Bài tập trắc nghiệm tìm tham số m để hàm số có tiệm cận cực hay
Với Bài tập trắc nghiệm tìm tham số m để hàm số có tiệm cận có lời giải chi tiết sẽ giúp học sinh ôn tập, biết cách làm Bài tập trắc nghiệm tìm tham số m để hàm số có tiệm cận.
Bài tập trắc nghiệm tìm tham số m để hàm số có tiệm cận cực hay
(199k) Học Toán 12 KNTTHọc Toán 12 CDHọc Toán 12 CTST
Bài giảng: Cách tìm tiệm cận của đồ thị hàm số - Cô Nguyễn Phương Anh (Giáo viên VietJack)
Câu 1: Biết đồ thị hàm số có tiệm cận đứng là x = 1 và tiệm cận ngang là y = 0. Tính a + 2b
A. 6
B. 7
C. 8
D. 10
Lời giải:
Đáp án : C
Giải thích :
Vì đồ thị hàm số nhận x = 1 làm tiệm cận đứng nên x = 1 là nghiệm của mẫu nhưng không là nghiệm của tử hay
Vì đồ thị hàm số có tiệm cận ngang y = 0 nên a - 2b = 0 ⇔ a = 2b = 4
Vậy a + 2b = 4 + 2.2 = 8.
Câu 2: Tìm tất cả các giá trị thực của tham số m để đồ thị hàm số nhận đường thẳng y = 8 làm tiệm cận ngang
A. m = 2
B. m = -2
C. m = ±2
D. m = 0
Lời giải:
Đáp án : C
Giải thích :
Do nên đồ thị hàm số luôn có tiệm cận ngang y = 2m2
Cho 2m2 = 8 ⇔ m = ±2.
Câu 3: Biết rằng đồ thị hàm số nhận hai trục tọa độ làm hai đường tiệm cận. Tính tổng S = m2 + n2 - 2
A. S = 2
B. S = 0
C. S = -1
D. S = 1
Lời giải:
Đáp án : B
Giải thích :
Ta có hàm số là hàm phân thức nên nhận y = m - 2n - 3 là tiệm cận ngang và x = m + n là tiệm cận đứng của đồ thị hàm số.
Vì đồ thị hàm số nhận x = 0; y = 0 làm tiệm cận đứng và tiệm cận ngang nên ta có:
Khi đó S = m2 + n2 - 2 = 1 + 1 - 2 = 0.
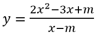
Câu 4: (THPT Lý Thái Tổ - Hà Nội 2017 L4). Tìm m để đồ thị hàm số có tiệm cận ngang là đường thẳng y = 1
A. m = 2
B. m = 5/2
C. m = 0
D. m = 1
Lời giải:
Đáp án : D
Giải thích :
Ta có hàm số là hàm phân thức nên nhận y = (m + 1)/2 là tiệm cận ngang.
Cho (m + 1)/2 = 1 ⇒ m = 1.
Câu 5: (THPT Triệu Sơn – Thanh Hóa 2017 L3). Biết đồ thị hàm số nhận trục hoành và trục tung làm hai tiệm cận thì giá trị của a + b là:
A. 2
B. 10
C. 15
D. -10
Lời giải:
Đáp án : C
Giải thích :
Vì đồ thị hàm số nhận x = 0 làm tiệm cận đứng nên x = 0 là nghiệm của mẫu nhưng không là nghiệm của tử hay
Vì đồ thị hàm số nhận y = 0 làm tiệm cận ngang nên ta có 4a - b = 0 ⇒ a = b/4 = 3
Khi đó a + b = 15.
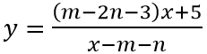
Câu 6: (Sở GD Hải Dương 2017). Biết đồ thị hàm số nhận trục hoành và trục tung làm hai đường tiệm cận. Tính m + n
A. 2
B. 8
C. -6
D. 9
Lời giải:
Đáp án : D
Giải thích :
Ta có:
= 2m - n, đồ thị hàm số nhận trục hoành làm tiệm cận khi và chỉ khi 2m - n = 0
Do đồ thị hàm số nhận trục tung x = 0 làm tiệm cận nên x = 0 là nghiệm của x2 + mx + n - 6 = 0. Suy ra n - 6 = 0
Do đó m = 3, n = 6 ⇒ m + n = 9.
Câu 7: Giá trị thực của tham số m để đồ thị hàm số không có tiệm cận đứng là:
A. m = 0
B. m = 1; m = 2
C. m = 0; m = 1
D. m = 1
Lời giải:
Đáp án : C
Giải thích :
Nghiệm của mẫu thức x = m. Để hàm số không có tiệm cận đứng thì:
Câu 8: Giá trị thực của tham số m để đồ thị hàm số có ba đường tiệm cận là:
A. m ∈ (-∞; -2) ∪ (2; +∞)
B. m ∈ (-∞; -5/2) ∪ (-5/2; -2)
C. m ∈ (-∞; -5/2) ∪ (-5/2; -2) ∪ (2; +∞)
D. m ∈ (2; +∞)
Lời giải:
Đáp án : C
Giải thích :
Ta có ⇒ y = 0 là tiệm cận ngang của đồ thị hàm số
Do đó yêu cầu bài toán phương trình x2 - 2mx + 4 = 0 có hai nghiệm phân biệt khác -1.
Câu 9: Tất cả các giá trị thực của tham số a để đồ thị hàm số có đúng một tiệm cận đứng.
A. a = ±√(3/2)
B. a = 0; a = 3
C. a = 1; a = 2
D. a = ±2
Lời giải:
Đáp án : B
Giải thích :
Yêu cầu bài toán 3x2 - 2ax + a = 0 có nghiệm duy nhất
Δ' = a2 - 3a = 0
Câu 10: Tất cả các giá trị thực của tham số a để đồ thị hàm số có đúng một tiệm cận ngang và đúng một tiệm cận đứng.
A. m < 4
B. m > 4
C. m = 4; m = -12
D. m = 4
Lời giải:
Đáp án : C
Giải thích :
Ta có nên y = 0 là tiệm cận ngang của đồ thị hàm số
Yêu cầu bài toán phương trình x2 - 4x + m = 0 có nghiệm kép hoặc có hai nghiệm phân biệt trong đó có một nghiệm bằng -2
Nếu x2 - 4x + m = 0 có nghiệm kép thì Δ' = 4 - m = 0 ⇔ m = 4
Nếu x2 - 4x + m = 0 có hai nghiệm phân biệt trong đó có một nghiệm bằng -2 thì
Vậy giá trị của tham số m cần tìm là m = 4; m = -12.
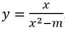
Câu 11: (THPT Sào Nam – Quảng Nam 2017). Cho hàm số . Giá trị của m để đồ thị hàm số có đúng 3 tiệm cận là:
A. m = 0
B. m < 0
C. m > 0
D. m ∈ R
Lời giải:
Đáp án : C
Giải thích :
Ta có nên y = 0 là tiệm cận ngang của đồ thị hàm số
Để đồ thị hàm số có đúng 3 tiệm cận thì phương trình x2 - m = 0 ⇔ x2 = m có hai nghiệm phân biệt khác 0 ⇔ m >0.
Câu 12: Giá trị thực của tham số m sao cho đồ thị hàm số có tiệm cận đứng
A. Không tồn tại m
B.
C. m ∈ R
D.
Lời giải:
Đáp án : D
Giải thích :
Nghiệm của mẫu thức x = 2
Để đồ thị hàm số có tiệm cận đứng thì x = 2 không phải là nghiệm của phương trình x2 - mx - 2m2 = 0
Khi đó ta có 22 - 2m - 2m2 ≠ 0 ⇔ 2m2 + 2m - 4 ≠ 0
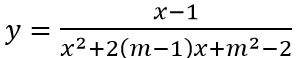
Câu 13: Xác định giá trị của tham số m để đồ thị hàm số có đúng hai tiệm cận đứng
A. m < 3/2; m ≠ 1; m ≠ -3
B. m > -3/2; m ≠ 1
C. m > -3/2
D. m < 3/2
Lời giải:
Đáp án : A
Giải thích :
Để đồ thị hàm số có hai tiệm cận đứng thì phương trình x2 + 2(m - 1)x + m2 - 2 = 0 có hai nghiệm phân biệt khác 1.
Xét
Để hàm số có hai tiệm cận ngang thì -1 - m ≠ 1 - m ⇔ -1 ≠ 1 (luôn đúng)
Câu 14: Đồ thị hàm số có hai đường tiệm cận ngang khi
A. m ∈ R
B. m = 1
C. m = 0; m = 1
D. m = 0
Lời giải:
Đáp án : A
Câu 15: Đồ thị hàm số có đường tiệm cận đứng khi
A. m ≠ 0 B. m ∈ R C. m ≠ -1 D. m ≠ 1
Lời giải:
Đáp án : C
Giải thích :
Xét phương trình
Nếu phương trình không có nghiệm x = 1 thì đồ thị hàm số có đường tiệm cận đứng x = 1
Nếu phương trình có nghiệm x = 1 thì m = -1
Khi đó xét giới hạn nên trong trường hợp này đồ thị hàm số không có tiệm cận đứng.
Vậy m ≠ -1.
(199k) Học Toán 12 KNTTHọc Toán 12 CDHọc Toán 12 CTST
Xem thêm các dạng bài tập Toán lớp 12 có trong đề thi Tốt nghiệp THPT khác:
- Dạng 1: Xác định tiệm cận
- Trắc nghiệm tìm tiệm cận của đồ thị hàm số
- Dạng 2: Tìm tham số m để hàm số có tiệm cận
- Dạng 3: Các bài toán liên quan đến tiệm cận của hàm số
- Trắc nghiệm về tiệm cận của hàm số
Đã có app VietJack trên điện thoại, giải bài tập SGK, SBT Soạn văn, Văn mẫu, Thi online, Bài giảng....miễn phí. Tải ngay ứng dụng trên Android và iOS.
Theo dõi chúng tôi miễn phí trên mạng xã hội facebook và youtube:Nếu thấy hay, hãy động viên và chia sẻ nhé! Các bình luận không phù hợp với nội quy bình luận trang web sẽ bị cấm bình luận vĩnh viễn.
- Giải Tiếng Anh 12 Global Success
- Giải sgk Tiếng Anh 12 Smart World
- Giải sgk Tiếng Anh 12 Friends Global
- Lớp 12 Kết nối tri thức
- Soạn văn 12 (hay nhất) - KNTT
- Soạn văn 12 (ngắn nhất) - KNTT
- Giải sgk Toán 12 - KNTT
- Giải sgk Vật Lí 12 - KNTT
- Giải sgk Hóa học 12 - KNTT
- Giải sgk Sinh học 12 - KNTT
- Giải sgk Lịch Sử 12 - KNTT
- Giải sgk Địa Lí 12 - KNTT
- Giải sgk Giáo dục KTPL 12 - KNTT
- Giải sgk Tin học 12 - KNTT
- Giải sgk Công nghệ 12 - KNTT
- Giải sgk Hoạt động trải nghiệm 12 - KNTT
- Giải sgk Giáo dục quốc phòng 12 - KNTT
- Giải sgk Âm nhạc 12 - KNTT
- Giải sgk Mĩ thuật 12 - KNTT
- Lớp 12 Chân trời sáng tạo
- Soạn văn 12 (hay nhất) - CTST
- Soạn văn 12 (ngắn nhất) - CTST
- Giải sgk Toán 12 - CTST
- Giải sgk Vật Lí 12 - CTST
- Giải sgk Hóa học 12 - CTST
- Giải sgk Sinh học 12 - CTST
- Giải sgk Lịch Sử 12 - CTST
- Giải sgk Địa Lí 12 - CTST
- Giải sgk Giáo dục KTPL 12 - CTST
- Giải sgk Tin học 12 - CTST
- Giải sgk Hoạt động trải nghiệm 12 - CTST
- Giải sgk Âm nhạc 12 - CTST
- Lớp 12 Cánh diều
- Soạn văn 12 Cánh diều (hay nhất)
- Soạn văn 12 Cánh diều (ngắn nhất)
- Giải sgk Toán 12 Cánh diều
- Giải sgk Vật Lí 12 - Cánh diều
- Giải sgk Hóa học 12 - Cánh diều
- Giải sgk Sinh học 12 - Cánh diều
- Giải sgk Lịch Sử 12 - Cánh diều
- Giải sgk Địa Lí 12 - Cánh diều
- Giải sgk Giáo dục KTPL 12 - Cánh diều
- Giải sgk Tin học 12 - Cánh diều
- Giải sgk Công nghệ 12 - Cánh diều
- Giải sgk Hoạt động trải nghiệm 12 - Cánh diều
- Giải sgk Giáo dục quốc phòng 12 - Cánh diều
- Giải sgk Âm nhạc 12 - Cánh diều


Giải bài tập SGK & SBT
Tài liệu giáo viên
Sách
Khóa học
Thi online
Hỏi đáp

