Cách tìm tiệm cận của đồ thị hàm số (cực hay)
Bài viết Cách tìm tiệm cận của đồ thị hàm số với phương pháp giải chi tiết giúp học sinh ôn tập, biết cách làm bài tập Cách tìm tiệm cận của đồ thị hàm số.
Cách tìm tiệm cận của đồ thị hàm số (cực hay)
(199k) Xem Khóa học Toán 12 KNTTXem Khóa học Toán 12 CDXem Khóa học Toán 12 CTST
Bài giảng: Cách tìm tiệm cận của đồ thị hàm số - Cô Nguyễn Phương Anh (Giáo viên VietJack)
A. Phương pháp giải & Ví dụ
1. Đường tiệm cận ngang
Cho hàm số y = f(x) xác định trên một khoảng vô hạn (là khoảng dạng (a; +∞),(-∞; -b) hoặc (-∞; +∞). Đường thẳng y = y0 là đường tiệm cận ngang (hay tiệm cận ngang) của đồ thị hàm số y = f(x) nếu ít nhất một trong các điều kiện sau được thỏa mãn
Nhận xét: Như vậy để tìm tiệm cận ngang của đồ thị hàm số ta chỉ cần tính giới hạn của hàm số đó tại vô cực.
2. Đường tiệm cận đứng
Đường thẳng x = x0 được gọi là đường tiệm cận đứng (hay tiệm cận đứng) của đồ thị hàm số y = f(x) nếu ít nhất một trong các điều kiện sau được thỏa mãn
Ví dụ minh họa
Ví dụ 1: Tìm các đường tiệm cận đứng và tiệm cận ngang của đồ thị hàm số sau
Lời giải:
a. Ta có:
là tiệm cận ngang của đồ thị hàm số.
là tiệm cận đứng của đồ thị hàm số.
b. Ta có:
là tiệm cận ngang của đồ thị hàm số.
⇒ Đồ thị hàm số không có tiệm cận đứng
c. Ta có:
⇒ Đồ thị hàm số không có tiệm cận ngang.
⇒ x = 1/2 là tiệm cận đứng của đồ thị hàm số.
Lời giải:
a. Ta có:
⇒ y = 1; y = -1 là tiệm cận ngang của đồ thị hàm số.
Đồ thị hàm số không có tiệm cận đứng.
b. Ta có:
⇒ y = 4; y = 2 là tiệm cận ngang của đồ thị hàm số.
⇒ x = -1 là tiệm cận đứng của đồ thị hàm số.
Ví dụ 3: Tìm các đường tiệm cận đứng và tiệm cận ngang của đồ thị hàm số sau
a. b.
Lời giải:
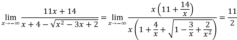
a. Đồ thị hàm số không có tiệm cận đứng
⇒ y = 11/2 là tiệm cận ngang của đồ thị hàm số
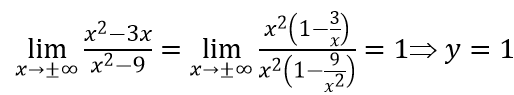
b. Đồ thị hàm số không có tiệm cận đứng
⇒ y = 1 là tiệm cận ngang của đồ thị hàm số.
B. Bài tập vận dụng
Câu 1: Tìm các đường tiệm cận đứng và tiệm cận ngang của đồ thị hàm số
Lời giải:
Ta có
⇒ y = -3 là tiệm cận ngang của đồ thị hàm số.
⇒ x = -2 là tiệm cận đứng của đồ thị hàm số.
Câu 2: Tìm các đường tiệm cận đứng và tiệm cận ngang của đồ thị hàm số
Lời giải:
Ta có
⇒ y = 0 là tiệm cận ngang của đồ thị hàm số.
⇒ x = 2 là tiệm cận đứng của đồ thị hàm số.
Câu 3: Tìm các đường tiệm cận đứng và tiệm cận ngang của đồ thị hàm số
Lời giải:
Ta có
⇒ y = 0 là tiệm cận ngang của đồ thị hàm số.
⇒ x = 1; x = 2 là tiệm cận đứng của đồ thị hàm số.
Câu 4: Tìm các đường tiệm cận đứng và tiệm cận ngang của đồ thị hàm
Lời giải:
Ta có
⇒ y = 1/2; y = -1/2 là tiệm cận ngang của đồ thị hàm số.
Câu 5: Tìm các đường tiệm cận đứng và tiệm cận ngang của đồ thị hàm số
Lời giải:
Đồ thị hàm số không có tiệm cận đứng
⇒ y = 0 là tiệm cận ngang của đồ thị hàm số.
Câu 6: Tìm các đường tiệm cận đứng và tiệm cận ngang của đồ thị hàm số
Lời giải:
Ta có:
⇒ y = 0; y = 2 là tiệm cận ngang của đồ thị hàm số.
⇒ x = 1 là tiệm cận đứng của đồ thị hàm số.
Câu 7: Tìm các đường tiệm cận đứng và tiệm cận ngang của đồ thị hàm số
Lời giải:
Đồ thị hàm số không có tiệm cận đứng
⇒ y = -1 là tiệm cận ngang của đồ thị hàm số.
Câu 1: Ta có
⇒ y = -3 là tiệm cận ngang của đồ thị hàm số.
⇒ x = -2 là tiệm cận đứng của đồ thị hàm số.
Câu 2: Ta có
⇒ y = 0 là tiệm cận ngang của đồ thị hàm số.
⇒ x = 2 là tiệm cận đứng của đồ thị hàm số.
Câu 3: Ta có
⇒ y = 0 là tiệm cận ngang của đồ thị hàm số.
⇒ x = 1; x = 2 là tiệm cận đứng của đồ thị hàm số.
Câu 4: Ta có
⇒ y = 1/2; y = -1/2 là tiệm cận ngang của đồ thị hàm số.
Câu 5: Đồ thị hàm số không có tiệm cận đứng
⇒ y = 0 là tiệm cận ngang của đồ thị hàm số.
Câu 6: Ta có:
⇒ y = 0; y = 2 là tiệm cận ngang của đồ thị hàm số.
⇒ x = 1 là tiệm cận đứng của đồ thị hàm số.
Câu 7: Đồ thị hàm số không có tiệm cận đứng
⇒ y = -1 là tiệm cận ngang của đồ thị hàm số.
C. Bài tập tự luyện
Bài 1. Xác định đường tiệm cận đứng và tiệm cận ngang của hàm số: .
Bài 2. Xác định đường tiệm cận đứng và tiệm cận ngang của hàm số: .
Bài 3. Xác định đường tiệm cận đứng và tiệm cận ngang của hàm số: .
Bài 4. Xác định đường tiệm cận đứng và tiệm cận ngang của hàm số: .
Bài 5. Xác định số đường tiệm cận của hàm số: .
(199k) Xem Khóa học Toán 12 KNTTXem Khóa học Toán 12 CDXem Khóa học Toán 12 CTST
Xem thêm các dạng bài tập Toán lớp 12 ôn thi Tốt nghiệp có lời giải hay khác:
- Trắc nghiệm tìm tiệm cận của đồ thị hàm số
- Dạng 2: Tìm tham số m để hàm số có tiệm cận
- Trắc nghiệm tìm tham số m để hàm số có tiệm cận
- Dạng 3: Các bài toán liên quan đến tiệm cận của hàm số
- Trắc nghiệm về tiệm cận của hàm số
Đã có app VietJack trên điện thoại, giải bài tập SGK, SBT Soạn văn, Văn mẫu, Thi online, Bài giảng....miễn phí. Tải ngay ứng dụng trên Android và iOS.
Theo dõi chúng tôi miễn phí trên mạng xã hội facebook và youtube:Nếu thấy hay, hãy động viên và chia sẻ nhé! Các bình luận không phù hợp với nội quy bình luận trang web sẽ bị cấm bình luận vĩnh viễn.
- Giải Tiếng Anh 12 Global Success
- Giải sgk Tiếng Anh 12 Smart World
- Giải sgk Tiếng Anh 12 Friends Global
- Lớp 12 Kết nối tri thức
- Soạn văn 12 (hay nhất) - KNTT
- Soạn văn 12 (ngắn nhất) - KNTT
- Giải sgk Toán 12 - KNTT
- Giải sgk Vật Lí 12 - KNTT
- Giải sgk Hóa học 12 - KNTT
- Giải sgk Sinh học 12 - KNTT
- Giải sgk Lịch Sử 12 - KNTT
- Giải sgk Địa Lí 12 - KNTT
- Giải sgk Giáo dục KTPL 12 - KNTT
- Giải sgk Tin học 12 - KNTT
- Giải sgk Công nghệ 12 - KNTT
- Giải sgk Hoạt động trải nghiệm 12 - KNTT
- Giải sgk Giáo dục quốc phòng 12 - KNTT
- Giải sgk Âm nhạc 12 - KNTT
- Giải sgk Mĩ thuật 12 - KNTT
- Lớp 12 Chân trời sáng tạo
- Soạn văn 12 (hay nhất) - CTST
- Soạn văn 12 (ngắn nhất) - CTST
- Giải sgk Toán 12 - CTST
- Giải sgk Vật Lí 12 - CTST
- Giải sgk Hóa học 12 - CTST
- Giải sgk Sinh học 12 - CTST
- Giải sgk Lịch Sử 12 - CTST
- Giải sgk Địa Lí 12 - CTST
- Giải sgk Giáo dục KTPL 12 - CTST
- Giải sgk Tin học 12 - CTST
- Giải sgk Hoạt động trải nghiệm 12 - CTST
- Giải sgk Âm nhạc 12 - CTST
- Lớp 12 Cánh diều
- Soạn văn 12 Cánh diều (hay nhất)
- Soạn văn 12 Cánh diều (ngắn nhất)
- Giải sgk Toán 12 Cánh diều
- Giải sgk Vật Lí 12 - Cánh diều
- Giải sgk Hóa học 12 - Cánh diều
- Giải sgk Sinh học 12 - Cánh diều
- Giải sgk Lịch Sử 12 - Cánh diều
- Giải sgk Địa Lí 12 - Cánh diều
- Giải sgk Giáo dục KTPL 12 - Cánh diều
- Giải sgk Tin học 12 - Cánh diều
- Giải sgk Công nghệ 12 - Cánh diều
- Giải sgk Hoạt động trải nghiệm 12 - Cánh diều
- Giải sgk Giáo dục quốc phòng 12 - Cánh diều
- Giải sgk Âm nhạc 12 - Cánh diều


Giải bài tập SGK & SBT
Tài liệu giáo viên
Sách
Khóa học
Thi online
Hỏi đáp

