(5 dạng) Bài tập Tìm tiệm cận của hàm số ôn thi Tốt nghiệp (có lời giải)
Bài viết Tìm tiệm cận của hàm số ôn thi Tốt nghiệp môn Toán với phương pháp giải chi tiết giúp học sinh ôn tập, biết cách làm bài tập Tìm tiệm cận của hàm số.
(5 dạng) Bài tập Tìm tiệm cận của hàm số ôn thi Tốt nghiệp (có lời giải)
(199k) Xem Khóa học Toán 12 KNTTXem Khóa học Toán 12 CDXem Khóa học Toán 12 CTST
Bài giảng: Cách tìm tiệm cận của đồ thị hàm số - Cô Nguyễn Phương Anh (Giáo viên VietJack)
Dạng 1: Xác định tiệm cận của đồ thị hàm số.
I. Phương pháp giải
1. Đường tiệm cận ngang
* Cho hàm số y = f(x) xác định trên một khoảng K. Đường thẳng y = y0 là đường tiệm cận ngang (hay tiệm cận ngang) của đồ thị hàm số y = f(x) nếu ít nhất một trong các điều kiện sau được thỏa mãn:
* Nhận xét: Để tìm tiệm cận ngang của đồ thị hàm số ta chỉ cần tìm giới hạn của hàm số tại vô cực.
2. Đường tiệm cận đứng
* Đường thẳng x = x0 được gọi là đường tiệm cận đứng (hay tiệm cận đứng) của đồ thị hàm số y= f(x) nếu ít nhất một trong các điều kiện sau thỏa mãn:
3. Đường tiệm cận xiên
Cho đồ thị hàm số:
Đường thẳng (d): y = a1x + b1 được gọi là đường tiệm cận xiên của đồ thị hàm số nếu:
II. Ví dụ minh họa
Ví dụ 1: Đồ thị hàm số sau có các đường tiệm cận đứng và tiệm cận ngang lần lượt là:
A. x = -2 và y = -3. B. x = -2 và y = 1.
C. x = -2 và y = 3. D. x = 2 và y = 1.
Lời giải:
* Ta có:
nên đồ thị hàm số có tiệm cận đứng là x = -2
* Ta có:
nên đồ thị hàm số có tiệm cận ngang là y = - 3.
Suy ra chọn đáp án A
Ví dụ 2: Đồ thị hàm số sau có các đường tiệm cận đứng và tiệm cận ngang lần lượt là:
A. x = 1; x = 2 và y = 0 B. x = 1; x = 2 và y = 2.
C. x = 1 và y = 0. D. x = 1; x = 2 và y = -3.
Lời giải:
* Ta có:
⇒ đồ thị hàm số có tiệm cận đứng là x = 1 .
* Tính tương tự ta có đồ thị hàm số có tiệm cận đứng là x = 2.
* Ta có:
nên đồ thị hàm số có tiệm cận ngang là y = 0
Vậy đồ thị hàm số có hai tiệm cận đứng là x = 1, x = 2 và tiệm cận ngang là y = 0
Suy ra chọn đáp án A
Ví dụ 3: Đồ thị hàm số sau có các đường tiệm cận đứng và tiệm cận ngang lần lượt là:
A. x = 3 và y = -3. B. x = 3 và y = 0.
C. x = 3 và y = 1. D. y = 3 và x = -3.
Lời giải:
* Ta có:
⇒ đồ thị hàm số có tiệm cận đứng là x = 3.
* Ta có
nên đồ thị hàm số có tiệm cận ngang là y = -3.
Suy ra chọn đáp án A
Ví dụ 4: Tìm tất cả các đường tiệm cận của đồ thị hàm số sau:
A. y = 1 hoặc y = -1. B. x = 1.
C. y = 1. D. y = -1.
Lời giải:
* Vì tập xác định của hàm số là R nên đồ thị hàm số không có tiệm cận đứng.
* Lại có:
Vậy đồ thị hàm số có hai đường tiệm cận ngang là: y = 1 hoặc y = -1.
Suy ra chọn đáp án A
Ví dụ 5: Số tiệm cận của hàm số sau:
A. 3. B. 2.
C. 1. D. 4.
Lời giải:
* Ta có:
Vậy đồ thị hàm số có đường tiệm cận đứng là x = 1.
* Mặt khác
nên đồ thị hàm số có hai tiệm cận ngang là y = 2 và y = 0
Vậy đồ thị hàm số đã cho có 3 đường tiệm cận.
Suy ra chọn đáp án A
Ví dụ 6: Tìm số tiệm cận của đồ thị hàm số sau:
A. 1 B. 4
B. 2 D. 3
Lời giải:
* Điều kiện xác định
⇔ x ∈ (-∞; -3] ∪ [3; +∞]\{5;-5}
* Khi đó có:
⇒ đồ thị hàm số có hai đường tiệm cận ngang x = 0 và x = 2.
* Mặt khác có
⇒ đồ thị hàm số có hai đường tiệm cận đứng y = -5; y = 5.
Vậy đồ thị hàm số đã cho có 4 đường tiệm cận.
Suy ra chọn đáp án B.
Ví dụ 7: Tìm tất cả các đường tiệm cận của đồ thị hàm số:
A. Đồ thị hàm số f(x) có đúng một tiệm cận ngang là đường thẳng y = 3 và không có tiệm cận đứng.
B. Đồ thị hàm số f(x) không có tiệm cận ngang và có đúng một tiệm cận đứng là đường thẳng x = -1.
C. Đồ thị hàm số f(x) có tất cả hai tiệm cận ngang là các đường thẳng y = 3; y = -3 và không có tiệm cận đứng.
D. Đồ thị hàm số f(x) không có tiệm cận ngang và có đúng hai tiệm cận đứng là các đường thẳng x = -1; x = 1.
Lời giải:
* Tập xác định: D = R nên đồ thị không có tiệm cận đứng.
* Ta có
nên đường thẳng y = -3 là tiệm cận ngang.
Lại có:
nên đường thẳng y = 3 là tiệm cận ngang .
Suy ra chọn đáp án C.
Ví dụ 8: Đồ thị hàm số sau có tất cả bao nhiêu đường tiệm cận:
A. 1. B. 2.
C. 4. D. 3.
Lời giải:
Ta có
nên y = 1 là tiệm cận ngang.
Xét phương trình:
⇒ x = 2 là tiệm cận đứng .
⇒ x = - 2 là tiệm cận đứng.
Vậy đồ thị hàm số đã cho có ba đường tiệm cận.
Suy ra chọn đáp án D.
Dạng 2: Tìm tham số m để hàm số có tiệm cận.
I. Phương pháp giải
1. Cho hàm số
(có chứa tham số m).
+ Điều kiện để hàm số có tiệm cận đứng; tiệm cận ngang là hàm số không bị suy biến
Suy ra:
Khi hàm số không suy biến; hàm số có tiệm cận đứng là: x = -d/c và tiệm cận ngang là y = a/c.
+ Do đó điều kiện để đồ thị hàm số nhận đường thẳng x = x0 làm tiệm cận đứng là: Hàm số không suy biến và cx0 + d = 0 .
+ Điều kiện để đồ thị hàm số nhận đường thẳng y = y0 làm tiệm cận ngang là: hàm số không bị suy biến và y0 = a/c
2. Hàm số
+ Để hàm số có tiệm cận đứng; tiệm cận xiên thì hàm số không bị suy biến:
II. Ví dụ minh họa
Ví dụ 1: Cho hàm số
có đồ thị (C).
Kết luận nào sau đây đúng ?
A. Khi m = 3 thì (C) không có đường tiệm cận đứng.
B. Khi m = -3 thì (C) không có đường tiệm cận đứng.
C. Khi m ≠ 3 hoặc m ≠ -3 thì (C) có tiệm cận đứng x = -m; tiệm cận ngang y = m .
D. Khi m = 0 thì (C) không có tiệm cận ngang
Lời giải:
Xét phương trình: mx + 9 = 0.
* Với x = -m ta có: -m2 + 9 = 0 ⇔ m = 3 hoặc m = -3.
Kiểm tra thấy với m = 3 hoặc m = -3 thì hàm số không có tiệm cận đứng và tiệm cận ngang.
* Khi m ≠ 3 hoặc m ≠ -3 hàm số luôn có tiệm cận đứng x = m hoặc x = - m và tiệm cận ngang y = m.
Suy ra chọn đáp án C.
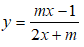
Ví dụ 2: Với giá trị nào của m thì đồ thị (C) sau có tiệm cận đứng đi qua điểm M(-1; √2) ?
A. m = √2/2. B. m = 0
C. m = 1/2. D. m = 2.
Lời giải:
* Đặt f(x) = mx – 1.
Để hàm số không bị suy biến khi và chỉ khi:
⇒ hàm số không bị suy biến với mọi giá trị của m.
* Khi đó đồ thị hàm số có đường tiệm cận đứng là x = -m/2.
* Vậy để tiệm cận đứng đi qua điểm M(-1; √2) thì
Suy ra chọn đáp án D.
Ví dụ 3: Đồ thị hàm số sau có đường tiệm cận đứng khi
A. m ≠ 0. B. ∀m ∈ R.
C. m ≠ -1. D. m ≠ 1.
Lời giải:
Xét phương trình:
* Nếu phương trình không có nghiệm x = 1 thì đồ thị hàm số có đường tiệm cận đứng là x = 1.
* Nếu phương trình có nghiệm x = 1 thì:
* Khi đó xét giới hạn:
nên trong trường hợp này đồ thị hàm số không có đường tiệm cận đứng.
Vậy m ≠ -1 thì đồ thị hàm số có đường tiệm cận đứng
Suy ra chọn đáp án C.
Ví dụ 4: Xác định m để đồ thị hàm số sau không có tiệm cận đứng.
A. m = -2 B. m = 2
C. m = 3 D. m = 1
Lời giải:
Đồ thị hàm số
không có tiệm cận đứng
phương trình f(x) = x2 - (2m + 3)x + 2(m - 1) = 0 có nghiệm x = 2
⇔ f(2) = 0 ⇔ 4 – 2(2m + 3) + 2(m - 1) =0
⇔ -2m - 4 = 0 hay m = -2
Suy ra chọn đáp án A.
Ví dụ 5: Xác định m để đồ thị hàm số sau có đúng hai tiệm cận đứng.
A. m < -13/12. B. -1 < m < 1.
C. m > -3/2. D. m > -13/12 .
Lời giải:
Đồ thị hàm số
có đúng hai tiệm cận đứng khi và chỉ khi phương trình: 4x2 + 2(2m + 3)x + m2 - 1 = 0 có hai nghiệm phân biệt
⇔ Δ' > 0 ⇔ (2m + 3)2 - 4(m2 - 1) > 0 ⇔ 12m > -13 ⇔ m > -13/12
Suy ra chọn đáp án D.
Dạng 3: Các bài toán liên quan đến tiệm cận của hàm số.
I. Phương pháp giải
Cho hàm số y = f(x). Để giải được các bài toán liên quan đến tiệm cận ta cần:
• Bước 1. Xác định các đường tiệm cận của đồ thị hàm số.
• Bước 2. Từ giả thiết thiết lập phương trình
• Chú ý: Công thức tính khoảng cách từ một điểm đến một đường thẳng; diện tích tam giác; hình chữ nhật; giao điểm của hai đồ thị hàm số....
II. Ví dụ minh họa
Ví dụ 1: Cho hàm số
có đồ thị (C).
Gọi M là một điểm bất kì trên (C). Tiếp tuyến của (C) tại M cắt các đường tiệm cận của (C) tại A và B. Gọi I là giao điểm của các đường tiệm cận của (C). Tính diện tích của tam giác IAB.
A. 2 B. 12
C. 4 D. 6
Lời giải:
Tập xác định D = R\{1}.
Đạo hàm
(C) có tiệm cận đứng x = 1 (d1) và tiệm cận ngang y = 2 (d2) nên I(1; 2).
Gọi
Tiếp tuyến của (C) tại M có phương trình y = f'(x0)(x - x0) + f(x0)
Δ cắt d1 tại
và cắt d2 tại B(2x0 - 1 ; 2) .
Ta có
IB = |(2x0 - 1) - 1| = 2|x0 - 1|
Do đó
Suy ra chọn đáp án C.
Ví dụ 2: Tìm điểm M thuộc đồ thị hàm số
sao cho khoảng cách từ M đến tiệm cận đứng bằng khoảng cách từ M đến trục hoành
A. M(0;-1); M(3;2). B. M(2;1); M(4;3).
C. M(0;-1); M(4;3). D. M(2;1); M(3;2.
Lời giải:
Do M thuộc đồ thị hàm số
nên
Phương trình tiệm cận đứng là x - 1 = 0 (d).
Giải phương trình d(M; d) = d(M; Ox)
Vậy có hai điểm M thỏa mãn là (0; -1) và (4; 3)
Suy ra chọn đáp án C.
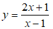
Ví dụ 3: Cho hàm số:
Gọi d là tiếp tuyến bất kì của (C), d cắt hai đường tiệm cận của đồ thị (C) lần lượt tại A, B. Khi đó khoảng cách giữa A và B ngắn nhất bằng
A. 4 B. 3√2
C. 2√2 D. 3√3
Lời giải:
Đồ thị hàm số (C) có tiệm cận đứng là x = 2 và tiệm cận ngang là y = 2.
Tọa độ điểm M bất kì thuộc đồ thị có dạng
Do đó phương trình tiếp tuyến tại M là:
Tìm tọa độ giao của tiệm cận và tiếp tuyến
Ta có:
⇒ AB ≥ √8
Suy ra chọn đáp án C.
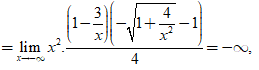
Ví dụ 4: Cho hàm số
với m là tham số thực. Gọi M là điểm thuộc (C) sao cho tổng khoảng cách từ M đến hai đường tiệm cận của (C) nhỏ nhất. Tìm tất cả các giá trị của m để giá trị nhỏ nhất đó bằng 2.
A. m = 0 B. m = 2
C. m = -2; m = 0 D. m = 1
Lời giải:
* Áp dụng công thức giải nhanh.
Điểm
thuộc đồ thị hàm số
Đồ thị hàm số có tiệm cận đứng
tiệm cận ngang
Ta có:
Khi đó
* Áp dụng công thức trên :
Yêu cầu bài toán trở thành:
Suy ra chọn đáp án C.
Dạng 4: Dựa vào bảng biến thiên tìm đường tiệm cận của đồ thị hàm số.
I. Phương pháp giải
Để dựa vào bảng biến thiên xác định được các tiệm cận của đồ thị hàm số ta cần nắm được các định nghĩa đường tiệm cận:
1. Đường tiệm cận ngang
* Cho hàm số y= f(x) xác định trên một khoảng K. Đường thẳng y = y0 là đường tiệm cận ngang (hay tiệm cận ngang) của đồ thị hàm số y = f(x) nếu ít nhất một trong các điều kiện sau được thỏa mãn:
2. Đường tiệm cận đứng
* Đường thẳng x = x0 được gọi là đường tiệm cận đứng ( hay tiệm cận đứng) của đồ thị hàm số y = f(x) nếu ít nhất một trong các điều kiện sau thỏa mãn:
II. Ví dụ minh họa
Ví dụ 1: Cho hàm số y = f(x) xác định và liên tục trên R\{-1}, có bảng biến thiên như sau. Khẳng định nào sau đây là khẳng định đúng
A. Đồ thị hàm số có tiệm cận đứng y = -1 và tiệm cận ngang x = -2
B. Đồ thị hàm số có duy nhất một tiệm cận
C. Đồ thị hàm số có ba tiệm cận
D. Đồ thị hàm số có tiệm cận đứng x = -1 và tiệm cận ngang y = -2
Lời giải:
Từ bảng biến thiên, ta có :
Suy ra x = -1 là tiệm cận đứng.
Suy ra y = -2 là tiệm cận ngang.
Suy ra chọn đáp án D.
Ví dụ 2: Cho hàm số y = f(x) xác định và liên tục trên R\ {-1} có bảng biến thiên như sau: Khẳng định nào sau đây là khẳng định đúng?
A. Đồ thị hàm số có một đường tiệm cận.
B. Đồ thị hàm số có hai đường tiệm cận.
C. Đồ thị hàm số có hai tiệm cận ngang y = 2; y = 5 và một tiệm cận đứng x = -1
D. Đồ thị hàm số có bốn đường tiệm cận.
Lời giải:
Từ bảng biến thiên, ta có:
+ Vì
nên x = -1 là tiệm cận đứng.
Do
nên y = 5 là tiệm cận ngang
nên y = 2 là tiệm cận ngang.
Suy ra chọn đáp án C.
Ví dụ 3: Cho hàm số y = f(x) có bảng biến thiên như sau kết luận nào sau đây đầy đủ về đường tiệm cận của đồ thị hàm số y = f(x)?
A. Đồ thị hàm số có đường tiệm cận ngang y = 1 hoặc y = -1.
B. Đồ thị hàm số có đường tiệm cận ngang y = 1.
C. Đồ thị hàm số có đường tiệm cận ngang y = 1 hoặc y = -1, tiệm cận đứng x = -1.
D. Đồ thị hàm số có đường tiệm cận ngang y = 1, tiệm cận đứng x = -1.
Lời giải:
+ Ta có
Suy ra đồ thị hàm số không có tiệm cận đứng
+ Lại có
Suy ra y=- 1 là tiệm cận ngang
Và
nên y = 1 là tiệm cận ngang.
Suy ra chọn đáp án A.
Ví dụ 4: Cho hàm số y = f(x) xác định trên R \ {0}, liên tục trên mỗi khoảng xác định và có bảng biến thiên như sau:
Mệnh đề nào sau đây là đúng?
A. Đồ thị hàm số có một đường tiệm cận.
B. Hàm số đạt cực tiểu tại x = 0.
C. Giá trị lớn nhất của hàm số là 2.
D. Hàm số không có cực trị.
Lời giải:
Dựa vào bảng biến thiên, ta có nhận xét như sau:
* A đúng vì
nên x = 0 là tiệm cận đứng của đồ thị hàm số.
* B sai vì tại x = 0 hàm số không xác định.
* C sai vì hàm số đạt giá trị lớn nhất bằng 1 trên khoảng (0; +∞) mà không đạt giá trị lớn nhất trên khoảng (0; +∞).
* D sai vì đạo hàm y’ đổi dấu từ “ + ” sang “ – ” khi đi qua điểm x = 1 nên x = 1 là điểm cực đại của hàm số.
Suy ra chọn đáp án A.
Ví dụ 5: Cho hàm số y = f(x) có bảng biến thiên như sau:
Mệnh đề nào sau đây sai?
A. Đồ thị hàm số có tiệm cận đứng là x = -3.
B. Đồ thị hàm số có tiệm cận đứng là x = 3.
C. Đồ thị hàm số có tiệm cận ngang y = 0 .
D. Đồ thị hàm số có tất cả hai đường tiệm cận.
Lời giải:
Từ bảng biến thiên, ta có:
+ Do
nên y = 0 là tiệm cận ngang.
+ Vì
nên x = -3 là tiệm cận đứng .
+ Lại có
nên x = 3 là tiệm cận đứng .
Vậy đồ thị hàm số có tất cả ba đường tiệm cận. Do đó D sai.
Suy ra chọn đáp án D.
Ví dụ 6: Cho hàm số y = f(x) có bảng biến thiên như sau:
Hỏi đồ tị hàm số đã cho có bao nhiêu tiệm cận.
A. 1 B. 2
C. 3 D. 4
Lời giải:
Từ bảng biến thiên, ta có:
+ Vì
nên y = 0 là tiệm cận ngang.
+ Vì
nên x = -2 là tiệm cận đứng .
+ Do
nên x = 0 là tiệm cận đứng .
Vậy đồ thị hàm số đã cho có đúng ba đường tiệm cận.
Suy ra chọn đáp án C.
Ví dụ 7: Cho hàm số y = f(x) có bảng biến thiên như sau:
Hỏi đồ thị của hàm số đã cho có bao nhiêu tiệm cận.
A. 1 B. 2
C. 3 D. 4
Lời giải:
Từ bảng biến thiên, ta có:
+ Vì
nên đồ thị hàm số không có tiệm cận ngang;
+ Do
nên x = -2 là tiệm cận đứng.
+ Lại có
nên x = 1 là tiệm cận đứng.
Vậy đồ thị hàm số đã cho có đúng hai đường tiệm cận.
Suy ra chọn đáp án B.
Dạng 5: Vận dụng cao.
Ví dụ minh họa
Ví dụ 1: Đồ thị hàm số sau có tất cả bao nhiêu đường tiệm cận?
A. 1 B. 2
C. 3 D. 4
Lời giải:
Ta có:
nên x = 1 là tiệm cận đứng.
nên y = 2 là tiệm cận ngang.
nên y = 1 là tiệm cận ngang.
Vậy đồ thị hàm số có đúng ba tiệm cận.
Suy ra chọn đáp án C.
Ví dụ 2: Đồ thị hàm số
có tất cả bao nhiêu đường tiệm cận?
A. 1 B. 2
C. 3 D. 0
Lời giải:
Tập xác định: D = (-1;1) ∪ (1;+∞). Ta có:
⇒ x = 1 là tiệm cận đứng.
Suy ra x = -1 là tiệm cận đứng.
Nên y = 0 là tiệm cận ngang.
Vậy đồ thị hàm số có đúng ba đường tiệm cận.
Suy ra chọn đáp án C.
Ví dụ 3: Cho hàm số:
Gọi d, n lần lượt là số tiệm cận đứng và tiệm cận ngang của đồ thị hàm số. Mệnh đề nào sau đây là đúng?
A. n + d = 1 B. n + d = 2
C. n + d = 3 D. n + d = 4
Lời giải:
* Để căn thức có nghĩa khi 2x2 - 1 ≥ 0
* Ta có:
Do đó tập xác định của hàm số:
* Ta có
Nên x = -1 là tiệm cận đứng.
Nên x = 1 không là tiệm cận đứng.
là tiệm cận ngang.
là tiệm cận ngang.
Vậy đồ thị hàm số có 1 tiệm cận đứng và hai tiệm cận ngang.
Suy ra: d = 1; n = 2 nên d + n = 3
Suy ra chọn đáp án C.
Ví dụ 4: Biết rằng đồ thị hàm số sau nhận hai trục tọa độ làm hai đường tiệm cận. Tính tổng S = m2 + n2 - 2
A. S = 2 B. S = 0
C. S = -1 D. S = 1
Lời giải:
Ta có:
Nên đường thẳng y = m - 2n – 3 là tiệm cận ngang.
nên x = n + m là tiệm cận đứng.
Từ giả thiết ta có
Suy ra: S = m2 + n2 – 2 = 0
Suy ra chọn đáp án B.
Ví dụ 5: Tìm tất cả các giá trị thực của tham số m để đồ thị hàm số sau có đúng một tiệm cận ngang và đúng một tiệm cận đứng.
A. m < 4 B. m > 4
C. m = 4; m = -12 D. m ≠ 4
Lời giải:
* Ta có:
nên y = 0 là tiệm cận ngang với mọi m.
* Do đó để đồ thị hàm số đã cho có một tiệm cận ngang và 1 tiệm cận đứng thì phương trình x2 – 4x + m = 0 có nghiệm kép hoặc có hai nghiệm phân biệt trong đó có một nghiệm bằng -2 ( khi đó hàm sẽ suy biến).
Suy ra chọn đáp án C.
Ví dụ 6: Tìm tất cả các giá trị của tham số m để đồ thị hàm số sau có tiệm cận ngang mà không có tiệm cận đứng.
A. m = - 12 B. m > 4
C. m = -12; m > 4 D. m ≠ 4
Lời giải:
* Ta có
nên y = 0 là tiệm cận ngang với mọi m.
* Do đó để đồ thị hàm số có tiệm cận ngang mà không có tiệm cận đứng thì phương trình x2 - 4x + m = 0 vô nghiệm
⇔ Δ' < 0 ⇔ m > 4
Suy ra chọn đáp án B.
Ví dụ 7: Tìm tất cả các giá trị thực của tham số m sao cho đồ thị của hàm số sau có hai tiệm cận ngang.
A. m > 1 B. m < 0
C. m < -1 D. m > 0
Lời giải:
Khi m > 0 ta có
* Tiệm cận ngang:
* Tiệm cận ngang:
Với m = 0 suy ra
đồ thị hàm số không có tiệm cận.
Với m < 0 thì hàm số có tiệm cận đứng là một đoạn nên đồ thị hàm số không có tiệm cận ngang.
Vậy với m > 0 thì đồ thị hàm số có hai tiệm cận ngang.
Suy ra chọn đáp án D.
Ví dụ 8: Tìm tất cả các giá trị thực của tham số m để đồ thị hàm số sau có đúng một tiệm cận ngang.
A. m = 0; m = 1 B. m ≥ 0
C. m = 1 D. m = 0
Lời giải:
Ta có:
* Nếu m = 1 thì
Suy ra hàm số chỉ có đúng một tiệm cận ngang là y = 1/2
Do đó giá trị m = 1 thỏa yêu cầu bài toán.
* Nếu
, để đồ thị hàm số có một tiệm cận ngang
Vậy m = 0; m = 1 thỏa mãn yêu cầu bài toán.
Suy ra chọn đáp án A.
Ví dụ 9: Cho hàm số sau với m là tham số thực và Hỏi đồ thị hàm số có bao nhiêu đường tiệm cận?
A. 1 B. 2
C. 3 D. 4
Lời giải:
* Phương trình x2 + 2(m - 1)x + m2 = 0 có Δ' = (m - 1)2 - m2 = -2m + 1.
Suy ra với m > 1/2 thì phương trình trên vô nghiệm nên đồ thị hàm số không có tiệm cận đứng.
* Ta có
nên y = 1 là tiệm cận ngang
nên y = -1 là tiệm cận ngang.
Vậy khi m > 1/2 đồ thị hàm số có đúng hai tiệm cận.
Suy ra chọn đáp án B.
Ví dụ 10: Tìm tất cả các giá trị thực của tham số m để đồ thị hàm số sau có đường tiệm cận ngang.
A. m = 0 B. m < 0
C. m > 0 D. m ≥ 0
Lời giải:
Đồ thị hàm số
có đường tiệm cận ngang khi và chỉ khi các giới hạn:
tồn tại hữu hạn. Ta có:
* Với m = 0 thì hàm số trở thành:
Khi đó
suy ra đồ thị không có tiệm cận ngang.
* Với m < 0, hàm số xác định khi mx4 + 3 > 0. Khi đó hàm số các giới hạn
không tồn tại. Do đó hàm số không có tiệm cận ngang.
* Với m > 0, khi đó hàm số có tập xác định D = R và
là tiệm cận ngang.
Vậy với m > 0 thì hàm số đã cho có tiệm cận ngang.
Suy ra chọn đáp án C.
(199k) Xem Khóa học Toán 12 KNTTXem Khóa học Toán 12 CDXem Khóa học Toán 12 CTST
Xem thêm các dạng bài tập Toán lớp 12 ôn thi Tốt nghiệp có lời giải hay khác:
- 2 dạng bài Tiếp tuyến của đồ thị hàm số ôn thi Tốt nghiệp (có lời giải)
- 5 dạng bài Sự tương giao của đồ thị hàm số ôn thi Tốt nghiệp (có lời giải)
- Dạng bài Điểm thuộc đồ thị hàm số ôn thi Tốt nghiệp (có lời giải)
- 4 dạng bài Nhận dạng đồ thị hàm số ôn thi Tốt nghiệp (có lời giải)
Đã có app VietJack trên điện thoại, giải bài tập SGK, SBT Soạn văn, Văn mẫu, Thi online, Bài giảng....miễn phí. Tải ngay ứng dụng trên Android và iOS.
Theo dõi chúng tôi miễn phí trên mạng xã hội facebook và youtube:Nếu thấy hay, hãy động viên và chia sẻ nhé! Các bình luận không phù hợp với nội quy bình luận trang web sẽ bị cấm bình luận vĩnh viễn.
- Giải Tiếng Anh 12 Global Success
- Giải sgk Tiếng Anh 12 Smart World
- Giải sgk Tiếng Anh 12 Friends Global
- Lớp 12 Kết nối tri thức
- Soạn văn 12 (hay nhất) - KNTT
- Soạn văn 12 (ngắn nhất) - KNTT
- Giải sgk Toán 12 - KNTT
- Giải sgk Vật Lí 12 - KNTT
- Giải sgk Hóa học 12 - KNTT
- Giải sgk Sinh học 12 - KNTT
- Giải sgk Lịch Sử 12 - KNTT
- Giải sgk Địa Lí 12 - KNTT
- Giải sgk Giáo dục KTPL 12 - KNTT
- Giải sgk Tin học 12 - KNTT
- Giải sgk Công nghệ 12 - KNTT
- Giải sgk Hoạt động trải nghiệm 12 - KNTT
- Giải sgk Giáo dục quốc phòng 12 - KNTT
- Giải sgk Âm nhạc 12 - KNTT
- Giải sgk Mĩ thuật 12 - KNTT
- Lớp 12 Chân trời sáng tạo
- Soạn văn 12 (hay nhất) - CTST
- Soạn văn 12 (ngắn nhất) - CTST
- Giải sgk Toán 12 - CTST
- Giải sgk Vật Lí 12 - CTST
- Giải sgk Hóa học 12 - CTST
- Giải sgk Sinh học 12 - CTST
- Giải sgk Lịch Sử 12 - CTST
- Giải sgk Địa Lí 12 - CTST
- Giải sgk Giáo dục KTPL 12 - CTST
- Giải sgk Tin học 12 - CTST
- Giải sgk Hoạt động trải nghiệm 12 - CTST
- Giải sgk Âm nhạc 12 - CTST
- Lớp 12 Cánh diều
- Soạn văn 12 Cánh diều (hay nhất)
- Soạn văn 12 Cánh diều (ngắn nhất)
- Giải sgk Toán 12 Cánh diều
- Giải sgk Vật Lí 12 - Cánh diều
- Giải sgk Hóa học 12 - Cánh diều
- Giải sgk Sinh học 12 - Cánh diều
- Giải sgk Lịch Sử 12 - Cánh diều
- Giải sgk Địa Lí 12 - Cánh diều
- Giải sgk Giáo dục KTPL 12 - Cánh diều
- Giải sgk Tin học 12 - Cánh diều
- Giải sgk Công nghệ 12 - Cánh diều
- Giải sgk Hoạt động trải nghiệm 12 - Cánh diều
- Giải sgk Giáo dục quốc phòng 12 - Cánh diều
- Giải sgk Âm nhạc 12 - Cánh diều


Giải bài tập SGK & SBT
Tài liệu giáo viên
Sách
Khóa học
Thi online
Hỏi đáp

