100 Bài tập Tiệm cận của đồ thị hàm số có lời giải (nâng cao)
Với 100 Bài tập Tiệm cận của đồ thị hàm số nâng cao có lời giải chi tiết sẽ giúp học sinh ôn tập, biết cách làm Bài tập Tiệm cận của đồ thị hàm số.
100 Bài tập Tiệm cận của đồ thị hàm số có lời giải (nâng cao)
(199k) Xem Khóa học Toán 12 KNTTXem Khóa học Toán 12 CDXem Khóa học Toán 12 CTST
Bài giảng: Cách tìm tiệm cận của đồ thị hàm số - Cô Nguyễn Phương Anh (Giáo viên VietJack)
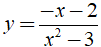
Bài 1. Giá trị của m để tiệm cận đứng của đồ thị hàm số
A. m = 2 B. m = - 2 C. m = 4 D. m ≠ 4
Lời giải:
Đáp án: C
Để đường thẳng
là tiệm cận đứng của đồ thị hàm số đã cho khi và chỉ khi:
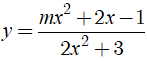
Bài 2. Giá trị của m để tiệm cận ngang của đồ thị hàm số
là y = 2
A. m = 2 B. m = -2 C. m = 4 D. m = -4
Lời giải:
Đáp án: C
Ta có:
Do đó; để đường thẳng y = 2 là tiệm cận ngang của đồ thị hàm số đã cho khi và chỉ khi:
Bài 3. Cho hàm số
. Phát biểu nào sau đây là đúng?
A. Tiệm cận đứng của đồ thị hàm số là x = 1
B. Tiệm cận đứng của đồ thị hàm số là x = ±1
C. Tiệm cận ngang của đồ thị hàm số là y = 1 và y = - 1.
D. Tiệm cận đứng và tiệm cận ngang của đồ thị hàm số là x = ±1, y = 1
Lời giải:
Đáp án: C
Ta có;
Do đó; đồ thị hàm số đã cho có 2 tiệm cận ngang là y = 1 và y = - 1.
Bài 4. Đồ thị hàm số nào sau đây không có tiệm cận ngang:
Lời giải:
Đáp án: C
* Cách 1: Xét phương án C; ta có:
Do đó, đồ thị hàm số này không có tiệm cận ngang.
Cách 2. Cho một hàm số phân thức; nếu bậc cao nhất của tử lớn hơn bậc cao nhất của mẫu thức thì đồ thị hàm số không có tiệm cận ngang.
Bài 5. Số các đường tiệm cận của hàm số
là:
A. 0 B. 1 C. 2 D. 3
Lời giải:
Đáp án: D
* Phương trình 3- x2 = 0
Do đó, đồ thị hàm số có hai tiệm cận đứng là
* Lại có:
Do đó,đồ thị hàm số đã cho có 1 đường tiệm cận ngang là y = 0 .
Vậy đồ thị hàm số có tất cả 3 đường tiệm cận.
Bài 6. Với giá trị nào của m thì đồ thị hàm số
có ba đường tiệm cận
A. m > 2 hoặc m < - 2 B. m > 2 hoặc m < -1
C. m > 1 hoặc m < -1 D. Đáp án khác
Lời giải:
Đáp án: A
* Ta có;
Do đó, đồ thị hàm số đã cho có 1 đường tiệm cận ngang là y = 0.
* Bài toán trở thành tìm m để đồ thị hàm số có hai tiệm cận đứng . Điều này xảy ra khi và chỉ khi
Phương trình: x2 - mx+ 1 = 0 có 2 nghiệm phân biệt khác 1.
Vậy để đồ thị hàm số có 3 đường tiệm cận khi và chỉ khi m < -2 hoặc m > 2.
Bài 7. Số các đường tiệm cận của hàm số
là:
A. 3 B. 2 C. 1 D. 0
Lời giải:
Đáp án: B
* Ta có:
⇒ đường thẳng x = 1 là tiệm cận đứng của đồ thị hàm số.
Lại có:
Suy ra; đường thẳng x = - 1 không là tiệm cận đứng của đồ thị hàm số.
Suy ra; tiệm cận ngang là y = 1.
Vậy đồ thị hàm số đã cho có tất cả 2 đường tiệm cận,
Bài 8. Số các đường tiệm cận của hàm số
là:
A. 0 B. 1 C. 2 D. 3
Lời giải:
Đáp án: C
* Hàm số đã cho luôn xác định với mọi giá trị của x nên đồ thị hàm số đã cho không có tiệm cận đứng.
* Ta có:
Do đó, đồ thị hàm số đã cho có 2 đường tiệm cận ngang là y = 1 và y = - 1.
Vậy đồ thi hàm số đã cho có tất cả hai đường tiệm cận
Bài 9. Cho hàm số
có tiệm cận đứng là x = 2 và đồ thị hàm số đi qua điểm A(3; -1). Tính m+ n
A. -1 B. - 3 C. - 2 D. 3
Lời giải:
Đáp án: B
* Do đồ thị hàm số đã cho có tiệm cận đứng là x = 2 nên ta có:
2+ n = 0 ⇔ n = - 2 .
Khi đó; hàm số đã cho có dạng
* Lại có; điểm A(3; -1) thuộc đồ thị hàm số nên ta có:
Vậy m+ n = -1+ ( - 2) = - 3
Bài 10. Cho hàm số
có tiệm cận ngang là y = 4 và đồ thị hàm số đi qua điểm A( -2;0) thì hiệu a- b bằng:
A. 2 B. 4 C. - 2 D. - 4
Lời giải:
Đáp án: D
Do đồ thị hàm số có tiệm cận ngang là y = 4 nên ta có:
Khi đó; hàm số đã cho có dạng:
Do đồ thị hàm số đi qua điểm A( - 2; 0) nên ta có:
Suy ra; a –b = - 4
Bài 11. Gọi x, y, z lần lượt là số các đường tiệm cận của đồ thị các hàm số sau:
. Bất đẳng thức nào sau đây đúng?
A. x < y < z B. y < x < z
C. z < x < y D. z < y < x
Lời giải:
Đáp án: C
Ta tìm số đường tiệm cận của từng đồ thị hàm số.
+ Xét hàm số
có tiệm cận đứng là x = 4 và tiệm cận ngang y = - 2.
⇒ x = 2.
+ Xét hàm số
có tiệm cận đứng là
và tiệm cận ngang là y = 0 .
Do đó y = 3
+ xét hàm số
Không có tiệm cận đứng và có tiệm cận ngang là y = 0 .
Do đó; z = 1.
Vậy z < x < y.
Bài 12. Cho hàm số
. Với giá trị nào của m thì hàm số có tiệm cận ngang là y = 2?
A . m = 1 B. m = - 1 C. m = 2 D. m = -2
Lời giải:
Đáp án: C
Ta có:
Do đó, để đường thẳng y = 2 là đường tiệm cận ngang của đồ thị hàm số thì:
Bài 13. Cho hàm số
. Với giá trị nào của m thì hàm số có tiệm cận đứng là x = 2?
A. m = 1 B. m = 2
C. m = - 2 D.Không có giá trị thỏa mãn.
Lời giải:
Đáp án: D
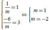
Điều kiện để hàm số không suy biến là:
Khi đó; để đường thẳng x = 2 là tiệm cận đứng của đồ thị hàm số thì :
2m+ 4 = 0 ⇔ m = - 2 ( không thỏa mãn điều kiện).
Vậy không có giá trị nào của m thỏa mãn.
Bài 14. Đồ thị hàm số
có:
A. Có 1 tiệm cận đứng, không có tiệm cận ngang
B. Không có tiệm cận đứng, có tiệm cận ngang
C. Không có tiệm cận đứng, 1 tiệm cận ngang
D. Có 2 tiệm cận đứng, 1tiệm cận ngang
Lời giải:
Đáp án: D
* Ta có:
Do đó; đồ thị hàm số đã cho có một tiệm cận ngang là y = 1.
+ Ta có:
nên đồ thị hàm số đã cho có 2 tiệm cận đứng là x = 3 và x = - 3.
Bài 15. Với giá trị nào của m thì đồ thị
có 2 đường tiệm cận
Lời giải:
Đáp án: A
Điều kiện để hàm số không suy biến là:
+ Với điều kiện trên; đồ thị hàm số có tiệm cận đứng là x = - 2.
+ Do
nên đồ thị hàm số có tiệm cận ngang là y = m.
Vậy nếu
thì đồ thị hàm số đã cho có 2 tiệm cận
Bài 16. Cho hàm số
. Tìm m để đồ thị hàm số nhận điểm I( 1; 1) làm tâm đối xứng.
A. m = 1 B. m ≠ -1 C. m ≠ 1 D. m > 1
Lời giải:
Đáp án: B
Điều kiện để hàm số không suy biến là:
Với điều kiện trên; đồ thị hàm số có tiệm cận đứng là x = 1 và tiệm cận ngang là y = 1.
Do đó, tâm đối xứng của đồ thị hàm số là I ( 1; 1) ( là giao điểm của hai đường tiệm cận).
Bài 17. Cho hàm số
. Tìm m để đồ thị hàm số nhận điểm I ( 2; 2) làm tâm đối xứng
A. m = 2 B. m = 3 C. m = -3 D. m = - 2
Lời giải:
Đáp án: A
+ Điều kiện để hàm số không bị suy biến là:
+ Với điều kiện trên, đồ thị hàm số có tiệm cận đứng là x = 2 và tiệm cận ngang là y = m.
Khi đó, tâm đối xứng của đồ thị hàm số là A( 2; m) là giao điểm của hai đường tiệm.
+ Do đó, để điểm I (2; 2) khi và chỉ khi m = 2.
Bài 18. Cho hàm số
. Tìm m để đồ thị hàm số nhận điểm I ( 3; 1) làm tâm đối xứng của đồ thị?
A. m = 1
B. m = -2
C. m = - 1
D. Không có giá trị nào thỏa mãn.
Lời giải:
Đáp án: D
+ Điều kiện để hàm số không bị suy biến là:
+ Với điều kiện trên; đồ thị hàm số có tiệm cận ngang là
và tiệm cận đứng là
+ Để điểm I (3;1) làm tâm đối xứng của đồ thị nên ta có:
Do đó; không có giá trị nào của m thỏa mãn đầu bài.
Bài 19. Cho hàm số y = f(x) xác định, liên tục trên R\ {3}và có bảng biến thiên như hình dưới đây. Số các phát biểu đúng trong các phát biểu sau là ?.
1) Đồ thị hàm số đã cho có đúng một tiệm cận đứng
2) Đồ thị hàm số đã cho có đúng một tiệm cận ngang
3) Đồ thị hàm số đã cho có hai điểm cực trị
4) Đồ thị hàm số đã cho có hai tiệm cận đứng là các đường thẳng x = 1 và x = 3
Số các phát biểu sai trong các phát biểu sau là ?.
A. 1 B. 2 C. 3 D. 4
Lời giải:
Đáp án: A
Dựa vào bảng biến thiên; đồ thị hàm số có tiệm cận đứng là x = 3 và tiệm cận ngang là y = 5.
Hàm số có hai điểm cực trị là x = 1 và x = 2.
Chú ý: tại x = 1 đạo hàm của hàm số không xác định; đường thẳng x = 1 không là tiệm cận đứng của đồ thị hàm số.
Bài 20. Tìm tiệm cận đứng của đồ thị hàm số:
A. y = - 1 B. x = 1; x = 3
C. y = 1; y = 3. D. x = ±1; x = ±3.
Lời giải:
Đáp án: D
Ta có:
Do đó, đồ thị hàm số đã cho có 4 đường tiệm cận là x = 1; x = -1; x = 3 và x = - 3
Bài 21. Cho đồ thị (C) của hàm số:
. Với giá trị nào của m thì (C) có tiệm cận ?
Lời giải:
Đáp án: A
Điều kiện để hàm số không bị suy biến là
Với điều kiện m ≠ 0 thì đồ thị hàm số có đường tiệm cận đứng là x = m.
Do bậc cao nhất của tử thức lớn hơn bậc nhất của mẫu thức nên đồ thị hàm số không có tiệm cận ngang.
Bài 22. Cho đồ thị (C) của hàm số:
. Với giá trị nào của m thì (C) không có tiệm cận đứng ?
A. m = 0 B. m = 1
C. m = 0 hay m = 1 D. m ≠ 0 hay m ≠ 1
Lời giải:
Đáp án: C
Để đồ thị hàm số đã cho không có tiệm cận đứng khi và chỉ khi tử thức và mẫu thức có cùng nghiệm x = m hay 2x2 – 3x+ m = 0 có nghiệm là x = m.
⇔ 2m2 – 3m + m = 0 ⇔ 2m2 – 2m = 0
Bài 23. Số đường tiệm cân của đồ thi hàm số
là:
A. 1 B. 2 C. 3 D. 4
Lời giải:
Đáp án: B
Tập xác định:
Ta có:
Do đó; đường thẳng x = 5 là tiệm cận đứng của đồ thị hàm số và y = 0 là tiệm cận ngang
Vậy đồ thị hàm số có tất cả hai đường tiệm cận.
Bài 24. Cho hàm số
có đồ thị (C). Kết luận nào sau đây là đúng ?
A. (C) có 2 đường tiệm cận đứng và một tiệm cận ngang.
B. (C) có tiệm cận ngang là đường thẳng y = -1 và tiệm cận đứng là đường thẳng x = -1.
C. (C) có tiệm cận ngang là đường thẳng y = 1 và tiệm cận đứng là đường thẳng x = -1.
D. (C) có tiệm cận ngang là đường thẳng y = -1 và tiệm cận đứng là đường thẳng x = 1.
Lời giải:
Đáp án: D
Do đó; đường thẳng y = -1 là tiệm cận ngang của đồ thị hàm số.
+ Lại có:
Do đó; đường thẳng x = 1 là đường tiệm cận đứng của đồ thị hàm số.
Bài 25. Cho hàm số
có đồ thị (C). Kết luận nào sau đây là sai?
A. (C) có hai đường tiệm cận ngang và một tiệm cận đứng.
B. (C) có tiệm cận ngang là y = ±1.
C. (C) có tiệm cận đứng là x = 3.
D. (C) có tiệm cận đứng là x = 3 và tiệm cận ngang là y = 1
Lời giải:
Đáp án: D
Ta có :
Nên đường thẳng x = 3 là tiệm cận đứng của đồ thị.
+ Lại có :
Do đó ; đồ thị hàm số có 2 đường tiệm cận ngang là y = 1 và y = -1.
Bài 26. Đồ thị hàm số
có số tiệm cận là:
A. 0. B. 1. C. 2. D. 3
Lời giải:
Đáp án: C
Điều kiện:
Ta có:
nên đường thẳng x = 1 là tiệm cận đứng của đồ thị hàm số.
nên đường thẳng y = 0 là tiệm cận ngang của đồ thị hàm số.
Vậy đồ thị hàm số có tất cả 2 tiệm cận.
Bài 27. Giá trị của m để tiệm cận đứng của đồ thị hàm số
đi qua điểm M(2 ; 3) là.
A. 2 B. – 2 C. 3 D. 0
Lời giải:
Đáp án: B
Do tiệm cận đứng đi qua điểm M(2; 3) nên đường thẳng x = 2 là tiệm cận đứng của đồ thị.
Lại có:
Do đó, để đồ thị hàm số nhận đường thẳng x = 2 làm tiệm cận đứng khi và chỉ khi:
2 + m = 0 ⇔ m = - 2.
Bài 28. Đồ thi hàm số
A. Không có đường tiệm cận nào
B. Chỉ có một đường tiệm cận
C. Có đúng hai đường tiệm cận: một tiệm cận đứng và một tiệm cận ngang
D. Có đúng ba đường tiệm cận:hai tiệm cận đứng và một tiệm cận ngang
Lời giải:
Đáp án: C
Ta có:
Do đó; đường thẳng x = 2 là tiệm cận đứng của đồ thị hàm số đã cho.
Lại có:
Suy ra; đường thẳng y = 1 là tiệm cận ngang của đồ thị hàm số.
Bài 29. Tìm tất cả các giá trị thực của tham số m sao cho đồ thị của hàm số
có hai tiệm cận ngang.
A. Không có giá trị nào B. m < 0
C. m = 0 D. m > 0
Lời giải:
Đáp án:
Với m > 0; ta có:
Do đó; để đồ thị hàm số đã cho có hai tiệm cận ngang khi và chỉ khi m > 0
Bài 30. Tìm M có hoành độ dương thuộc đồ thị hàm số
sao cho tổng khoảng cách từ M đến 2 tiệm cận của nó nhỏ nhất
A. M(1;-3) B. M(2;2)
C. M(4;3) D. M(0;-1)
Lời giải:
Đáp án: C
Đồ thị hàm số có tiệm cận đứng là (d1): x = 2 và tiệm cận ngang là d2: y = 1.
Lấy điểm M
thuộc đồ thị hàm số.
Khoảng cách từ M đến hai đường tiệm cận là:
Khi đó; tổng khoảng cách từ M đến hai đường tiệm cận là:
Mà điểm M cần tìm có hoành độ dương nên điểm M (4; 3)
(199k) Xem Khóa học Toán 12 KNTTXem Khóa học Toán 12 CDXem Khóa học Toán 12 CTST
Xem thêm các dạng bài tập Toán lớp 12 ôn thi Tốt nghiệp có lời giải hay khác:
- 120 Bài tập Sự tương giao của đồ thị hàm số có lời giải (nâng cao)
- 100 Bài tập Tiệm cận của đồ thị hàm số có lời giải (nâng cao)
- 100 Bài tập Tiệm cận của đồ thị hàm số có lời giải (Nhận biết)
- 100 Bài tập Tính đơn điệu của hàm số có lời giải (nâng cao)
- 120 Bài tập Tính đơn điệu của hàm số có lời giải (Nhận biết)
Đã có app VietJack trên điện thoại, giải bài tập SGK, SBT Soạn văn, Văn mẫu, Thi online, Bài giảng....miễn phí. Tải ngay ứng dụng trên Android và iOS.
Theo dõi chúng tôi miễn phí trên mạng xã hội facebook và youtube:Nếu thấy hay, hãy động viên và chia sẻ nhé! Các bình luận không phù hợp với nội quy bình luận trang web sẽ bị cấm bình luận vĩnh viễn.
- Giải Tiếng Anh 12 Global Success
- Giải sgk Tiếng Anh 12 Smart World
- Giải sgk Tiếng Anh 12 Friends Global
- Lớp 12 Kết nối tri thức
- Soạn văn 12 (hay nhất) - KNTT
- Soạn văn 12 (ngắn nhất) - KNTT
- Giải sgk Toán 12 - KNTT
- Giải sgk Vật Lí 12 - KNTT
- Giải sgk Hóa học 12 - KNTT
- Giải sgk Sinh học 12 - KNTT
- Giải sgk Lịch Sử 12 - KNTT
- Giải sgk Địa Lí 12 - KNTT
- Giải sgk Giáo dục KTPL 12 - KNTT
- Giải sgk Tin học 12 - KNTT
- Giải sgk Công nghệ 12 - KNTT
- Giải sgk Hoạt động trải nghiệm 12 - KNTT
- Giải sgk Giáo dục quốc phòng 12 - KNTT
- Giải sgk Âm nhạc 12 - KNTT
- Giải sgk Mĩ thuật 12 - KNTT
- Lớp 12 Chân trời sáng tạo
- Soạn văn 12 (hay nhất) - CTST
- Soạn văn 12 (ngắn nhất) - CTST
- Giải sgk Toán 12 - CTST
- Giải sgk Vật Lí 12 - CTST
- Giải sgk Hóa học 12 - CTST
- Giải sgk Sinh học 12 - CTST
- Giải sgk Lịch Sử 12 - CTST
- Giải sgk Địa Lí 12 - CTST
- Giải sgk Giáo dục KTPL 12 - CTST
- Giải sgk Tin học 12 - CTST
- Giải sgk Hoạt động trải nghiệm 12 - CTST
- Giải sgk Âm nhạc 12 - CTST
- Lớp 12 Cánh diều
- Soạn văn 12 Cánh diều (hay nhất)
- Soạn văn 12 Cánh diều (ngắn nhất)
- Giải sgk Toán 12 Cánh diều
- Giải sgk Vật Lí 12 - Cánh diều
- Giải sgk Hóa học 12 - Cánh diều
- Giải sgk Sinh học 12 - Cánh diều
- Giải sgk Lịch Sử 12 - Cánh diều
- Giải sgk Địa Lí 12 - Cánh diều
- Giải sgk Giáo dục KTPL 12 - Cánh diều
- Giải sgk Tin học 12 - Cánh diều
- Giải sgk Công nghệ 12 - Cánh diều
- Giải sgk Hoạt động trải nghiệm 12 - Cánh diều
- Giải sgk Giáo dục quốc phòng 12 - Cánh diều
- Giải sgk Âm nhạc 12 - Cánh diều


Giải bài tập SGK & SBT
Tài liệu giáo viên
Sách
Khóa học
Thi online
Hỏi đáp

