Cách giải bài tập về tiệm cận của hàm số (cực hay)
Bài viết Cách giải bài tập về tiệm cận của hàm số với phương pháp giải chi tiết giúp học sinh ôn tập, biết cách làm bài tập Cách giải bài tập về tiệm cận của hàm số.
Cách giải bài tập về tiệm cận của hàm số (cực hay)
(199k) Xem Khóa học Toán 12 KNTTXem Khóa học Toán 12 CDXem Khóa học Toán 12 CTST
Bài giảng: Cách tìm tiệm cận của đồ thị hàm số - Cô Nguyễn Phương Anh (Giáo viên VietJack)
A. Phương pháp giải & Ví dụ
Ví dụ minh họa
Ví dụ 1: Tìm m để đồ thị hàm số có đường tiệm cận ngang cắt đường thẳng d:y = x tại điểm A(1; 1).
Hướng dẫn
Nghiệm của tử thức 2x - 1 = 0 ⇔ x = 1/2.
Để đồ thị hàm số có tiệm cận thì x = 1/2 không là nghiệm của mẫu hay m.1/2 - 1 ≠ 0 ⇔ m ≠ 2
Đường tiệm cận ngang y = 2/m
Phương trình hoành độ giao điểm của đường tiệm cận ngang y = 2/m và đường thẳng d:y = x là:
2/m = x
Mà hai đường này cắt nhau tại điểm A(1; 1) nên ta có 2/m = 1 ⇔ m = 2 (loại)
Vậy không tồn tại giá trị của m thỏa mãn yêu cầu bài toán.
Ví dụ 2: Tìm trên đồ thị hàm số những điểm M sao cho khoảng cách từ điểm M đến tiệm cận đứng bằng 3 lần khoảng cách từ M đến tiệm cận ngang của đồ thị
Hướng dẫn
Gọi M(a;(2a + 1)/(a - 1)) với a ≠ 1 là điểm thuộc đồ thị.
Đường tiệm cận đứng d1: x = 1; đường tiệm cận ngang d2:y = 2
Vì M cách đều hai tiệm cận của đồ thị hàm số nên
Với a = -2 thì tọa độ điểm M là M =(-2; 1)
Với a = 4 thì tọa độ điểm M là M =(4; 3)
Vậy các điểm cần tìm là M(-2; 1) và M(4; 3)
Ví dụ 3: Cho hàm số ) có đồ thị (C). Với giá trị nào của m thì đường tiệm cận đứng, tiệm cận ngang của đồ thị hàm số cùng hai trục tọa độ tạo thành một hình chữ nhật có diện tích bằng 8.
Hướng dẫn
Để x = 1 là tiệm cận đứng của đồ thị hàm số thì x = 1 là nghiệm của mẫu nhưng không là nghiệm của tử hay 2m.1 + m ≠ 0 ⇔ 3m ≠ 0 ⇔ m ≠ 0.
Đường tiệm cận đứng x = 1; đường tiệm cận ngang y = 2m
Vì đường tiệm cận đứng, tiệm cận ngang của đồ thị hàm số cùng hai trục tọa độ tạo thành một hình chữ nhật có diện tích bằng 8 nên
(thỏa mãn)
Giá trị của tham số m cần tìm là m = 4; m = -4.
B. Bài tập vận dụng
Câu 1: Tìm giá trị của tham số m để tiệm cận đứng của đồ thị hàm số đi qua điểm M(2; 3).
Lời giải:
Nghiệm của mẫu thức x = -m
Để đồ thị hàm số có tiệm cận đứng thì x = -m thì x = -m không là nghiệm của phương trình 2x + 1 = 0. Khi đó 2.(-m) = 1 ≠ 0 ⇔ m ≠ -1/2
Vì tiệm cận đứng đi qua điểm M(2; 3) nên 2 = -m ⇔ m = -2
Câu 2: Cho hàm số có đồ thị (C). Biết tiệm cận ngang của (C) đi qua điểm A(-1; 2) đồng thời điểm I(2; 1) thuộc (C). Tìm giá trị của biểu thức P = m + n.
Lời giải:
Để x = 1 là tiệm cận đứng của đồ thị hàm số thì x = 1 là nghiệm của mẫu nhưng không là nghiệm của tử hay m + n ≠ 0.
Đường tiệm cận ngang là y = m
Vì tiệm cận ngang của (C) đi qua điểm A(-1; 2) nên m = 2
Vì I∈(C) nên 1 = (2m + n)/(2 - 1) ⇒ 2m + n = 1 ⇔ n = 1 - 2m = -3
Khi đó P = m + n = 2 + (-3) = -1
Câu 3: Cho hàm số có đồ thị (C). Gọi M(x0; y0) là điểm thuộc (C) sao cho tổng khoảng cách từ M đến hai tiệm cận của (C) là nhỏ nhất. Tìm giá trị nhỏ nhất của d.
Lời giải:
Gọi thuộc đồ thị (C) với x0 ≠ -2
Đồ thị (C) có tiệm cận đứng Δ1:x = 2; tiệm cận ngang Δ2:y = 2
Ta có d(M; Δ1 )= |x0 - 2| và d(M; Δ2 )= |y0 - 2| = 1/|x0 - 2|
Áp dung AM - GM ta được d(M; Δ1 ) + d(M; Δ2 ) =
Vậy giá trị nhỏ nhất của d là 2.
Câu 4: Cho hàm số có đồ thị (H). Tìm tích số các khoảng cách từ một điểm M tùy ý thuộc (H) đến hai đường tiệm cận của (H).
Lời giải:
Gọi ∈(C) với a ≠ -1
Đường tiệm cận đứng d1:x = -1; đường tiệm cận ngang d2:y = 2
Khi đó d(M;d1 ).d(M;d2 )=
Câu 5:Cho hàm số có đồ thị (C). Với giá trị nào của m thì giao điểm của hai đường tiệm cận là điểm M(x; y) sao cho tổng x.y < 0.
Lời giải:
Để x = -2 là tiệm cận đứng của đồ thị hàm số thì x = -2 là nghiệm của mẫu nhưng không là nghiệm của tử hay (1 - m2 )(-2) + 1 ≠ 0
Đường tiệm cận đứng x = -2; đường tiệm cận ngang y = 1 - m2 nên M(-2; 1 - m2)
Vì x.y < 0 ⇒ (-2)(1 - m2 )< 0 ⇔ 1 - m2 > 0 ⇔ -1 < m < 1
Kết hợp điều kiện: Giá trị của tham số m thỏa mãn là
Câu 6: Cho hàm số có đồ thị (C). Với giá trị nào của m thì đường tiệm cận đứng, tiệm cận ngang của đồ thị hàm số cùng hai trục tọa độ tạo thành một hình chữ nhật có diện tích bằng 2016.
Lời giải:
Để x = 2 là tiệm cận đứng của đồ thị hàm số thì x = 2 là nghiệm của mẫu nhưng không là nghiệm của tử hay 4m.2 + 3m ≠ 0 ⇔ 11m ≠ 0 ⇔ m ≠ 0.
Đường tiệm cận đứng x = 2; đường tiệm cận ngang y = 4m
Vì đường tiệm cận đứng, tiệm cận ngang của đồ thị hàm số cùng hai trục tọa độ tạo thành một hình chữ nhật có diện tích bằng 2016 nên
(thỏa mãn)
Giá trị của tham số m cần tìm là m = 252; m = -252.
Câu 7: Cho hàm số có đồ thị (C). Gọi P, Q là hai điểm phân biệt nằm trên (C) sao cho tổng khoảng cách từ P hoặc Q tới hai đường tiệm cận là nhỏ nhất. Tim độ dài đoạn thẳng PQ.
Lời giải:
Gọi thuộc đồ thị (C) với x0 ≠ 2
Đồ thị (C) có tiệm cận đứng Δ1:x = 2; tiệm cận ngang Δ2:y = 1
Ta có d(P; Δ1 ) = |x0 - 2| và d(P; Δ2 ) = |y0 - 1| = 4/|x0 - 2|
Áp dung AM - GM ta được d = d(P; Δ1 ) + d(P; Δ2 ) = |x0 - 2| + 4/|x0 - 2| ≥4
⇒ giá trị nhỏ nhất của d là 2. Dấu “=” xảy ra khi |x0 - 2| = 4/|x0 - 2|
Với x0 = 0 ⇒ y0 = -1 ⇒ P(0; -1)
Với x0 = 4 ⇒ y0 = 3 ⇒ Q(4; 3)
Khi đó độ dài đoạn thẳng PQ là
Câu 8: Cho hàm số có đồ thị (C). Tìm điểm thuộc đồ thị (C) cách đều hai tiệm cận của đồ thị hàm số.
Lời giải:
Gọi ∈(C) với a ≠ 1 là tọa độ điểm cần tìm
Đường tiệm cận đứng d1:x = 1; đường tiệm cận ngang d2:y = 1
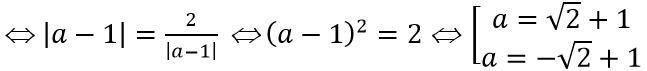
Vì M cách đều hai tiệm cận của đồ thị hàm số nên
Với a = √2 + 1 thì tọa độ điểm M cần tìm là M = (√2 + 1; √2 + 1)
Với a = -√2 + 1 thì tọa độ điểm M cần tìm là M = (-√2 + 1; -√2 + 1)
Vậy có hai điểm cần tìm M = (√2 + 1; √2 + 1) và M = (-√2 + 1; -√2 + 1)
(199k) Xem Khóa học Toán 12 KNTTXem Khóa học Toán 12 CDXem Khóa học Toán 12 CTST
Xem thêm các dạng bài tập Toán lớp 12 ôn thi Tốt nghiệp có lời giải hay khác:
- Dạng 1: Xác định tiệm cận
- Trắc nghiệm tìm tiệm cận của đồ thị hàm số
- Dạng 2: Tìm tham số m để hàm số có tiệm cận
- Trắc nghiệm tìm tham số m để hàm số có tiệm cận
- Trắc nghiệm về tiệm cận của hàm số
Đã có app VietJack trên điện thoại, giải bài tập SGK, SBT Soạn văn, Văn mẫu, Thi online, Bài giảng....miễn phí. Tải ngay ứng dụng trên Android và iOS.
Theo dõi chúng tôi miễn phí trên mạng xã hội facebook và youtube:Nếu thấy hay, hãy động viên và chia sẻ nhé! Các bình luận không phù hợp với nội quy bình luận trang web sẽ bị cấm bình luận vĩnh viễn.
- Giải Tiếng Anh 12 Global Success
- Giải sgk Tiếng Anh 12 Smart World
- Giải sgk Tiếng Anh 12 Friends Global
- Lớp 12 Kết nối tri thức
- Soạn văn 12 (hay nhất) - KNTT
- Soạn văn 12 (ngắn nhất) - KNTT
- Giải sgk Toán 12 - KNTT
- Giải sgk Vật Lí 12 - KNTT
- Giải sgk Hóa học 12 - KNTT
- Giải sgk Sinh học 12 - KNTT
- Giải sgk Lịch Sử 12 - KNTT
- Giải sgk Địa Lí 12 - KNTT
- Giải sgk Giáo dục KTPL 12 - KNTT
- Giải sgk Tin học 12 - KNTT
- Giải sgk Công nghệ 12 - KNTT
- Giải sgk Hoạt động trải nghiệm 12 - KNTT
- Giải sgk Giáo dục quốc phòng 12 - KNTT
- Giải sgk Âm nhạc 12 - KNTT
- Giải sgk Mĩ thuật 12 - KNTT
- Lớp 12 Chân trời sáng tạo
- Soạn văn 12 (hay nhất) - CTST
- Soạn văn 12 (ngắn nhất) - CTST
- Giải sgk Toán 12 - CTST
- Giải sgk Vật Lí 12 - CTST
- Giải sgk Hóa học 12 - CTST
- Giải sgk Sinh học 12 - CTST
- Giải sgk Lịch Sử 12 - CTST
- Giải sgk Địa Lí 12 - CTST
- Giải sgk Giáo dục KTPL 12 - CTST
- Giải sgk Tin học 12 - CTST
- Giải sgk Hoạt động trải nghiệm 12 - CTST
- Giải sgk Âm nhạc 12 - CTST
- Lớp 12 Cánh diều
- Soạn văn 12 Cánh diều (hay nhất)
- Soạn văn 12 Cánh diều (ngắn nhất)
- Giải sgk Toán 12 Cánh diều
- Giải sgk Vật Lí 12 - Cánh diều
- Giải sgk Hóa học 12 - Cánh diều
- Giải sgk Sinh học 12 - Cánh diều
- Giải sgk Lịch Sử 12 - Cánh diều
- Giải sgk Địa Lí 12 - Cánh diều
- Giải sgk Giáo dục KTPL 12 - Cánh diều
- Giải sgk Tin học 12 - Cánh diều
- Giải sgk Công nghệ 12 - Cánh diều
- Giải sgk Hoạt động trải nghiệm 12 - Cánh diều
- Giải sgk Giáo dục quốc phòng 12 - Cánh diều
- Giải sgk Âm nhạc 12 - Cánh diều


Giải bài tập SGK & SBT
Tài liệu giáo viên
Sách
Khóa học
Thi online
Hỏi đáp

