100 Bài tập Giá trị lớn nhất, nhỏ nhất của hàm số có lời giải (nâng cao)
Với 100 Bài tập Giá trị lớn nhất, nhỏ nhất của hàm số (mức độ Vận dụng) có lời giải chi tiết sẽ giúp học sinh ôn tập, biết cách làm Bài tập Giá trị lớn nhất, nhỏ nhất của hàm số.
100 Bài tập Giá trị lớn nhất, nhỏ nhất của hàm số có lời giải (Vận dụng)
(199k) Xem Khóa học Toán 12 KNTTXem Khóa học Toán 12 CDXem Khóa học Toán 12 CTST
Bài giảng: Giá trị lớn nhất, giá trị nhỏ nhất của hàm số - Cô Nguyễn Phương Anh (Giáo viên VietJack)
Bài 1. Giá trị lớn nhất của hàm số
bằng
Lời giải:
Đáp án: D
Điều kiện -4 ≤ x ≤ 4 . Nhận xét: Hàm số đã cho liên tục trên đoạn [-4; 4]
Bài 2. Gọi M là giá trị lớn nhất và m là giá trị nhỏ nhất của hàm số y = 2sin8x + cos42x. Khi đó
bằng
Lời giải:
Đáp án: D
Bài toán trở thành tìm giá trị lớn nhất, giá trị nhỏ nhất của hàm số
Bài 3. Gọi M và m là giá trị lớn nhất; giá trị nhỏ nhất của hàm số y = (x-1).(x-2).(x- 3). (x- 4). Tìm mệnh đề đúng?
A. M = m + 100 B. M- m = 112
C. M = -120m D. M + m = 130
Lời giải:
Đáp án: C
TXĐ: D = R. Ta có:
(khảo sát hàm số y = x2 – 5x + 4 ta tìm được giá trị lớn nhất, giá trị nhỏ nhất lần lượt là
)
Khi đó hàm số trở thành: y = f(t) = t(t + 2) = t2 + 2t
= >f’(t) = 2t + 2 = 0 khi t = - 1
BBT:
Suy ra, hàm số có giá trị lớn nhất bằng M = 120 và giá trị nhỏ nhất bằng m = -1
Do đó, M = - 120m
Bài 4. Hàm số
có giá trị lớn nhất, giá trị nhỏ nhất là:
Lời giải:
Đáp án: B
Bài 5. Hàm số
đạt giá trị lớn nhất, giá trị nhỏ nhất tại điểm có hoành độ là:
Lời giải:
Đáp án: A
Bài 6. Hàm số
có giá trị nhỏ nhất, giá trị lớn nhất trên đoạn [0; 63] là:
A. 2; 8 B. 2; 12 C. 0; 2 D. 0; 12
Lời giải:
Đáp án: B
Khi đó hàm số trở thành: y = t3 + t2
= > y’ = 3t2 + 2t > 0 ∀t ∈ [1;2]
Do đó, hàm số đồng biến trên đoạn [1;2].
Suy ra miny = y(1) = 2; max y = 12
Bài 7. Tìm giá trị lớn nhất M của hàm số
.
A. M = 1 B. M = 2 C. M = 2 D. M = 3
Lời giải:
Đáp án: A
Đặt t = sin x (-1 ≤ t ≤ 1)
Khi đó, bài toán trở thành Tìm giá trị lớn nhất của hàm số
trên đoạn [-1; 1].
Bài 8. Tìm giá trị lớn nhất M của hàm số f(x) = sin3x + cos2x + sinx + 3.
Lời giải:
Đáp án: D
Ta có f(x) = sin3x + cos2x + sinx + 3 = sin3x + 1- 2sin2x + sinx + 3
Hay f(x) = sin3x – 2sin2 x + sinx + 4.
Đặt t = sin x (-1 ≤ t ≤ 1)
Khi đó, bài toán trở thành Tìm giá trị lớn nhất của hàm số g(t) = t3 – 2t2 + t + 4 trên đoạn [-1; 1].
Đạo hàm g’(t) = 3t2 – 4t + 1
Bài 9. Xét hàm số f(t) = x3 + x- cosx – 4 trên nửa khoảng [0; + ∞]. Mệnh đề nào sau đây là đúng?
A. Hàm số có giá trị lớn nhất là -5 nhưng không có giá trị nhỏ nhất.
B. Hàm số không có giá trị lớn nhất nhưng có giá trị nhỏ nhất là -5.
C. Hàm số có giá trị lớn nhất là 5 và có giá trị nhỏ nhất là -5.
D. Hàm số không có giá trị lớn nhất và không có giá trị nhỏ nhất.
Lời giải:
Đáp án: B
Ta có f’(x) = 3x2 + 1 + sinx > 0 với mọi x (vì -1 ≤ sinx ≤ 1)
Suy ra hàm số f(x) đồng biến trên [0; + ∞)
Khi đó hàm số không có giá trị lớn nhất nhưng có giá trị nhỏ nhất là
Bài 10. Tìm giá trị lớn nhất M của hàm số f(x) = |- x2 – 4x + 5| trên đoạn [-6; 6].
A. M = 8 B. M = 9 C. M = 55 D. M = 80
Lời giải:
Đáp án: C
Xét hàm số g(x) = - x2 – 4x + 5 liên tục trên đoạn [-6; 6].
Đạo hàm g’(x) = - 2x- 4.
Xét phương trình g’(x) = 0 ⇔ x = -2
Ta có g(-6) = - 7; g(-2) = 9; g(6) = 55; g(1) = g(-5) = 0
Bài 11. Tìm giá trị lớn nhất M của hàm số f(x) = |x2 – 3x + 2|- x trên đoạn [-4; 4].
A. M = 2 B. M = 17 C. M = 34 D. M = 68
Lời giải:
Đáp án: C
Hàm số f(x) xác định và liên tục trên đoạn [-4; 4].
• Nếu x ∈ [1; 2] thì x2 – 3x + 2 ≤ 0 nên suy ra f(x) = - x2 + 2x - 2.
Đạo hàm f’(x) = -2x + 2 = 0 khi x = 1
Ta có f(1) = - 1 và f(2) = -2
• Nếu x ∈ [-4; 1] ∪ [2; 4] thì x2 – 3x + 2 ≥ 0 nên suy ra f(x) = x2 – 4x + 2.
Đạo hàm f’(x) = 2x- 4 = 0 khi x = 2
Ta có: f(-4) = 34; f(1) = -1; f(2) = - 2; f(4) = 2.
So sánh hai trường hợp, ta được
Bài 12. Cho hàm số y = f(x) xác định, liên tục trên R và có bảng biến thiên sau:
Khẳng định nào sau đây là đúng?
A. Giá trị lớn nhất của hàm số bằng 2.
B. Giá trị nhỏ nhất của hàm số bằng -1
C. Giá trị nhỏ nhất của hàm số bằng 1.
D. Giá trị nhỏ nhất của hàm số bằng -1 và 1.
Lời giải:
Đáp án: A
Dựa vào bảng biến thiên nhận thấy:
● f(x) ≤ 2, ∀ x ∈ R và f(0) = 2 nên GTLN của hàm số bằng 2
● f(x) ≥ -1, ∀ x ∈ R và vì
nên không tồn tại x0 ∈ R sao cho f(x0) = 1, do đó hàm số không có GTNN.
Bài 13. Cho hàm số y = f(x) xác định, liên tục trên R và có bảng biến thiên như sau:
Khẳng định nào sau đây là đúng ?
A. Hàm số có đúng một cực trị.
B. Hàm số có giá trị cực tiểu bằng 1.
C. Hàm số có giá trị lớn nhất bằng 0 và giá trị nhỏ nhất bằng -1.
D. Hàm số đạt cực đại tại x = 0 và đạt cực tiểu tại x = 1.
Lời giải:
Đáp án: D
• A sai vì hàm số có 2 điểm cực trị (khi x = 0; x = 1)
• B sai vì hàm số có giá trị cực tiểu bằng -1.
• C sai vì hàm số không có giá trị lớn nhất và giá trị nhỏ nhất trên R.
• D Đúng.
Bài 14. Cho hàm số y = f(x) có bảng biến thiên sau:
Khẳng định nào sau đây là đúng?
A. Hàm số có hai điểm cực trị.
B. Hàm số đạt giá trị nhỏ nhất bằng -4.
C. Hàm số đạt giá trị lớn nhất bằng -3.
D. Hàm số có một điểm cực tiểu.
Lời giải:
Đáp án: B
• A sai vì hàm số có ba điểm cực trị là x = -1; x = 0; x = 1.
• C sai vì hàm số không có giá trị lớn nhất.
• D sai vì hàm số có hai điểm cực tiểu là x = -1 và x = 1.
• B đúng hàm số có giá trị nhỏ nhất là -4 tại x = -1 hoặc x = 1
Bài 15. Cho hàm số y = f(x) và có bảng biến thiên trên [-5; 7) như sau:
Mệnh đề nào sau đây là đúng?
và hàm số không đạt giá trị lớn nhất trên [-5; 7).
Lời giải:
Đáp án: A
Dựa vào bảng biến thiên, ta nhận thấy:
• Hàm số có giá trị nhỏ nhất bằng 2, đạt tại x = 1 ∈ [-5; 7)
• Ta có
. Mà 7 ∉ [-5; 7) nên không tồn tại x0 ∈ [-5; 7) sao cho f(x0) = 9. Do đó hàm số không đạt GTLN trên [-5; 7)
Vậy
và hàm số không đạt giá trị lớn nhất trên [-5; 7).
Bài 16. Cho hàm số y = f(x) có đồ thị trên đoạn [-2; 4] như hình vẽ. Tìm giá trị lớn nhất M của hàm số y = |f(x)| trên đoạn [-2; 4]?
A. M = 2
B. M = |f(0)|
C. M = 3
D. M = 1
Lời giải:
Đáp án: C
Từ đồ thị hàm số y = f(x) trên đoạn [-2; 4] ta suy ra đồ thị hàm số |f(x)| trên [-2; 4] như hình vẽ.
Do đó
tại x = -1
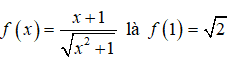
Bài 17. Tìm giá trị lớn nhất của hàm số
?
A. 1. B. 2.
C. √2 D. Không tồn tại.
Lời giải:
Đáp án: C
Tập xác định: D = R.
Vậy giá trị lớn nhất của hàm số
Bài 18. Giá trị lớn nhất của hàm số
.
Lời giải:
Đáp án: D
Hàm số đã cho xác định và liên tục trên khoảng (0 ; + ∞)
Hàm số đạt giá trị lớn nhất trên khoảng (0; + ∞) khi hàm số
đạt giá trị nhỏ nhất trên khoảng (0; ∞)
Bài 19. Tìm giá trị nhỏ nhất của hàm số
trên nửa khoảng [-4; -2).
Lời giải:
Đáp án: D
Ta có
Bài 20. Tổng giá trị lớn nhất và nhỏ nhất của hàm số y = f(x) = |x| + 3 trên [-1; 1] là :
A. 3 B. 7 C. 0 D. 4 .
Lời giải:
Đáp án: B
Ta có
Ta có bảng biến thiên của hàm số đã cho.
Bài 21. Gọi M, N lần lượt là giá trị lớn nhất, giá trị nhỏ nhất của hàm số
trên đoạn [0;4]. Tính M - 10N.
Lời giải:
Đáp án: A
Xét hàm số g(x) = (x-3)2 (x + 1) trên [0; 4].
Ta có: g’(x) = 2(x -3)(x + 1) + (x-3)2 = 3x2 -10x + 3.
Bài 22. Tìm giá trị thực của tham số m để hàm số f(x) = - x2 + 4x – m có giá trị lớn nhất trên đoạn [-1; 3] bằng 10
A. m = 3 B. m = -6 C. m = -2 D. m = -3
Lời giải:
Đáp án: B
Đạo hàm f’(x) = - 2x + 4
Xét phương trình f’(x) = 0 ⇔ x = 2
Ta có: f(-1) = -5- m; f(2) = 4- m; f(3) = 3- m
Bài 23. Tìm giá trị nhỏ nhất m của hàm số
trên khoảng (0; + ∞)
A. m = 0 B. m = 2 C. m = 1 D. m = √2
Lời giải:
Đáp án: D
Từ bảng biến thiên ta tìm được giá trị nhỏ nhất của hàm số là f(1) = √2
Bài 24. Tìm m để giá trị lớn nhất của hàm số
trên đoạn [0; 1] bằng 0?
Lời giải:
Đáp án: C
Suy ra hàm số f(x) đồng biến trên [0; 1].
Bài 25. Tìm m để giá trị nhỏ nhất của hàm số
trên đoạn [-1; 0] bằng -4
Lời giải:
Đáp án: C
Suy ra hàm số f(x) nghịch biến trên [-1; 0] nên min f(x) = f(0) = -m2.
Theo giả thiết ta có, -m2 = - 4 ⇔ m = ±2
Bài 26. Tìm giá trị thực của tham số a để hàm số f(x) = - x3 – 3x2 + a có giá trị nhỏ nhất trên đoạn [-1; 1] bằng 4?
A. a = 2 B. a = 6 C. a = 8 D. a = 4
Lời giải:
Đáp án: D
Bài 27. Cho hàm số f(x) = x3 + (m2 + 10)x + m2 – 2 với m là tham số thực. Tìm tất cả các giá trị của m để hàm số có giá trị nhỏ nhất trên đoạn [0; 2] bằng 14.
Lời giải:
Đáp án: D
Đạo hàm f’(x) = 3x2 + m2 + 10 > 0 với mọi x
Suy ra hàm số f(x) đồng biến trên [0; 2].
Suy ra, giá trị nhỏ nhất của hàm số trên đoạn [0; 2] là f(0) = m2 -2
Theo bài ra: m2 – 2 = 14 ⇔ m2 = 16 ⇔ m = ±4
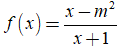
Bài 28. Cho hàm số
với m là tham số thực. Tìm giá trị lớn nhất của m để hàm số có giá trị nhỏ nhất trên đoạn [0; 3] bằng -2.
A. m = 4 B. m = 5 C. m = - 4 D. m = 3
Lời giải:
Đáp án: A
Suy ra hàm số f(x) đồng biến trên đoạn [0; 3] nên
Theo bài ra:
nên giá trị m lớn nhất thỏa mãn là m = 4.
Bài 29. Cho hàm số
(với m là tham số thực) thỏa mãn
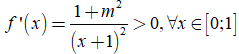
. Mệnh đề nào dưới đây là đúng?
A. m > 6 B. 1 < m < 4 C. m > 4 D. m < -2
Lời giải:
Đáp án: C
* TH1. Với m > -1 suy ra
nên hàm số f(x) nghịch biến trên mỗi khoảng xác định. Khi đó
(chọn).
* TH2. Với m < -1 suy ra
nên hàm số f(x) đồng biến trên mỗi khoảng xác định. Khi đó
(loại).
Vậy m = 5 là giá trị cần tìm và thỏa mãn điều kiện m > 4.
Bài 30. Cho hàm số
với m là tham số thực. Tìm tổng tất cả các giá trị của m để hàm số có giá trị nhỏ nhất trên đoạn [0; 1] bằng -2
A. 1 B. 0 C. 2 D. 3
Lời giải:
Đáp án: A
Suy ra hàm số f(x) đồng biến trên [0; 1] nên
Theo bài ra:
Do đó, tổng các giá trị của m thỏa mãn đề bài là: -1 + 2 = 1.
Bài 31. Cho hàm số
(với m là tham số thực) thỏa mãn
. Mệnh đề nào dưới đây là đúng ?
Lời giải:
Đáp án: D
Suy ra hàm số f(x) là hàm số đơn điệu trên đoạn [1;2] với mọi m ≠ 1
Vậy m = 5 là giá trị cần tìm và thỏa mãn điều kiện m > 3
Bài 32. Cho hàm số
với m là tham số thực. Gọi S là tập tất cả các giá trị m nguyên dương để hàm số có giá trị lớn nhất trên đoạn [0; 4] nhỏ hơn 3. Hỏi tập S có bao nhiêu phần tử?
A. 2 B. 3 C. 4 D. 1
Lời giải:
Đáp án: D
Lập bảng biến thiên, ta kết luận được
Do đó, chỉ có 1 giá trị của m thỏa mãn đầu bài.
Bài 33. Cho một tấm nhôm hình vuông cạnh 12cm. Người ta cắt ở bốn góc của tấm nhôm đó bốn hình vuông bằng nhau, mỗi hình vuông có cạnh bằng x(cm), rồi gập tấm nhôm lại như hình vẽ dưới đây để được một cái hộp không nắp. Tìm x để hộp nhận được có thể tích lớn nhất.
A. x = 6 B. x = 3 C.x = 2 D. x = 4
Lời giải:
Đáp án: C
Hộp có đáy là hình vuông cạnh bằng 12- 2x (cm) và chiều cao x (cm) với 0 < x < 6.
Do đó thể tích khối hộp V = (12- 2x)2.x = 4x3 – 48x2 + 144x.
Xét hàm f(x) = 4x3 – 48x2 + 144x trên (0; 6) ta được
Vậy với x = 2 cm thể tích khối hộp lớn nhất.
Cách 2. Ta có
Dấu " = " xảy ra khi 4x = 12 - 2x ⇔ x = 2
Bài 34. Tính diện tích lớn nhất Smax của hình chữ nhật nội tiếp trong nửa đường tròn có bán kính 10cm, biết một cạnh của hình chữ nhật nằm dọc theo đường kính của đường tròn.
A. 80cm2 B. 100cm2 C. 160cm2 D. 200cm2
Lời giải:
Đáp án: B
Đặt BC = x cm là độ dài cạnh hình chữ nhật không nằm dọc theo đường kính của đường tròn (0 < x < 10).
Khi đó độ dài cạnh hình chữ nhật nằm dọc trên đường tròn là
Diện tích hình chữ nhật:
Cách 2. Ta có
Bài 35. Cho một tấm nhôm hình vuông cạnh 6cm. Người ta muốn cắt một hình thang như hình vẽ. Tìm tổng x + y để diện tích hình thang EFGH đạt giá trị nhỏ nhất.
Lời giải:
Đáp án: C
Ta có SEFGH nhỏ nhất
lớn nhất (do SBEF không đổi).
Tính được 2S = 2x + 3y + (6 - x). (6- y) = xy – 4x - 3y + 36 (1)
Ta có EFGH là hình thang nên
Để 2S lớn nhất khi và chỉ khi
nhỏ nhất.
Bài 36. Cho hàm số
với m là tham số thực.Có bao nhiêu giá trị nguyên dương của m để hàm số có giá trị nhỏ nhất trên đoạn [0; 1] bằng -2.
A. 0 B. 1 C. 2 D. 3
Lời giải:
Đáp án: B
Đạo hàm
Suy ra hàm số f(x) đồng biến trên [0;1]
Theo bài ra:
Vậy có 1 giá trị nguyên dương của m thỏa mãn là m = 2.
Bài 37. Tìm tổng tất cả giá trị của m để giá trị nhỏ nhất của hàm số
trên đoạn [1; 2] bằng 1.
A. 0 B. 2 C. – 1 D. 1
Lời giải:
Đáp án: D
Vậy có 1 giá trị của m thỏa mãn là m = 1.
Chọn D.
Bài 38. Tìm các giá trị của tham số m sao cho giá trị lớn nhất của hàm số y = |x2 – 2x + m| trên đoạn [- 1; 2] bằng 5?
A. m = -4, m = 2 B. m = 1, m = 2
C. m = -2, m = 3 D. m = 0, m = 3
Lời giải:
Đáp án: A
Xét hàm số f(x) = x2 - 2x + m trên đoạn [-1; 2], ta có f’(x) = 2(x- 1) và f’(x) = 0 khi x = 1.
Vậy:
Vậy có 2 giá trị của m thỏa mãn là m = - 4 và m = 2.
Bài 39. Tìm các giá trị của m để hàm số
có giá trị lớn nhất trên [1; 2] bằng - 2.
A. m = 1 B. m = -1 C. m = - 2 D. m = 3
Lời giải:
Đáp án: D
Tập xác định:
Theo đề bài gía trị lớn nhất của hàm số trên [1; 2] là -2 nên
⇔ m + 1 = - 2 + 2m ⇔ m = 3.
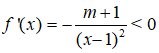
Bài 40. Cho hàm số
, với tham số m bằng bao nhiêu thì
A. m = 1 B.m = 3 C. m = 5 D. m = - 1
Lời giải:
Đáp án: C
* TH1. Với m > - 1 suy ra
nên hàm số f(x) nghịch biến trên mỗi khoảng xác định.
Khi đó
(chọn).
* TH2. Với m < - 1 suy ra
nên hàm số f(x) đồng biến trên mỗi khoảng xác định. Khi đó
= f(2) = m + 2 = 3 ⇔ m = 1 (loại).
Vậy giá trị m cần tìm là m = 5.
(199k) Xem Khóa học Toán 12 KNTTXem Khóa học Toán 12 CDXem Khóa học Toán 12 CTST
Xem thêm các dạng bài tập Toán lớp 12 ôn thi Tốt nghiệp có lời giải hay khác:
- 100 Bài tập Giá trị lớn nhất, nhỏ nhất của hàm số có lời giải (Nhận biết)
- 100 Bài tập Giá trị lớn nhất, nhỏ nhất của hàm số có lời giải (Vận dụng)
- 100 Bài tập Sự tương giao của đồ thị hàm số có lời giải (Nhận biết)
- 120 Bài tập Sự tương giao của đồ thị hàm số có lời giải (nâng cao)
- 100 Bài tập Tiệm cận của đồ thị hàm số có lời giải (nâng cao)
Đã có app VietJack trên điện thoại, giải bài tập SGK, SBT Soạn văn, Văn mẫu, Thi online, Bài giảng....miễn phí. Tải ngay ứng dụng trên Android và iOS.
Theo dõi chúng tôi miễn phí trên mạng xã hội facebook và youtube:Nếu thấy hay, hãy động viên và chia sẻ nhé! Các bình luận không phù hợp với nội quy bình luận trang web sẽ bị cấm bình luận vĩnh viễn.
- Giải Tiếng Anh 12 Global Success
- Giải sgk Tiếng Anh 12 Smart World
- Giải sgk Tiếng Anh 12 Friends Global
- Lớp 12 Kết nối tri thức
- Soạn văn 12 (hay nhất) - KNTT
- Soạn văn 12 (ngắn nhất) - KNTT
- Giải sgk Toán 12 - KNTT
- Giải sgk Vật Lí 12 - KNTT
- Giải sgk Hóa học 12 - KNTT
- Giải sgk Sinh học 12 - KNTT
- Giải sgk Lịch Sử 12 - KNTT
- Giải sgk Địa Lí 12 - KNTT
- Giải sgk Giáo dục KTPL 12 - KNTT
- Giải sgk Tin học 12 - KNTT
- Giải sgk Công nghệ 12 - KNTT
- Giải sgk Hoạt động trải nghiệm 12 - KNTT
- Giải sgk Giáo dục quốc phòng 12 - KNTT
- Giải sgk Âm nhạc 12 - KNTT
- Giải sgk Mĩ thuật 12 - KNTT
- Lớp 12 Chân trời sáng tạo
- Soạn văn 12 (hay nhất) - CTST
- Soạn văn 12 (ngắn nhất) - CTST
- Giải sgk Toán 12 - CTST
- Giải sgk Vật Lí 12 - CTST
- Giải sgk Hóa học 12 - CTST
- Giải sgk Sinh học 12 - CTST
- Giải sgk Lịch Sử 12 - CTST
- Giải sgk Địa Lí 12 - CTST
- Giải sgk Giáo dục KTPL 12 - CTST
- Giải sgk Tin học 12 - CTST
- Giải sgk Hoạt động trải nghiệm 12 - CTST
- Giải sgk Âm nhạc 12 - CTST
- Lớp 12 Cánh diều
- Soạn văn 12 Cánh diều (hay nhất)
- Soạn văn 12 Cánh diều (ngắn nhất)
- Giải sgk Toán 12 Cánh diều
- Giải sgk Vật Lí 12 - Cánh diều
- Giải sgk Hóa học 12 - Cánh diều
- Giải sgk Sinh học 12 - Cánh diều
- Giải sgk Lịch Sử 12 - Cánh diều
- Giải sgk Địa Lí 12 - Cánh diều
- Giải sgk Giáo dục KTPL 12 - Cánh diều
- Giải sgk Tin học 12 - Cánh diều
- Giải sgk Công nghệ 12 - Cánh diều
- Giải sgk Hoạt động trải nghiệm 12 - Cánh diều
- Giải sgk Giáo dục quốc phòng 12 - Cánh diều
- Giải sgk Âm nhạc 12 - Cánh diều


Giải bài tập SGK & SBT
Tài liệu giáo viên
Sách
Khóa học
Thi online
Hỏi đáp

