100 Bài tập Tính đơn điệu của hàm số có lời giải (nâng cao)
Với 100 Bài tập Tính đơn điệu của hàm số nâng cao có lời giải chi tiết sẽ giúp học sinh ôn tập, biết cách làm bài tập tính đơn điệu của hàm số.
100 Bài tập Tính đơn điệu của hàm số có lời giải (nâng cao)
(199k) Xem Khóa học Toán 12 KNTTXem Khóa học Toán 12 CDXem Khóa học Toán 12 CTST
Bài giảng: Cách xét tính đơn điệu của hàm số - Cô Nguyễn Phương Anh (Giáo viên VietJack)
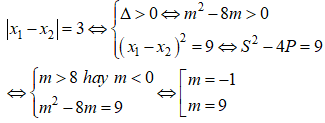
Bài 1. Tìm tất cả các giá trị thực của tham số m sao cho hàm số
nghịch biến trên một đoạn có độ dài là 3?
A. m= -1; m= 9. B. m= -1
C. m = 3. D. Đáp án khác
Lời giải:
Đáp án: A
+ Đạo hàm y’ = x2- mx+ 2m
Hàm số nghịch biến trên một đoạn có độ dài là 3 khi và chi khi phương trình y’ =0 có 2 nghiệm x1; x2 (chú ý hệ số a= 1 > 0) thỏa mãn:
Bài 2. Tìm tất cả các giá trị thực của tham số m sao cho hàm số
đồng biến trên khoảng
?
A. 1≤ m < 2. B. m≤ 0 .
C. m > 2 D. Cả A và B đúng
Lời giải:
Đáp án: D
+) Điều kiện tan x ≠ m
Điều kiện cần để hàm số đồng biến trên
+) đạo hàm :
+) Ta thấy:
Bài 3. Bất phương trình
có tập nghiệm là [a; b]. Hỏi tổng a2+ b2 có giá trị là bao nhiêu?
A. 4 B. 7 C. 10 D. 17
Lời giải:
Đáp án: D
Điều kiện: -2 ≤ x≤ 4.
Do đó hàm số đồng biến trên [-2; 4]
Bất phương trình đã cho trở thanh f(x)≥ f(1) =2√3
Kết hợp với điều kiện hàm số đồng biến suy ra x≥1.
So với điều kiện, tập nghiệm của bpt là [1; 4].
Do đó; a2+ b2= 17.
Bài 4. Bất phương trình
có tập nghiệm là (a; b]. Hỏi 4a-b có giá trị là bao nhiêu?
A. 1. B. 3. C. 5. D.7
Lời giải:
Đáp án: C
Điều kiện: 1≤ x≤ 3
Với điều kiện trên bpt
Khi đó(1) tương đương f(x-1) > f(3-x) hay x-1 > 3-x
Suy ra x > 2
So với điều kiện, bpt có tập nghiệm là (2; 3] và 4a- b= 5
Bài 5. Tìm tất cả các giá trị thực của tham số m sao cho bất phương trình:
nghiệm đúng mọi x≥ 1 ?
Lời giải:
Đáp án: B
Bất phương trình
Suy ra f(x) là hàm số đồng biến trên khoảng
Bất phương trình đã cho đúng với mọi x≥ 1 khi và chỉ khi f(x) > 3.
Hay min f(x) = f(1) =2 > 3m suy ra m < 2/3.
Bài 6. Tìm khoảng đồng biến của hàm số:
Lời giải:
Đáp án: C
Hàm số đã cho xác định trên D= R.
Bảng biến thiên
Dựa vào bảng biến thiên, hàm số đã cho đồng biến trên
Bài 7. Xét các mệnh đề sau:
(I). Hàm số y= - (x- 1)3 nghịch biến trên R.
(II). Hàm số y= ln (x-1) -
đồng biến trên tập xác định của nó.
(III). Hàm số
đồng biến trên R.
Hỏi có bao nhiêu mệnh đề đúng?
A. 3. B. 2. C. 1. D. 0.
Lời giải:
Đáp án: A
(I) đạo hàm y’= [- (x-1)3]’ = - 3(x-1)2 ≤ 0; ∀ x ∈ R
Do đó; hàm số này nghịch biến trên R.
(II) điều kiện : x > 1. Ta có đạo hàm:
Do đó; hàm số này đồng biến trên R.
Bài 8. Cho hàm số
. Chọn câu trả lời đúng.
A. Hàm số luôn giảm trên
với m < 1.
B. Hàm số luôn giảm trên tập xác định.
C. Hàm số luôn tăng trên
với m > 1.
D. Hàm số luôn tăng trên
Lời giải:
Đáp án: C
Tập xác định :D= R\ {1}
* Xét f’(x)= 0 khi x2 – 2x+ m= 0.
* Xét g(x)= x2 – 2x+ m có ∆ = 1- m.
Vậy hàm số luôn tăng trên
với m > 1.
Bài 9. Cho hàm số f(x) xác định trên R và có đồ thị hàm số y= f’(x) là đường cong trong hình bên. Mệnh đề nào dưới đây đúng ?
A. Hàm số f(x) đồng biến trên khoảng (1; 2).
B. Hàm số f(x) nghịch biến trên khoảng (0;2).
C. Hàm số f(x) đồng biến trên khoảng (-2;1).
D. Hàm số f(x) nghịch biến trên khoảng (-1; 1) .
Lời giải:
Đáp án: B
* Dựa vào đồ thị hàm số y= f’(x) ta có:
f’(x) > 0 khi
và f’(x) < 0 khi
* Khi đó, hàm số y= f(x) đồng biến trên các khoảng (-2; 0) và (2; +∞)
* Hàm số y= f(x) nghịch biến trên các khoảng (-∞; -2) và (0;2)
Bài 10. Cho hàm số y= f(x) xác định và liên tục trên đoạn [-3; 3] và có đồ thị là đường cong ở hình vẽ bên. Mệnh đề nào dưới đây đúng trên đoạn [-3; 3].
A. Hàm số y= f(x) đạt giá trị lớn nhất tại x= 2.
B. Hàm số y= f(x) đạt cực đại tại x= 4.
C. Hàm số y= f(x) đồng biến trên khoảng (-1; 3) .
D. Hàm số y= f(x) nghịch biến trên khoảng (2;3).
Lời giải:
Đáp án: D
* Đáp án A sai, vì: Hàm số y = f(x) đạt giá trị lớn nhất tại x= - 3.
* Đáp án B sai, vì: Hàm số y = f(x) đạt cực đại tại x = 2.
* Đáp án C sai, vì: Hàm số y = f(x) đồng biến trên khoảng (-1; 2).
→ Đáp án D đúng, vì: Hàm số y = f(x) đồng biến trên khoảng (-1; 3).
Bài 11. Tìm các khoảng đồng biến của hàm số:
Lời giải:
Đáp án: A
Tập xác định : D= R.
Hàm số không có đạo hàm tại x= -1 và x= 3.
Ta lại có: Trên khoảng (-1; 3) : y’= 0 khi x= 1.
Trên khoảng
: y’ < 0 . Trên khoảng
: y’ > 0.
Bảng biến thiên:
Dựa vào bảng biến thiên, hàm số đồng biến trong các khoảng (-1; 1) và
Bài 12. Hàm số y= x3 + 3x2 + mx+ m đồng biến trên tập xác định khi giá trị của m là :
Lời giải:
Đáp án: B
* Tập xác định D= R.
* Tính đạo hàm y’= 3x2 + 6x+ m
* Để hàm số đồng biến trên R khi và chỉ khi y' ≥ 0 , ∀x
Hay 3x2 + 6x+ m với mọi x (*)
Bài 13. Tìm tất cả các giá trị thực của tham số m sao cho hàm số
đồng biến trên khoảng
Lời giải:
Đáp án: A
Khi đó hàm số trở thành:
suy ra đạo hàm:
Để hàm số đã cho đồng biến trên khoảng
khi và chỉ khi hàm số
đồng biến trên khoảng (0; 1). Do đó đạo hàm
Bài 14. Với giá trị nào của tham số m thì hàm số y= sinx- cosx + 2017√2 mx đồng biến trên R?
Lời giải:
Đáp án: C
* Tính đạo hàm: y’= cosx+ sinx + 2017√2m
* Để hàm số đã cho đồng biến trên R khi và chỉ khi y' ≥ 0, ∀ x
* Theo bất đẳng thức Bunhiacopxki thì
(- sinx – cosx)2 ≤ [ (-1)2 +(-1)2].(sin2x+ cos2x)= 2
Do đó; để (*) luôn đúng với mọi x khi và chỉ khi
Bài 15. Tìm m để hàm số y= x3 + 3x2 + mx+ m nghịch biến trên đoạn có độ dài đúng bằng 2.
A. m = 0 B. m < 3 C. m = 2 D. m > 3
Lời giải:
Đáp án: A
* Đạo hàm: y’= 3x2 + 6x+ m. Xét phương trình y’= 0 hay 3x2 + 6x+ m=0 (*)
Để hàm số nghịch biến trên đoạn có độ dài bằng 2 thì phương trình (*) có 2 nghiệm x1; x2 và |x1 – x2|= 2
* Theo hệ thức Vi-et ta có
* Giải |x1 - x2| = 2 ⇔ (x1 – x2)2 = 4
⇔ (x1 + x2)2 – 4x1x2 = 4 ⇔ 4 -
= 4 nên m = 0
Bài 16. Tìm tất cả các giá trị thực m để f(x)= - x3 +3x2+ (m-1)x+ 2m- 3 đồng biến trên một khoảng có độ dài lớn hơn 1.
Lời giải:
Đáp án: D
Ta có đạo hàm y’= - 3x2 + 6x + m - 1.
Hàm số đồng biến trên một khoảng có độ dài lớn hơn 1 khi và chỉ khi phương trình y’=0 có hai nghiệm phân biệt x1 < x2 thỏa mãn |x2- x1| > 1.
+ Phương trình y’= 0 có hai nghiệm phân biệt x1; x2 khi và chỉ khi
Δ' > 0 ⇔ 3m + 6 > 0 ⇔ m > - 2.
Theo Viet ta có:
+ Để | x2 - x1| > 1 (x2 –x1)2 > 1 (x1 + x2)2 – 4x1.x2 > 1
⇔ 4m + 5 > 0 hay
Kết hợp với điều kiện ta được:
Bài 17. Tìm tất cả các giá trị thực của tham số m sao cho hàm số y= 2x3 – 3(2m+1)x2 +6m(m+1)x+ 1 đồng biến trên khoảng
?
Lời giải:
Đáp án: B
Tập xác định D= R.
Ta có đạo hàm y’= 6x2 – 6(2m+1)x+ 6m(m+1)
+ Trường hợp 1: Hàm số luôn đồng biến trên R
+ Trường hợp 2: Phương trình y’=0 có hai nghiệm phân biệt thỏa mãn : x1 < x2 ≤ 2
Vậy các gía trị của m thỏa mãn đầu bài là m ≤ 1.
Bài 18. Tìm các giá trị của tham số m để hàm số y=
x3 + (m-1).x2 + (m+ 3).x- 10
đồng biến trong khoảng (0 ; 3) ?
Lời giải:
Đáp án: A
Tập xác định : D= R.
Đạo hàm : y’= - x2 + 2(m-1)x + m+ 3= g(x)
Do hàm số đã cho là hàm bậc ba với hệ số a < 0 nên hàm số đồng biến trên (0; 3) khi phương trình y’= 0 có hai nghiệm x1; x2 thỏa
Bài 19. Tìm m để hàm số y= 2x3 + 3(m-1).x2 + 6(m-2)x+ 3 nghịch biến trên một khoảng có độ dài lớn hơn 3.
A. m > 6 B.0 < m < 6.
C. m < 0 D. m < 0 hoặc m > 6
Lời giải:
Đáp án: D
Tập xác định D= R.
Ta có đạo hàm y’= 6x2 + 6(m-1)x+ 6(m – 2)
Xét phương trình y’=0 hay 6x2 + 6(m- 1) x+ 6(m- 2)=0
Hàm số nghịch biến trên một khoảng có độ dài lớn hơn 3 khi phương trình y’= 0 có hai nghiệm phân biệt x1 ; x2 sao cho |x1- x2| > 3 (1)
Bài 20. Tìm tất cả các giá trị của tham số m để hàm số y=
x3+ (m-1)x2+ (2m- 3)x -10
đồng biến trên (1; +∞)
Lời giải:
Đáp án: D
+ Tính đạo hàm y’ = x2+ 2(m-1)x + 2m – 3 = (x+ 1) .(x+ 2m – 3)
+ Để hàm số đã cho đồng biến trên
với mọi x > 1.
Bài 21. Tập hợp các giá trị m để hàm số y= mx3 – x2 +3x + m- 10 đồng biến trên (-3; 0)?
Lời giải:
Đáp án: A
Tập xác định D= R.
Ta có y’= 3mx2 – 2x + 3. Hàm số đồng biến trên khoảng (-3; 0) khi và chỉ khi:
(Dấu "=" xảy ra tại hữu hạn điểm trên (-3; 0)
Bảng biến thiên
Dựa vào bảng biến thiên; ta có các giá trị của m thỏa mãn là
Bài 22. Cho hàm số y =
x3 + mx2 + (3m+2)x+ 1019. Tìm tất cả giá trị của m để hàm số nghịch biến trên R.
Lời giải:
Đáp án: C
Tập xác định D= R.
Đạo hàm: y’= - x2 + 2mx + 3m+ 2 .
Hàm số nghịch biến trên R khi và chỉ khi
Bài 23. Tập hợp giá trị của m để hàm số y=mx3 + mx2 + (m+ 1)x – m2 + m nghịch biến trên R là
Lời giải:
Đáp án: A
Hàm số có đạo hàm y’= 3mx2 + 2mx+ m+ 1.
* Trường hợp 1. Nếu m = 0 thì y’= 1 > 0. Khi đó ; hàm số đồng biến trên R.
Suy ra loại m = 0.
* Trường hợp 2. Nếu m ≠ 0. Để hàm số đã cho nghịch biến trên R khi và chỉ khi:
Vậy tập hợp các giá trị m thỏa mãn là
Bài 24. Điều kiện cần và đủ để hàm số y= -x3+ (m+1)x2 +2x + m- 2 đồng biến trên đoạn [0; 2] là
Lời giải:
Đáp án: B
Tập xác định D= R.
Đạo hàm: y’ = - 3x2 + 2(m+ 1)x+2
Xét phương trình y’ = 0 hay – 3x2 + 2(m+1).x+ 2=0 có = (m+ 1)2 + 6 >0 với mọi m.
Suy ra phương trình y’ = 0 luôn có hai nghiệm phân biệt x1 < x2.
Để hàm số đồng biến trên đoạn [0;2] khi và chỉ khi y’=0 có hai nghiệm thỏa mãn:
Bài 25. Cho hàm số y = x3 – 3(m2 +3m+3)x2 + 3(m2 +1)2x +2m – 10. Gọi S là tập các giá trị của tham số m sao cho hàm số đồng biến trên
. S là tập hợp con của tập hợp nào sau đây?
Lời giải:
Đáp án: A
Ta có : y’= 3x2 – 6(m2+ 3m+3)x + 3(m2+1)2
Khi đó : 9(m2 +3m+3)2 – 9(m2 +1)2 = 9(3m+ 2).(2m2 + 3m+ 4)
* Trường hợp 1 : Nếu
Khi đó ta có a = 3 > 0 nên y' ≥ 0 với mọi x. Do đó hàm số đã cho đồng biến trên
* Trường hợp 2: Nếu
Khi đó y’=0 có hai nghiệm phân biệt x1 và x2.
Ta có y’ > 0 khi
và y’ < 0 khi x ∈ (x1 ; x2). Do đó để hàm số đã cho đồng biến trên
Vậy hàm số đã cho đồng biến trên
Bài 26. Tìm tập hợp các giá trị thực của tham số m sao cho hàm số
nghịch biến trên khoảng
.
Lời giải:
Đáp án: D
Tập xác định D = R\ {m}.
Bài 27. Tìm m để hàm số
nghịch biến trên khoảng
Lời giải:
Đáp án: A
Hàm số nghịch biến trên khoảng
khi và chỉ khi hàm số xác định trên khoảng đó và đạo hàm âm, hay ta có:
Bài 28. Tìm tất cả giá trị của m để hàm số
đồng biến trên từng khoảng xác định.
Lời giải:
Đáp án: C
Tập xác định D= R\ {m}.
Đạo hàm:
Hàm số đồng biến trên từng khoảng xác định khi và chỉ khi y’ > 0 ∀ x ∈ D - m2 – m+2 > 0 hay – 2 < m < 1
Bài 29. Tìm m để hàm số
nghịch biến trên các khoảng xác định của nó.
Lời giải:
Đáp án: A
Tập xác định: D= R\ {3- m}.
Đạo hàm:
Để hàm số đã cho ngịch biến trên từng khoảng xác định khi và chỉ khi:
m2 – 3m+ 2 < 0 hay 1 < m < 2
Bài 30. Tìm tất cả các giá trị của tham số m sao cho hàm số
đồng biến trên (3; +∞)
Lời giải:
Đáp án: A
Tập xác định : D = R\ {m}.
(199k) Xem Khóa học Toán 12 KNTTXem Khóa học Toán 12 CDXem Khóa học Toán 12 CTST
Xem thêm các dạng bài tập Toán lớp 12 ôn thi Tốt nghiệp có lời giải hay khác:
- 120 Bài tập Sự tương giao của đồ thị hàm số có lời giải (nâng cao)
- 100 Bài tập Tiệm cận của đồ thị hàm số có lời giải (nâng cao)
- 100 Bài tập Tiệm cận của đồ thị hàm số có lời giải (Nhận biết)
- 100 Bài tập Tính đơn điệu của hàm số có lời giải (nâng cao)
- 120 Bài tập Tính đơn điệu của hàm số có lời giải (Nhận biết)
Đã có app VietJack trên điện thoại, giải bài tập SGK, SBT Soạn văn, Văn mẫu, Thi online, Bài giảng....miễn phí. Tải ngay ứng dụng trên Android và iOS.
Theo dõi chúng tôi miễn phí trên mạng xã hội facebook và youtube:Nếu thấy hay, hãy động viên và chia sẻ nhé! Các bình luận không phù hợp với nội quy bình luận trang web sẽ bị cấm bình luận vĩnh viễn.
- Giải Tiếng Anh 12 Global Success
- Giải sgk Tiếng Anh 12 Smart World
- Giải sgk Tiếng Anh 12 Friends Global
- Lớp 12 Kết nối tri thức
- Soạn văn 12 (hay nhất) - KNTT
- Soạn văn 12 (ngắn nhất) - KNTT
- Giải sgk Toán 12 - KNTT
- Giải sgk Vật Lí 12 - KNTT
- Giải sgk Hóa học 12 - KNTT
- Giải sgk Sinh học 12 - KNTT
- Giải sgk Lịch Sử 12 - KNTT
- Giải sgk Địa Lí 12 - KNTT
- Giải sgk Giáo dục KTPL 12 - KNTT
- Giải sgk Tin học 12 - KNTT
- Giải sgk Công nghệ 12 - KNTT
- Giải sgk Hoạt động trải nghiệm 12 - KNTT
- Giải sgk Giáo dục quốc phòng 12 - KNTT
- Giải sgk Âm nhạc 12 - KNTT
- Giải sgk Mĩ thuật 12 - KNTT
- Lớp 12 Chân trời sáng tạo
- Soạn văn 12 (hay nhất) - CTST
- Soạn văn 12 (ngắn nhất) - CTST
- Giải sgk Toán 12 - CTST
- Giải sgk Vật Lí 12 - CTST
- Giải sgk Hóa học 12 - CTST
- Giải sgk Sinh học 12 - CTST
- Giải sgk Lịch Sử 12 - CTST
- Giải sgk Địa Lí 12 - CTST
- Giải sgk Giáo dục KTPL 12 - CTST
- Giải sgk Tin học 12 - CTST
- Giải sgk Hoạt động trải nghiệm 12 - CTST
- Giải sgk Âm nhạc 12 - CTST
- Lớp 12 Cánh diều
- Soạn văn 12 Cánh diều (hay nhất)
- Soạn văn 12 Cánh diều (ngắn nhất)
- Giải sgk Toán 12 Cánh diều
- Giải sgk Vật Lí 12 - Cánh diều
- Giải sgk Hóa học 12 - Cánh diều
- Giải sgk Sinh học 12 - Cánh diều
- Giải sgk Lịch Sử 12 - Cánh diều
- Giải sgk Địa Lí 12 - Cánh diều
- Giải sgk Giáo dục KTPL 12 - Cánh diều
- Giải sgk Tin học 12 - Cánh diều
- Giải sgk Công nghệ 12 - Cánh diều
- Giải sgk Hoạt động trải nghiệm 12 - Cánh diều
- Giải sgk Giáo dục quốc phòng 12 - Cánh diều
- Giải sgk Âm nhạc 12 - Cánh diều


Giải bài tập SGK & SBT
Tài liệu giáo viên
Sách
Khóa học
Thi online
Hỏi đáp

