100 Bài tập Tiệm cận của đồ thị hàm số có lời giải (Nhận biết)
Với 100 Bài tập Tiệm cận của đồ thị hàm số (mức độ Nhận biết) có lời giải chi tiết sẽ giúp học sinh ôn tập, biết cách làm Bài tập Tiệm cận của đồ thị hàm số.
100 Bài tập Tiệm cận của đồ thị hàm số có lời giải (Nhận biết)
(199k) Xem Khóa học Toán 12 KNTTXem Khóa học Toán 12 CDXem Khóa học Toán 12 CTST
Bài giảng: Cách tìm tiệm cận của đồ thị hàm số - Cô Nguyễn Phương Anh (Giáo viên VietJack)
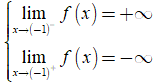
Bài 1. Cho hàm số y = f(x) có
và
. Khẳng định nào sau đây là khẳng định đúng ?
A. Đồ thị hàm số không có tiệm cận ngang.
B. Đồ thị hàm số có đúng một tiệm cận ngang.
C. Đồ thị hàm số có hai tiệm cận ngang là các đường thẳng y = 1 và y = -1.
D. Đồ thị hàm số có hai tiệm cận ngang là các đường thẳng x = 1 và x = -1.
Lời giải:
Đáp án: C
Theo định nghĩa về tiệm cận, ta có:
+
nên y = 1 là một tiệm cận ngang.
+
nên y = - 1 là một tiệm cận ngang.
Vậy đồ thị hàm số đã cho có 2 tiệm cận ngang là y = 1 và y= -1.
Bài 2. Cho hàm số y= f(x) có
và
. Khẳng định nào sau đây là khẳng định đúng?
A. Đồ thị hàm số không có tiệm cận ngang.
B. Đồ thị hàm số nằm phía trên trục hoành.
C. Đồ thị hàm số có một tiệm cận ngang là trục hoành.
D. Đồ thị hàm số có một tiệm cận đứng là đường thẳng y = 0
Lời giải:
Đáp án: C
Ta có
nên đường thẳng y =0 là tiệm cận ngang của đồ thị hàm số.
→ Đáp án B sai vì chọn hàm
.
Vậy ta chỉ có đáp án C đúng.
Bài 3. Cho hàm số y= f(x) có
và
. Khẳng định nào sau đây là khẳng định đúng?
A. Đồ thị hàm số đã cho không có tiệm cận đứng
B. Trục hoành và trục tung là hai tiệm cận của đồ thị hàm số đã cho
C. Đồ thị hàm số đã cho có một tiệm cận đứng là đường thẳng y= 0
D. Hàm số đã cho có tập xác định là
.
Lời giải:
Đáp án: B
Theo định nghĩa về tiệm cận, ta có:
+
nên đường thẳng y= 0 là tiệm cận ngang.
+ Và
nên đường thẳng x= 0 là thẳng x= 0 là tiệm cận đứng.
Bài 4. Cho hàm số y= f(x) có
và
. Khẳng định nào sau đây là khẳng định đúng?
A. Đồ thị hàm số không có tiệm cận ngang.
B. Đồ thị hàm số có hai tiệm cận ngang.
C. Đồ thị hàm số có tiệm cận ngang y= -1 và tiệm cận đứng x = 10 .
D. Đồ thị hàm số hai tiệm cận ngang là các đường y = -1 và y = 10.
Lời giải:
Đáp án: C
Theo định nghĩa về tiệm cận, ta có
+
nên đường thẳng y= -1 là tiệm cận ngang của đồ thị hàm số.
+ Lại có:
nên đường thẳng x= 10 là tiệm cận đứng.
Bài 5. Cho hàm số y= f(x) có
và
Khẳng định nào sau đây là đúng?
A. Đồ thị hàm số có một tiệm cận ngang là y=1 và đường thẳng x= 2 không phải là tiệm cận đứng.
B. Đồ thị hàm số có tiệm cận ngang y= 1 và tiệm cận đứng x= 2.
C. Đồ thị hàm số có tiệm cận ngang y= 1 và tiệm cận đứng x= 10.
D. Đồ thị hàm số không có tiệm cận ngang nhưng có một tiệm cận đứng x=2.
Lời giải:
Đáp án: A
Theo định nghĩa về tiệm cận, ta có:
+
nên y= 1 là tiệm cận ngang.
+ Lại có:
nên x= 2 không phải là tiệm cận đứng.
Bài 6. Cho hàm số y= f(x) có tập xác định là D=(- 3;3)\{-1; 1}, liên tục trên các khoảng của tập D và có:
Khẳng định nào sau đây là khẳng định đúng?
A. Đồ thị hàm số có đúng hai TCĐ là các đường thẳng x = -3 và x = 3.
B. Đồ thị hàm số có đúng hai TCĐ là các đường thẳng x = - 1 và x = 1.
C. Đồ thị hàm số có đúng bốn TCĐ là các đường thẳng x = ±1 và x = ±3 .
D. Đồ thị hàm số có sáu TCĐ.
Lời giải:
Đáp án: C
Dựa vào định nghĩ đường tiệm cận ta có các đường thẳng x = ±1 và x = ±3 là các tiệm cận đứng của đồ thị .
Bài 7. Chọn khẳng định đúng trong các khẳng định sau:
A. Đồ thị hàm số y= f(x) có tiệm cận ngang y= 1 khi và chỉ khi
và
B. Nếu hàm số y= f(x) không xác định tại x0 thì đồ thị hàm số y= f(x) có tiệm cận đứng x= x0.
C. Đồ thị hàm số y=f(x) có tiệm cận đứng x= 2 khi và chỉ khi
và
D. Đồ thị hàm số y= f(x) bất kì có nhiều nhất hai đường tiệm cận ngang.
Lời giải:
Đáp án: D
* A sai vì chỉ cần một trong hai giới hạn
hoặc
tồn tại thì đã suy ra được tiệm cận ngang là y= 1.
* B sai, ví dụ hàm số
không xác định tại x= - 2 nhưng
và
không tiến đến vô cùng nên x= -2 không phải là tiệm cận đứng của đồ thị hàm số.
* C sai vì chỉ cần tồn tại một trong bốn giới hạn sau:
* D đúng vì chỉ có hai giới hạn
Bài 8. Cho hàm số y= f(x) xác định và liên tục trên R\ {-1}, có bảng biến thiên như sau:
Khẳng định nào sau đây là khẳng định đúng ?
A. Đồ thị hàm số có tiệm cận đứng y= -1 và tiệm cận ngang x= - 2.
B. Đồ thị hàm số có duy nhất một tiệm cận.
C. Đồ thị hàm số có ba tiệm cận.
D. Đồ thị hàm số có tiệm cận đứng x= -1 và tiệm cận ngang y=-2.
Lời giải:
Đáp án: D
Từ bảng biến thiên, ta có :
*
nên x= -1 là TCĐ.
*
nên y= -2 là TCN.
Bài 9. Cho hàm số y= f(x) xác định trên R\{0}, liên tục trên mỗi khoảng xác định và có bảng biến thiên như sau:
Mệnh đề nào sau đây là đúng?
A. Đồ thị hàm số có một đường tiệm cận đứng.
B. Hàm số đạt cực tiểu tại x = 0.
C. Giá trị lớn nhất của hàm số là 2.
D. Hàm số không có cực trị.
Lời giải:
Đáp án: A
Dựa vào bảng biến thiên, ta có nhận xét như sau:
* A đúng vì
nên x= 0là tiệm cận đứng của đồ thị hàm số.
* B sai vì tại x= 0 hàm số không xác định.
* C sai vì hàm số đạt giá trị lớn nhất bằng 1 trên khoảng
mà không đạt giá trị lớn nhất trên khoảng
* D sai vì đạo hàm y’ đổi dấu từ “+” sang “-“ khi đi qua điểm x= 1 nên x= 1 là điểm cực đại của hàm số.
Bài 10. Cho hàm số y = f(x) có bảng biến thiên như sau
Hỏi đồ thị hàm số đã cho có tất cả bao nhiêu đường tiệm cận?
A. 1 B. 2 C. 3 D. 4
Lời giải:
Đáp án: C
Từ bảng biến thiên, ta có:
Vậy đồ thị hàm số đã cho có đúng ba đường tiệm cận.
Bài 11. Cho hàm số y = f(x) có bảng biến thiên như sau:
Hỏi đồ thị hàm số đã cho có tất cả bao nhiêu đường tiệm cận?
A. 1 B. 2 C. 3 D. 4
Lời giải:
Đáp án: B
Từ bảng biến thiên, ta có:
*
nên đồ thị hàm số không có tiệm cận ngang;
*
nên x= -2 là TCĐ;
*
nên x=1 là TCĐ.
Vậy đồ thị hàm số đã cho có đúng hai đường tiệm cận.
Bài 12. Tìm tọa độ giao điểm của đường tiệm cận đứng và tiệm cận ngang của đồ thị hàm số
A. ( -2; 2) B. (2; 1) C.(-2; -2) D. (- 2; 1)
Lời giải:
Đáp án: D
TXĐ: D= R\{- 2}
Dễ thấy đồ thị hàm số có tiệm cận đứng là x= -2.
Lại có:
nên đồ thị hàm số có tiệm ngang y =1.
Suy ra giao điểm của hai đường tiệm cận là ( -2; 1) .
Bài 13. Tìm số tiệm cận đứng của đồ thị hàm số
.
A. 2. B. 3. C. 0. D. 1.
Lời giải:
Đáp án: D
Suy ra; x= 4 không là tiệm cận đứng.
Vậy đồ thị hàm số có duy nhất một tiệm cận đứng.
Bài 14. Đồ thị hàm số
có tất cả bao nhiêu đường tiệm cận?
A. 1. B. 2. C. 3. D. 4.
Lời giải:
Đáp án: C
Vậy đồ thị hàm số có đúng ba tiệm cận.
Bài 15. Đồ thị hàm số nào trong các hàm số dưới đây có tiệm cận đứng?
Lời giải:
Đáp án: A
* Nhận thấy các đáp án B, C, D hàm số có TXĐ: D= R nên không có tiệm cận đứng.
* Dùng phương pháp loại trừ thì A đúng.
(Thật vậy; hàm số
có
nên x=0 là tiệm cận đứng)
Bài 16. Đồ thị hàm số
có tất cả bao nhiêu đường tiệm cận?
A. 1. B. 2. C. 3. D. 4.
Lời giải:
Đáp án: C
Ta có:
*
nên x= 1 là tiệm cận đứng.
*
nên y= 2 là tiệm cận ngang.
*
nên y= 1 là tiệm cận ngang.
Vậy đồ thị hàm số có đúng ba tiệm cận.
Bài 17. Tìm tất cả các đường tiệm cận của đồ thị hàm số
A. Đồ thị hàm số f(x) có đúng một tiệm cận ngang là đường thẳng y=3 và không có tiệm cận đứng.
B. Đồ thị hàm số f(x) không có tiệm cận ngang và có đúng một tiệm cận đứng là đường thẳng x= -1.
C. Đồ thị hàm số f(x) có tất cả hai tiệm cận ngang là các đường thẳng y= -3; y=3 và không có tiệm cận đứng.
D. Đồ thị hàm số f(x) không có tiệm cận ngang và có đúng hai tiệm cận đứng là các đường thẳng x= 1; x= -1.
Lời giải:
Đáp án: C
* TXĐ: D= R nên đồ thị không có tiệm cận đứng.
*Ta có
nên y= -3 là tiệm cận ngang.
nên y= 3 là tiệm cận ngang.
Bài 18. Đồ thị hàm số
có tất cả bao nhiêu đường tiệm cận
A. 1. B. 2. C. 4. D. 3.
Lời giải:
Đáp án: D
Ta có
nên y= 1 là tiệm cận ngang.
Vậy đồ thị hàm số đã cho có ba đường tiệm cận.
Bài 19. Đồ thị hàm số nào sau đây có đúng hai tiệm cận ngang?
Lời giải:
Đáp án: B
* C và D có thể loại trừ vì TXĐ không chứa
Bài 20. Cho hàm số
. Mệnh đề nào sau đây là đúng?
A. Đồ thị hàm số có đúng một tiệm cận đứng, không có tiệm cận ngang.
B. Đồ thị hàm số có đúng hai tiệm cận đứng, không có tiệm cận ngang.
C. Đồ thị hàm số có đúng hai tiệm cận ngang, không có tiệm cận đứng.
D. Đồ thị hàm số có đúng một tiệm cận đứng và một tiệm cận ngang.
Lời giải:
Đáp án: C
* Do TXĐ: D= R nên đồ thị hàm số không có tiệm cận đứng.
* Ta có:
Vậy đồ thị hàm số không có tiệm cận đứng và có đúng hai tiệm cận ngang.
Bài 21. Đồ thị hàm số
có tất cả bao nhiêu đường tiệm cận?
A. 1 B. 2 C . 3 D. 4
Lời giải:
Đáp án: B
* Ta có
nên TXĐ của hàm số là D= R. Do đó đồ thị hàm số không có tiệm cận đứng.
Vậy đồ thị hàm số có đúng hai đường tiệm cận.
Bài 22. Đồ thị hàm số
có tất cả bao nhiêu đường tiệm cận?
A. 1 B. 2 C. 3 D. 0
Lời giải:
Đáp án: C
TXĐ:
. Ta có:
Vậy đồ thị hàm số có đúng ba đường tiệm cận.
Bài 23. Đồ thị hàm số
có bao nhiêu đường tiệm cận đứng?
A. 1. B. 2. C. 0. D. 3.
Lời giải:
Đáp án: C
Tập xác định:
Vì
. Do đó đồ thị hàm số không có tiệm cận đứng.
Bài 24. Đồ thị hàm số
có bao nhiêu đường tiệm cận ngang?
A. 1. B. 2. C. 3. D. 4.
Lời giải:
Đáp án: A
Tập xác định:
Vậy đồ thị hàm số có đúng một TCN.
Bài 25. Gọi n; d lần lượt là số đường tiệm cận ngang và số đường tiệm cận đứng của đồ thị hàm số
. Khẳng định nào sau đây là đúng?
A. n = d = 1 B. n = 0; d = 1
C. n = 1; d = 2 D. n = 0; d = 2
Lời giải:
Đáp án: D
* Tập xác định: D= (0; 1) nên không tồn tại
Suy ra đồ thị hàm số không có tiệm cận ngang.
* Xét phương trình
Ta có:
+
nên x= 0 là TCĐ.
+
nên x= 1 là TCĐ.
Vậy n=0; d = 2 .
Bài 26. Đồ thị hàm số
có tất cả bao nhiêu đường tiệm cận?
A. 0 B. 1 C. 2 D. 3
Lời giải:
Đáp án: B
+ Tập xác định D= (-3; 3) nên không tồn tại
Suy ra đồ thị hàm số không có tiệm cận ngang.
Ta có:
*
nên x= - 3 không là TCĐ;
*
nên x= 3 là TCĐ.
Vậy đồ thị hàm số đã cho có đúng một tiệm cận.
Bài 27. Đồ thị hàm số
có tất cả bao nhiêu đường tiệm cận?
A. 0 B. 1 C. 2 D. 3.
Lời giải:
Đáp án: C
* Tập xác định: D = ( -4; 4) nên không tồn tại
Suy ra đồ thị hàm số không có tiệm cận ngang.
Ta có:
*
nên x= - 4 là TCĐ;
*
nên x=4 là TCĐ.
Vậy đồ thị hàm số đã cho có đúng hai tiệm cận.
Bài 28. Đồ thị hàm số
có tất cả bao nhiêu đường tiệm cận?
A. 0 B. 1 C. 2 D. 3.
Lời giải:
Đáp án: B
+ Tập xác định:
nên không tồn tại
Suy ra đồ thị hàm số không có tiệm cận ngang.
* Ta có
nên x= 0 là TCĐ.
Vậy đồ thị hàm số có đúng một tiệm cận.
Bài 29. Đồ thị hàm số
có tất cả bao nhiêu đường tiệm cận?
A. 3. B. 1. C. 2. D. 4.
Lời giải:
Đáp án: B
* Tập xác định
nên không tồn tại
Suy ra đồ thị hàm số không có tiệm cận ngang.
* Ta có
nên x= 1 là TCĐ.
Vậy đồ thị hàm số có đúng một tiệm cận.
Bài 30. Đồ thị hàm số
có tất cả bao nhiêu đường tiệm cận?
A. 0. B. 1. C. 2. D. 3.
Lời giải:
Đáp án: A
* Tập xác định
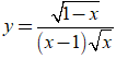
nên không tồn tại
Suy ra đồ thị hàm số không có tiệm cận ngang.
* Ta có
nên đồ thị hàm số không có tiệm cận đứng.
Vậy đồ thị hàm số không có tiệm cận.
(199k) Xem Khóa học Toán 12 KNTTXem Khóa học Toán 12 CDXem Khóa học Toán 12 CTST
Xem thêm các dạng bài tập Toán lớp 12 ôn thi Tốt nghiệp có lời giải hay khác:
- 120 Bài tập Sự tương giao của đồ thị hàm số có lời giải (nâng cao)
- 100 Bài tập Tiệm cận của đồ thị hàm số có lời giải (nâng cao)
- 100 Bài tập Tiệm cận của đồ thị hàm số có lời giải (Nhận biết)
- 100 Bài tập Tính đơn điệu của hàm số có lời giải (nâng cao)
- 120 Bài tập Tính đơn điệu của hàm số có lời giải (Nhận biết)
Đã có app VietJack trên điện thoại, giải bài tập SGK, SBT Soạn văn, Văn mẫu, Thi online, Bài giảng....miễn phí. Tải ngay ứng dụng trên Android và iOS.
Theo dõi chúng tôi miễn phí trên mạng xã hội facebook và youtube:Nếu thấy hay, hãy động viên và chia sẻ nhé! Các bình luận không phù hợp với nội quy bình luận trang web sẽ bị cấm bình luận vĩnh viễn.
- Giải Tiếng Anh 12 Global Success
- Giải sgk Tiếng Anh 12 Smart World
- Giải sgk Tiếng Anh 12 Friends Global
- Lớp 12 Kết nối tri thức
- Soạn văn 12 (hay nhất) - KNTT
- Soạn văn 12 (ngắn nhất) - KNTT
- Giải sgk Toán 12 - KNTT
- Giải sgk Vật Lí 12 - KNTT
- Giải sgk Hóa học 12 - KNTT
- Giải sgk Sinh học 12 - KNTT
- Giải sgk Lịch Sử 12 - KNTT
- Giải sgk Địa Lí 12 - KNTT
- Giải sgk Giáo dục KTPL 12 - KNTT
- Giải sgk Tin học 12 - KNTT
- Giải sgk Công nghệ 12 - KNTT
- Giải sgk Hoạt động trải nghiệm 12 - KNTT
- Giải sgk Giáo dục quốc phòng 12 - KNTT
- Giải sgk Âm nhạc 12 - KNTT
- Giải sgk Mĩ thuật 12 - KNTT
- Lớp 12 Chân trời sáng tạo
- Soạn văn 12 (hay nhất) - CTST
- Soạn văn 12 (ngắn nhất) - CTST
- Giải sgk Toán 12 - CTST
- Giải sgk Vật Lí 12 - CTST
- Giải sgk Hóa học 12 - CTST
- Giải sgk Sinh học 12 - CTST
- Giải sgk Lịch Sử 12 - CTST
- Giải sgk Địa Lí 12 - CTST
- Giải sgk Giáo dục KTPL 12 - CTST
- Giải sgk Tin học 12 - CTST
- Giải sgk Hoạt động trải nghiệm 12 - CTST
- Giải sgk Âm nhạc 12 - CTST
- Lớp 12 Cánh diều
- Soạn văn 12 Cánh diều (hay nhất)
- Soạn văn 12 Cánh diều (ngắn nhất)
- Giải sgk Toán 12 Cánh diều
- Giải sgk Vật Lí 12 - Cánh diều
- Giải sgk Hóa học 12 - Cánh diều
- Giải sgk Sinh học 12 - Cánh diều
- Giải sgk Lịch Sử 12 - Cánh diều
- Giải sgk Địa Lí 12 - Cánh diều
- Giải sgk Giáo dục KTPL 12 - Cánh diều
- Giải sgk Tin học 12 - Cánh diều
- Giải sgk Công nghệ 12 - Cánh diều
- Giải sgk Hoạt động trải nghiệm 12 - Cánh diều
- Giải sgk Giáo dục quốc phòng 12 - Cánh diều
- Giải sgk Âm nhạc 12 - Cánh diều


Giải bài tập SGK & SBT
Tài liệu giáo viên
Sách
Khóa học
Thi online
Hỏi đáp

