Các dạng bài tập Tiệm cận của đồ thị hàm số chọn lọc, có đáp án
Phần Tiệm cận của đồ thị hàm số Toán lớp 12 với các dạng bài tập chọn lọc giúp ôn thi Tốt nghiệp môn Toán và trên 100 bài tập trắc nghiệm chọn lọc, có đáp án. Vào Xem chi tiết để theo dõi các dạng bài Tiệm cận của đồ thị hàm số hay nhất tương ứng.
Các dạng bài tập Tiệm cận của đồ thị hàm số chọn lọc, có đáp án
(199k) Xem Khóa học Toán 12 KNTTXem Khóa học Toán 12 CDXem Khóa học Toán 12 CTST
Bài giảng: Cách tìm tiệm cận của đồ thị hàm số - Cô Nguyễn Phương Anh (Giáo viên VietJack)
- 100 Bài tập Tiệm cận của đồ thị hàm số có lời giải (nâng cao) Xem chi tiết
- 100 Bài tập Tiệm cận của đồ thị hàm số có lời giải (Nhận biết) Xem chi tiết
- 5 dạng bài Tìm tiệm cận của hàm số ôn thi Tốt nghiệp (có lời giải) Xem chi tiết
- Dạng 1: Xác định tiệm cận Xem chi tiết
- Trắc nghiệm tìm tiệm cận của đồ thị hàm số Xem chi tiết
- Dạng 2: Tìm tham số m để hàm số có tiệm cận Xem chi tiết
- Trắc nghiệm tìm tham số m để hàm số có tiệm cận Xem chi tiết
- Dạng 3: Các bài toán liên quan đến tiệm cận của hàm số Xem chi tiết
- Trắc nghiệm về tiệm cận của hàm số Xem chi tiết
- Cho bảng biến thiên tìm đường tiệm cận đứng, tiệm cận ngang (cực hay, có lời giải) Xem chi tiết
Cách tìm tiệm cận của đồ thị hàm số
A. Phương pháp giải & Ví dụ
1. Đường tiệm cận ngang
Cho hàm số y = f(x) xác định trên một khoảng vô hạn (là khoảng dạng (a; +∞),(-∞; -b) hoặc (-∞; +∞). Đường thẳng y = y0 là đường tiệm cận ngang (hay tiệm cận ngang) của đồ thị hàm số y = f(x) nếu ít nhất một trong các điều kiện sau được thỏa mãn
Nhận xét: Như vậy để tìm tiệm cận ngang của đồ thị hàm số ta chỉ cần tính giới hạn của hàm số đó tại vô cực.
2. Đường tiệm cận đứng
Đường thẳng x = x0 được gọi là đường tiệm cận đứng (hay tiệm cận đứng) của đồ thị hàm số y = f(x) nếu ít nhất một trong các điều kiện sau được thỏa mãn
Ví dụ minh họa
Ví dụ 1: Tìm các đường tiệm cận đứng và tiệm cận ngang của đồ thị hàm số sau
Lời giải:
a. Ta có:
là tiệm cận ngang của đồ thị hàm số.
là tiệm cận đứng của đồ thị hàm số.
b. Ta có:
là tiệm cận ngang của đồ thị hàm số.
⇒ Đồ thị hàm số không có tiệm cận đứng
c. Ta có:
⇒ Đồ thị hàm số không có tiệm cận ngang.
⇒ x = 1/2 là tiệm cận đứng của đồ thị hàm số.
Ví dụ 2: Tìm các đường tiệm cận đứng và tiệm cận ngang của đồ thị hàm số sau
Lời giải:
a. Ta có:
⇒ y = 1; y = -1 là tiệm cận ngang của đồ thị hàm số.
Đồ thị hàm số không có tiệm cận đứng.
b. Ta có:
⇒ y = 4; y = 2 là tiệm cận ngang của đồ thị hàm số.
⇒ x = -1 là tiệm cận đứng của đồ thị hàm số.
Ví dụ 3: Tìm các đường tiệm cận đứng và tiệm cận ngang của đồ thị hàm số sau
a. b.
Lời giải:
a. Đồ thị hàm số không có tiệm cận đứng
⇒ y = 11/2 là tiệm cận ngang của đồ thị hàm số
b. Đồ thị hàm số không có tiệm cận đứng
⇒ y = 1 là tiệm cận ngang của đồ thị hàm số.
Tìm tham số m để hàm số có tiệm cận
A. Phương pháp giải & Ví dụ
Ví dụ minh họa
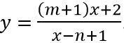
Ví dụ 1.(THPT Chuyên Bảo Lộc – Lâm Đồng 2017). Cho hàm số . Đồ thị hàm số nhận trục hoành và trục tung làm tiệm cận ngang và tiệm cận đứng. Tính giá trị biểu thức P = m + n.
Hướng dẫn
Đồ thị hàm số có tiệm cận ngang y = m + 1 và tiệm cận đứng x = n - 1. Do đó đồ thị hàm số nhận trục tung x = 0 và trục hoành y = 0 làm tiệm cận khi và chỉ khi
Ví dụ 2 (THPT chuyên Thái Nguyên 2017 L2). Tìm m để đồ thị hàm số có hai đường tiệm cận đứng.
Hướng dẫn
Ta có x2 - 3x + 2 = 0 ⇔ x = 1 hoặc x = 2
Để hai đường thẳng x = 1 và x = 2 là đường tiệm cận của đồ thị hàm số thì x = 1 và x = 2 không là nghiệm của tử số mx3 - 2. Tức là:
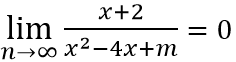
Ví dụ 3: Tìm tất cả các giá trị của tham số m để đồ thị hàm số có tiệm cận ngang mà không có tiệm cận đứng.
Hướng dẫn
Ta có nên y = 0 là tiệm cận ngang của đồ thị hàm số.
Do đó để đồ thị hàm số có tiệm cận ngang mà không có tiệm cận đứng thì
phương trình x2 - 4x + m = 0 vô nghiệm ⇔ Δ' < 0 ⇔ 4 - m < 0 ⇔ m > 4
(199k) Xem Khóa học Toán 12 KNTTXem Khóa học Toán 12 CDXem Khóa học Toán 12 CTST
Xem thêm các dạng bài tập Toán lớp 12 ôn thi Tốt nghiệp có lời giải hay khác:
- Tổng hợp lý thuyết Chương Ứng dụng đạo hàm để khảo sát hàm số
- Chủ đề: Tính đơn điệu của hàm số
- Chủ đề: Cực trị của hàm số
- Chủ đề: Giá trị lớn nhất, giá trị nhỏ nhất của hàm số
- Chủ đề: Tiếp tuyến của đồ thị hàm số
- Chủ đề: Tương giao của đồ thị hàm số
- Chủ đề: Điểm thuộc đồ thị
- Chủ đề: Nhận dạng đồ thị hàm số
Đã có app VietJack trên điện thoại, giải bài tập SGK, SBT Soạn văn, Văn mẫu, Thi online, Bài giảng....miễn phí. Tải ngay ứng dụng trên Android và iOS.
Theo dõi chúng tôi miễn phí trên mạng xã hội facebook và youtube:Nếu thấy hay, hãy động viên và chia sẻ nhé! Các bình luận không phù hợp với nội quy bình luận trang web sẽ bị cấm bình luận vĩnh viễn.
- Giải Tiếng Anh 12 Global Success
- Giải sgk Tiếng Anh 12 Smart World
- Giải sgk Tiếng Anh 12 Friends Global
- Lớp 12 Kết nối tri thức
- Soạn văn 12 (hay nhất) - KNTT
- Soạn văn 12 (ngắn nhất) - KNTT
- Giải sgk Toán 12 - KNTT
- Giải sgk Vật Lí 12 - KNTT
- Giải sgk Hóa học 12 - KNTT
- Giải sgk Sinh học 12 - KNTT
- Giải sgk Lịch Sử 12 - KNTT
- Giải sgk Địa Lí 12 - KNTT
- Giải sgk Giáo dục KTPL 12 - KNTT
- Giải sgk Tin học 12 - KNTT
- Giải sgk Công nghệ 12 - KNTT
- Giải sgk Hoạt động trải nghiệm 12 - KNTT
- Giải sgk Giáo dục quốc phòng 12 - KNTT
- Giải sgk Âm nhạc 12 - KNTT
- Giải sgk Mĩ thuật 12 - KNTT
- Lớp 12 Chân trời sáng tạo
- Soạn văn 12 (hay nhất) - CTST
- Soạn văn 12 (ngắn nhất) - CTST
- Giải sgk Toán 12 - CTST
- Giải sgk Vật Lí 12 - CTST
- Giải sgk Hóa học 12 - CTST
- Giải sgk Sinh học 12 - CTST
- Giải sgk Lịch Sử 12 - CTST
- Giải sgk Địa Lí 12 - CTST
- Giải sgk Giáo dục KTPL 12 - CTST
- Giải sgk Tin học 12 - CTST
- Giải sgk Hoạt động trải nghiệm 12 - CTST
- Giải sgk Âm nhạc 12 - CTST
- Lớp 12 Cánh diều
- Soạn văn 12 Cánh diều (hay nhất)
- Soạn văn 12 Cánh diều (ngắn nhất)
- Giải sgk Toán 12 Cánh diều
- Giải sgk Vật Lí 12 - Cánh diều
- Giải sgk Hóa học 12 - Cánh diều
- Giải sgk Sinh học 12 - Cánh diều
- Giải sgk Lịch Sử 12 - Cánh diều
- Giải sgk Địa Lí 12 - Cánh diều
- Giải sgk Giáo dục KTPL 12 - Cánh diều
- Giải sgk Tin học 12 - Cánh diều
- Giải sgk Công nghệ 12 - Cánh diều
- Giải sgk Hoạt động trải nghiệm 12 - Cánh diều
- Giải sgk Giáo dục quốc phòng 12 - Cánh diều
- Giải sgk Âm nhạc 12 - Cánh diều


Giải bài tập SGK & SBT
Tài liệu giáo viên
Sách
Khóa học
Thi online
Hỏi đáp

