Bài tập trắc nghiệm tìm tiệm cận của đồ thị hàm số cực hay
Với Bài tập trắc nghiệm tìm tiệm cận của đồ thị hàm số có lời giải chi tiết sẽ giúp học sinh ôn tập, biết cách làm Bài tập trắc nghiệm tìm tiệm cận của đồ thị hàm số.
Bài tập trắc nghiệm tìm tiệm cận của đồ thị hàm số cực hay
(199k) Học Toán 12 KNTTHọc Toán 12 CDHọc Toán 12 CTST
Bài giảng: Cách tìm tiệm cận của đồ thị hàm số - Cô Nguyễn Phương Anh (Giáo viên VietJack)
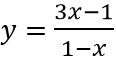
Câu 1: Đồ thị hàm số có các đường tiệm cận đứng và tiệm cận ngang là:
A. x = -1; y = -3
B. x = 1; y = -3
C. x = 1; y = 3
D. x = -3; y = 1
Lời giải:
Đáp án : B
Giải thích :
Ta có ⇒ y = -3 là tiệm cận ngang.
⇒ x = 1 là tiệm cận đứng.
Câu 2: Số đường tiệm cận của đồ thị hàm số là:
A. 4
B. 2
C. 1
D. 3
Lời giải:
Đáp án : D
Giải thích :
Ta có ⇒ y = 0 là tiệm cận ngang.
⇒ x = 2; x = -2 là tiệm cận đứng.
Câu 3: Đồ thị hàm số có các đường tiệm cận đứng và tiệm cận ngang là:
A. x = 1, x = 2, y = 0
B. x = 1, x = 2, y = 2
A. x = 1, y = 0
D. x = 1, x = 2, y = -3
Lời giải:
Đáp án : A
Giải thích :
Ta có ⇒ y = 0 là tiệm cận ngang.
⇒ x = 1; x = 2 là tiệm cận đứng.
Câu 4: Đồ thị hàm số có các đường tiệm cận đứng và tiệm cận ngang là:
A. x = 3; y = -3
B. x = 3; y = 0
C. x = 3; y = 1
D. y = 3; x = -3
Lời giải:
Đáp án : A
Giải thích :
Ta có ⇒ y = -3 là tiệm cận ngang.
⇒ x = 3 là tiệm cận đứng.
Câu 5: Số tiệm cận đứng và tiệm cận ngang của đồ thị hàm số là:
A. 0
B. 1
C. 2
D. 3
Lời giải:
Đáp án : A
Giải thích :
Ta có:
Đồ thị hàm số không có tiệm cận đứng và ngang.
Câu 6: Số đường tiệm cận của đồ thị hàm số là:
A. 0
B. 1
C. 2
D. 3
Lời giải:
Đáp án : A
Câu 7: Gọi I là tâm đối xứng của đồ thị hàm số . Điểm I có tọa độ là
A. I(-2; 3)
B. I(3; -2)
C. I(3; 2/3)
D. I(3; 2)
Lời giải:
Đáp án : B
Giải thích :
Ta có ⇒ y = -2 là tiệm cận ngang.
⇒ x = 3 là tiệm cận đứng.
Vậy tọa độ điểm I(3; -2).
Câu 8: Số tiệm cận đứng và tiệm cận ngang của đồ thị hàm số là:
A. 2
B. 4
C. 3
D. 1
Lời giải:
Đáp án : B
Giải thích :
Vì 0⇒ y = 0; y = 2 là tiệm cận ngang
⇒ x = 5; y = -5 là tiệm cận đứng.
Câu 9: Đồ thị hàm số có tiệm cận ngang là:
A. y = 2
B. y = -2
C. y = √2
D. x = -2
Lời giải:
Đáp án : A
Giải thích :
Ta có
Vì nên y = 2 là tiệm cận ngang.
Câu 10: Đồ thị hàm số nào sau đây không có tiệm cận ngang
A.
B.
C.
D.
Lời giải:
Đáp án : B
Câu 11: Đồ thị nào sau đây không có tiệm cận đứng
A.
B.
C.
D.
Lời giải:
Đáp án : A
Giải thích :
Câu 12: Tiệm cận ngang của đồ thị hàm số là:
A. y = ±2/3
B. y = 2/3
C. y = 0
D. x = ±1
Lời giải:
Đáp án : A
Giải thích :
Vì nên y = -2/3 là tiệm cận ngang
nên y = 2/3 là tiệm cận ngang
Câu 13: Cho hàm số .Đồ thị hàm số có bao nhiêu tiệm cận đứng và tiệm cận ngang.
A. 0
B. 1
C. 2
D. 3
Lời giải:
Đáp án : C
Giải thích :
Ta có
Vì ⇒ y = 1 là tiệm cận ngang.
⇒ x = 2 là tiệm cận đứng.
Câu 14: Cho hàm số y = f(x) có . Khẳng định nào sau đây là khẳng định đúng?
A. Đồ thị hàm số đã cho không có tiệm cận ngang
B. Đồ thị hàm số đã cho có một tiệm cận ngang y = 2 và một tiệm cận đứng x = 1
C. Đồ thị hàm số đã cho có hai tiệm cận ngang là các đường thẳng y = 2 và y = 1.
D. Đồ thị hàm số đã cho có hai tiệm cận đứng là các đường thẳng x = 1 và x = 2
Lời giải:
Đáp án : B
Câu 15: Cho hàm số y = f(x) có bảng biến thiên như hình sau:
Tổng số đường tiệm cận đứng và tiệm cận ngang của đồ thị hàm số này là:
A. 2 B. 3 C. 1 D. 4
Lời giải:
Đáp án : A
(199k) Học Toán 12 KNTTHọc Toán 12 CDHọc Toán 12 CTST
Xem thêm các dạng bài tập Toán lớp 12 có trong đề thi Tốt nghiệp THPT khác:
- Dạng 1: Xác định tiệm cận
- Dạng 2: Tìm tham số m để hàm số có tiệm cận
- Trắc nghiệm tìm tham số m để hàm số có tiệm cận
- Dạng 3: Các bài toán liên quan đến tiệm cận của hàm số
- Trắc nghiệm về tiệm cận của hàm số
Đã có app VietJack trên điện thoại, giải bài tập SGK, SBT Soạn văn, Văn mẫu, Thi online, Bài giảng....miễn phí. Tải ngay ứng dụng trên Android và iOS.
Theo dõi chúng tôi miễn phí trên mạng xã hội facebook và youtube:Nếu thấy hay, hãy động viên và chia sẻ nhé! Các bình luận không phù hợp với nội quy bình luận trang web sẽ bị cấm bình luận vĩnh viễn.
- Giải Tiếng Anh 12 Global Success
- Giải sgk Tiếng Anh 12 Smart World
- Giải sgk Tiếng Anh 12 Friends Global
- Lớp 12 Kết nối tri thức
- Soạn văn 12 (hay nhất) - KNTT
- Soạn văn 12 (ngắn nhất) - KNTT
- Giải sgk Toán 12 - KNTT
- Giải sgk Vật Lí 12 - KNTT
- Giải sgk Hóa học 12 - KNTT
- Giải sgk Sinh học 12 - KNTT
- Giải sgk Lịch Sử 12 - KNTT
- Giải sgk Địa Lí 12 - KNTT
- Giải sgk Giáo dục KTPL 12 - KNTT
- Giải sgk Tin học 12 - KNTT
- Giải sgk Công nghệ 12 - KNTT
- Giải sgk Hoạt động trải nghiệm 12 - KNTT
- Giải sgk Giáo dục quốc phòng 12 - KNTT
- Giải sgk Âm nhạc 12 - KNTT
- Giải sgk Mĩ thuật 12 - KNTT
- Lớp 12 Chân trời sáng tạo
- Soạn văn 12 (hay nhất) - CTST
- Soạn văn 12 (ngắn nhất) - CTST
- Giải sgk Toán 12 - CTST
- Giải sgk Vật Lí 12 - CTST
- Giải sgk Hóa học 12 - CTST
- Giải sgk Sinh học 12 - CTST
- Giải sgk Lịch Sử 12 - CTST
- Giải sgk Địa Lí 12 - CTST
- Giải sgk Giáo dục KTPL 12 - CTST
- Giải sgk Tin học 12 - CTST
- Giải sgk Hoạt động trải nghiệm 12 - CTST
- Giải sgk Âm nhạc 12 - CTST
- Lớp 12 Cánh diều
- Soạn văn 12 Cánh diều (hay nhất)
- Soạn văn 12 Cánh diều (ngắn nhất)
- Giải sgk Toán 12 Cánh diều
- Giải sgk Vật Lí 12 - Cánh diều
- Giải sgk Hóa học 12 - Cánh diều
- Giải sgk Sinh học 12 - Cánh diều
- Giải sgk Lịch Sử 12 - Cánh diều
- Giải sgk Địa Lí 12 - Cánh diều
- Giải sgk Giáo dục KTPL 12 - Cánh diều
- Giải sgk Tin học 12 - Cánh diều
- Giải sgk Công nghệ 12 - Cánh diều
- Giải sgk Hoạt động trải nghiệm 12 - Cánh diều
- Giải sgk Giáo dục quốc phòng 12 - Cánh diều
- Giải sgk Âm nhạc 12 - Cánh diều


Giải bài tập SGK & SBT
Tài liệu giáo viên
Sách
Khóa học
Thi online
Hỏi đáp

