Đáp án: D
TXĐ: D = R \ 2.
Bài 14. Hàm số y = x2 +2x+ 1 có giá trị lớn nhất và giá trị nhỏ nhất trên đoạn [0; 1] lần lượt là y1; y2. Khi đó tích y1.y2 bằng:
A. 5. B. -1. C. 4. D. 1.
Lời giải:
Đáp án: C
TXĐ: D = R.
y' = 2x + 2; y' = 0 ⇔ 2x + 2 = 0 ⇔ x = -1 ∉ [0; 1]. y(0) = 1; y(1) = 4 suy ra y1.y2 = 4
Bài 15. Hàm số
đạt giá trị lớn nhất và giá trị nhỏ nhất trên đoạn [1; 3] tại điểm có hoành độ lần lượt là x1 ; x2. Khi đó tổng x1 + x2 bằng
A. 2. B. 5. C. 4. D. 3.
Lời giải:
Đáp án: D
TXĐ: D = R. Ta có: y ' = x2 - 5x + 6; y' = 0 ⇔ x2 - 5x + 6 = 0 ⇔ x = 2 hoặc x = 3
Khi đó:
Bài 16. Hàm số
đạt giá trị nhỏ nhất tại x. Giá trị của x là:
A. x = 3
B. x = 0 hoặc x = 2 .
C. x = 0
D. x = - 2 hoặc x = 2.
Lời giải:
Đáp án: D
TXĐ: D = [-2; 2].
Hàm số đạt giá trị nhỏ nhất tại điểm có hoành độ x = ±2
Bài 17. Hàm số y = (x - 1)2 + (x + 3)2 có giá trị nhỏ nhất bằng:
A. 3. B. -1. C. 10. D. 8.
Lời giải:
Đáp án: D
TXĐ: D = R. Ta có: y = (x - 1)2 + (x + 3)2 = 2x2 + 4x + 10.
Ta có: y' = 4x + 4; y' = 0 ⇔ x = -1;
Bảng biến thiên:
Từ BBT ta thấy hàm số có giá trị nhỏ nhất bằng 8 .
Bài 18. Giá trị nhỏ nhất của hàm số
trên đoạn [1; e] bằng là:
Lời giải:
Đáp án: A
Bài 19. Hàm số
đạt giá trị lớn nhất và giá trị nhỏ nhất trên đoạn [-3; 0] lần lượt tại x1; x2. Khi đó x1.x2 bằng:
A. 2. B. 0. C. 6. D. √2.
Lời giải:
Đáp án: B
Bài 20. Hàm số
có giá trị lớn nhất, giá trị nhỏ nhất trên đoạn [-1; 1] lần lượt là:
Lời giải:
Đáp án: B
TXĐ : D = R.
Bài 21. Giá trị lớn nhất của hàm số
trên [0; π] là:
Lời giải:
Đáp án: D
Bài 22. Giá trị nhỏ nhất của hàm số
trên đoạn
là:
Lời giải:
Đáp án: C
TXĐ: D = R. Ta có
Khi đó, bài toán trở thành tìm giá trị lớn nhất, giá trị nhỏ nhất của hàm số
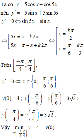
Bài 23. Giá trị nhỏ nhất của hàm số y = 5cosx - cos5x với
là:
Lời giải:
Đáp án: A
Bài 24. Hàm số y = sinx+ 1 đạt giá trị lớn nhất trên đoạn
bằng:
Lời giải:
Đáp án: A
Bài 25. Hàm số y = cos2x - 3 đạt giá trị nhỏ nhất trên đoạn [0 ; π] bằng:
A. - 4 B. - 3 C.- 2 D. 0
Lời giải:
Đáp án: A
Bài 26. Hàm số y = tanx + x đạt giá trị nhỏ nhất trên đoạn
tại điểm có hoành độ bằng:
Lời giải:
Đáp án: A
⇒ Hàm số đồng biến trên D ⇒ min y = 0.
Bài 27. Hàm số y= sinx+ cosx có giá trị nhỏ nhất, giá trị lớn nhất lần lượt là:
Lời giải:
Đáp án: B
Bài 28. Hàm số y = 3sinx- 4sin3x có giá trị lớn nhất, giá trị nhỏ nhất lần lượt là:
A. 3;-4 B. 1; 0
C. 1; -1 D. 0; -1
Lời giải:
Đáp án: C
Bài 29. Hàm số y = sin2x + 2 có giá trị nhỏ nhất, giá trị lớn nhất lần lượt bằng:
A. 0; 2 B. 1; 3
C. 1; 2 D. 2; 3
Lời giải:
Đáp án: D
Bài 30. Hàm số y = - 9sinx – sin3x có giá trị lớn nhất và giá trị nhỏ nhất trên đoạn [0; π] lần lượt là:
A. 8; 0 B. 0; - 8
C. 1; -1 D. 0; -1
Lời giải:
Đáp án: B
Bài 31. Hàm số
có giá trị lớn nhất, giá trị nhỏ nhất lần lượt là:
Lời giải:
Đáp án: D
Bài 32. Hàm số y = cos2x - 2cosx - 1 có giá trị nhỏ nhất và giá trị lớn nhất trên đoạn [0; π] lần lượt bằng y1 ; y2. Khi đó tích y1. y2 có giá trị bằng:
Lời giải:
Đáp án: B
Bài 33. Hàm số y = cos2x + 2sinx có giá trị lớn nhất, giá trị nhỏ nhất trên đoạn
lần lượt là y1; y2. Khi đó tích y1. y2 có giá trị bằng:
Lời giải:
Đáp án: A
Bài 34. Hàm số y = cos2x – 4sinx + 4 có giá trị lớn nhất, giá trị nhỏ nhất trên đoạn
là:
Lời giải:
Đáp án: C
Bài 35. Hàm số y = tanx+ cotx đạt giá trị lớn nhất trên đoạn
tại điểm có hoành độ là:
Lời giải:
Đáp án: C
Bài 36. Hàm số y = cosx(sinx+ 1) có giá trị lớn nhất và giá trị nhỏ nhất trên đoạn [0; π] lần lượt là:
Lời giải:
Đáp án: C
Bài 37. Hàm số y = sin3x+ cos3x có giá trị lớn nhất, giá trị nhỏ nhất trên đoạn [0; π] lần lượt là y1; y2. Khi đó hiệu y1 - y2 có giá trị bằng:
A. 4 B. 1 C. 3 D. 2
Lời giải:
Đáp án: D
Bài 38. Giá trị nhỏ nhất của hàm số y = ex(x2 - x - 1) trên đoạn [0;2] là
Lời giải:
Đáp án: D
Bài 39. Giá trị nhỏ nhất của hàm số y = ex(x2 - 3) trên đoạn [-2; 2]?
Lời giải:
Đáp án: B
Hàm số y = ex(x2 - 3) liên tục trên đoạn [-2 ; 2]
Bài 40. Giá trị lớn nhất của hàm số y = ex + 4e-x + 3x trên đoạn [1 ; 2] bằng
Lời giải:
Đáp án: A
Hàm số y = ex + 4e-x + 3x liên tục trên đoạn [1; 2]
(199k) Xem Khóa học Toán 12 KNTTXem Khóa học Toán 12 CDXem Khóa học Toán 12 CTST
Xem thêm các dạng bài tập Toán lớp 12 ôn thi Tốt nghiệp có lời giải hay khác:
- 100 Bài tập Giá trị lớn nhất, nhỏ nhất của hàm số có lời giải (Nhận biết)
- 100 Bài tập Giá trị lớn nhất, nhỏ nhất của hàm số có lời giải (Vận dụng)
- 100 Bài tập Sự tương giao của đồ thị hàm số có lời giải (Nhận biết)
- 120 Bài tập Sự tương giao của đồ thị hàm số có lời giải (nâng cao)
- 100 Bài tập Tiệm cận của đồ thị hàm số có lời giải (nâng cao)
Đã có app VietJack trên điện thoại, giải bài tập SGK, SBT Soạn văn, Văn mẫu, Thi online, Bài giảng....miễn phí. Tải ngay ứng dụng trên Android và iOS.
Theo dõi chúng tôi miễn phí trên mạng xã hội facebook và youtube:Nếu thấy hay, hãy động viên và chia sẻ nhé! Các bình luận không phù hợp với nội quy bình luận trang web sẽ bị cấm bình luận vĩnh viễn.
- Giải Tiếng Anh 12 Global Success
- Giải sgk Tiếng Anh 12 Smart World
- Giải sgk Tiếng Anh 12 Friends Global
- Lớp 12 Kết nối tri thức
- Soạn văn 12 (hay nhất) - KNTT
- Soạn văn 12 (ngắn nhất) - KNTT
- Giải sgk Toán 12 - KNTT
- Giải sgk Vật Lí 12 - KNTT
- Giải sgk Hóa học 12 - KNTT
- Giải sgk Sinh học 12 - KNTT
- Giải sgk Lịch Sử 12 - KNTT
- Giải sgk Địa Lí 12 - KNTT
- Giải sgk Giáo dục KTPL 12 - KNTT
- Giải sgk Tin học 12 - KNTT
- Giải sgk Công nghệ 12 - KNTT
- Giải sgk Hoạt động trải nghiệm 12 - KNTT
- Giải sgk Giáo dục quốc phòng 12 - KNTT
- Giải sgk Âm nhạc 12 - KNTT
- Giải sgk Mĩ thuật 12 - KNTT
- Lớp 12 Chân trời sáng tạo
- Soạn văn 12 (hay nhất) - CTST
- Soạn văn 12 (ngắn nhất) - CTST
- Giải sgk Toán 12 - CTST
- Giải sgk Vật Lí 12 - CTST
- Giải sgk Hóa học 12 - CTST
- Giải sgk Sinh học 12 - CTST
- Giải sgk Lịch Sử 12 - CTST
- Giải sgk Địa Lí 12 - CTST
- Giải sgk Giáo dục KTPL 12 - CTST
- Giải sgk Tin học 12 - CTST
- Giải sgk Hoạt động trải nghiệm 12 - CTST
- Giải sgk Âm nhạc 12 - CTST
- Lớp 12 Cánh diều
- Soạn văn 12 Cánh diều (hay nhất)
- Soạn văn 12 Cánh diều (ngắn nhất)
- Giải sgk Toán 12 Cánh diều
- Giải sgk Vật Lí 12 - Cánh diều
- Giải sgk Hóa học 12 - Cánh diều
- Giải sgk Sinh học 12 - Cánh diều
- Giải sgk Lịch Sử 12 - Cánh diều
- Giải sgk Địa Lí 12 - Cánh diều
- Giải sgk Giáo dục KTPL 12 - Cánh diều
- Giải sgk Tin học 12 - Cánh diều
- Giải sgk Công nghệ 12 - Cánh diều
- Giải sgk Hoạt động trải nghiệm 12 - Cánh diều
- Giải sgk Giáo dục quốc phòng 12 - Cánh diều
- Giải sgk Âm nhạc 12 - Cánh diều


Giải bài tập SGK & SBT
Tài liệu giáo viên
Sách
Khóa học
Thi online
Hỏi đáp

