Tìm tham số m để hàm số có tiệm cận (cực hay)
Bài viết Tìm tham số m để hàm số có tiệm cận với phương pháp giải chi tiết giúp học sinh ôn tập, biết cách làm bài tập Tìm tham số m để hàm số có tiệm cận.
Tìm tham số m để hàm số có tiệm cận (cực hay)
(199k) Xem Khóa học Toán 12 KNTTXem Khóa học Toán 12 CDXem Khóa học Toán 12 CTST
Bài giảng: Cách tìm tiệm cận của đồ thị hàm số - Cô Nguyễn Phương Anh (Giáo viên VietJack)
A. Phương pháp giải & Ví dụ
Ví dụ minh họa
Ví dụ 1.(THPT Chuyên Bảo Lộc – Lâm Đồng 2017). Cho hàm số . Đồ thị hàm số nhận trục hoành và trục tung làm tiệm cận ngang và tiệm cận đứng. Tính giá trị biểu thức P = m + n.
Hướng dẫn
Đồ thị hàm số có tiệm cận ngang y = m + 1 và tiệm cận đứng x = n - 1. Do đó đồ thị hàm số nhận trục tung x = 0 và trục hoành y = 0 làm tiệm cận khi và chỉ khi
Ví dụ 2 (THPT chuyên Thái Nguyên 2017 L2). Tìm m để đồ thị hàm số có hai đường tiệm cận đứng.
Hướng dẫn
Ta có x2 - 3x + 2 = 0 ⇔ x = 1 hoặc x = 2
Để hai đường thẳng x = 1 và x = 2 là đường tiệm cận của đồ thị hàm số thì x = 1 và x = 2 không là nghiệm của tử số mx3 - 2. Tức là:
Ví dụ 3: Tìm tất cả các giá trị của tham số m để đồ thị hàm số có tiệm cận ngang mà không có tiệm cận đứng.
Hướng dẫn
Ta có nên y = 0 là tiệm cận ngang của đồ thị hàm số.
Do đó để đồ thị hàm số có tiệm cận ngang mà không có tiệm cận đứng thì
phương trình x2 - 4x + m = 0 vô nghiệm ⇔ Δ' < 0 ⇔ 4 - m < 0 ⇔ m > 4
B. Bài tập vận dụng
Câu 1: Tìm giá trị của tham số m để đồ thị hàm số nhận đường thẳng y = 1 làm tiệm cận ngang.
Lời giải:
Nghiệm của mẫu thức x = 2. Để đồ thị hàm số có tiệm cận thì x = 2 không là nghiệm của phương trình mx + 1 = 0 hay 2m + 1 ≠ 0 ⇔ m ≠ -1/2
Đường tiệm cận ngang của đồ thị hàm số là y = -m/2
Để đồ thị hàm số nhận y = 1 làm tiệm cận ngang thì -m/2 = 1 ⇔ m = -2 (thỏa mãn)
Vậy giá trị tham số m cần tìm là m = -2
Câu 2: Tìm giá trị của tham số m để đồ thị hàm số nhận đường thẳng x = 1 làm tiệm cận đứng.
Lời giải:
Nghiệm của tử thức x = -1/3. Để đồ thị hàm số có tiệm cận thì x = -1/3 không là nghiệm của phương trình m - 2x = 0 hay m - 2.(-1/3) ≠ 0 ⇔ m ≠ -2/3
Đường tiệm cận đứng của đồ thị hàm số là x = m/2
Để đồ thị hàm số nhận x = 1 làm tiệm cận đứng thì m/2 = 1 ⇔ m = 2
Vậy giá trị tham số m cần tìm là m = 2
Câu 3: Cho hàm số . Đồ thị hàm số nhận đường thẳng x = 2; y = 2 lần lượt là tiệm cận đứng và tiệm cận ngang. Biểu thức 9m2 + 6mn + 36n2 có giá trị là bao nhiêu?
Lời giải:
Để x = 2 làm tiệm đứng của đồ thị hàm số thì x = 2 là nghiệm của mẫu nhưng không là nghiệm của tử hay
Để y = 2 làm tiệm cận ngang của đồ thị hàm số thì m/n = 2 ⇔ m = 2n
Giải hệ
Biểu thức 9m2 + 6mn + 36n2 = 9.(1/3)2 + 6. 1/3.1/6 + 36.(1/6)2 = 7/3
Câu 4:Tìm giá trị của m và n để đồ thị hàm số nhận đường thẳng x = 2 làm tiệm cận đứng và đường thẳng y = 2 làm tiệm cận ngang.
Lời giải:
Để x = 2 làm tiệm đứng của đồ thị hàm số thì x = 2 là nghiệm của mẫu nhưng không là nghiệm của tử hay
Để y = 2 làm tiệm cận ngang của đồ thị hàm số thì m = 2
Vậy m = 2; n = -2
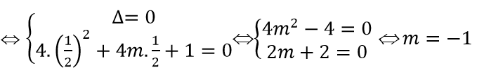
Câu 5: (Sở GD Bắc Giang 2017 L2). Tìm tập hợp các giá trị m để đồ thị hàm số có đúng một đường tiệm cận.
Lời giải:
Ta có nghiệm của tử thức x = 1/2
Vì ⇒ y = 0 là tiệm cận ngang.
Để đồ thị hàm số có đúng một đường tiệm cận thì phương trình 4x^2+4mx+1=0 vô nghiệm hoặc có nghiệm kép và nghiệm đó bằng 1/2
Nếu phương trình 4x2 + 4mx + 1 = 0 vô nghiệm ⇔ Δ' < 0 ⇔ 4m2 - 4 < 0 ⇔ -1 < m < 1
Nếu phương trình 4x2 + 4mx + 1 = 0 có nghiệm kép bằng -1/2
Vậy giá trị của tham số m cần tìm là -1 ≤ m < 1
Câu 6: (THPT Hai Bà Trưng – Huế 2017). Cho hàm số . Tìm tất cả các giá trị tham số m để đồ thị hàm số chỉ có một tiệm cận đứng và một tiệm cận ngang.
Lời giải:
Ta có ⇒ y = 0 là tiệm cận ngang.
Nghiệm của tử thức x = -3
Để đồ thị hàm số chỉ có một tiệm cận đứng và một tiệm cận ngang thì x2 - 6x + m = 0 chỉ có một nghiệm khác -3 hoặc có hai nghiệm phân biệt và một nghiệm bằng -3.
Trường hợp 1: Phương trình x2 - 6x + m = 0 chỉ có một nghiệm khác -3
Trường hợp 2: Phương trình x2 - 6x + m = 0 có hai nghiệm phân biệt và một nghiệm bằng -3.
Vậy giá trị của tham số m cần tìm là m = 9; m = -9.
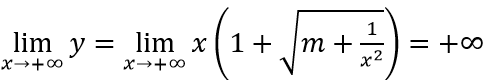
Câu 7: (THPT Chuyên Phan Bội Châu – Nghệ An 2017 L3). Tìm các giá trị của tham số m sao cho đồ thị hàm số có tiệm cận ngang.
Lời giải:
Nếu m = 0 thì y = x + 1. Suy ra đồ thị của nó không có tiệm cận ngang.
Nếu m < 0 thì hàm số xác định, ⇔ mx2 + 1 ≥ 0 ⇔ (-1)/√(-m) ≤ x ≤ 1/√(-m)
Do đó, không tồn tại nên đồ thị hàm số không có tiệm cận ngang.
Với 0 < m < 1 thì
nên đồ thị hàm số không có tiệm cận ngang.
Với m = 1 thì
Suy ra đường thẳng y = 0 là tiệm cận ngang của đồ thị hàm số khi x → -∞
Với m>1 thì
nên đồ thị hàm số không có tiệm cận ngang.
Vậy giá trị của tham số m cần tìm là m = 1
Câu 8: (THPT Chuyên ĐHSPHN 2017) Tìm tập hợp các giá trị thực của m để đồ thị hàm số
có đúng một đường tiệm cận.
Lời giải:
Do nên đồ thị hàm số luôn có tiệm cận ngang y = 0. Để đây là tiệm cận duy nhất của đồ thị thì có hai trường hợp xảy ra
m = 0:) chỉ có tiệm cận ngang là y = 0
m ≠ 0, hai phương trình mx2 - 2x + 1 = 0; 4x2 + 4mx + 1 vô nghiệm. Tức là 1 - m < 0 và 4m2 - 4 < 0 (Vô lí)
Vậy không có giá trị m thỏa mãn
C. Bài tập tự luyện
Bài 1. Cho hàm số y = . Đồ thị hàm số nhận trục hoành và trục tung làm tiệm cận ngang và tiệm cận đứng. Tính giá trị biểu thức P = m + n.
Bài 2. Tìm tất cả các giá trị của tham số m để đồ thị hàm số có tiệm cận ngang mà không có tiệm cận đứng.
Bài 3. Tìm giá trị của tham số m để đồ thị hàm số y = nhận đường thẳng y = 1 làm tiệm cận ngang.
Bài 4. Tìm giá trị của tham số m để đồ thị hàm số y = nhận đường thẳng x = 1 làm tiệm cận đứng.
Bài 5. Cho hàm số y = . Đồ thị hàm số nhận đường thẳng x = 2; y = 2 lần lượt là tiệm cận đứng và tiệm cận ngang. Tính giá trị biểu thức P = 9m2 + 6mn + 36n2.
(199k) Xem Khóa học Toán 12 KNTTXem Khóa học Toán 12 CDXem Khóa học Toán 12 CTST
Xem thêm các dạng bài tập Toán lớp 12 ôn thi Tốt nghiệp có lời giải hay khác:
- Dạng 1: Xác định tiệm cận
- Trắc nghiệm tìm tiệm cận của đồ thị hàm số
- Trắc nghiệm tìm tham số m để hàm số có tiệm cận
- Dạng 3: Các bài toán liên quan đến tiệm cận của hàm số
- Trắc nghiệm về tiệm cận của hàm số
Đã có app VietJack trên điện thoại, giải bài tập SGK, SBT Soạn văn, Văn mẫu, Thi online, Bài giảng....miễn phí. Tải ngay ứng dụng trên Android và iOS.
Theo dõi chúng tôi miễn phí trên mạng xã hội facebook và youtube:Nếu thấy hay, hãy động viên và chia sẻ nhé! Các bình luận không phù hợp với nội quy bình luận trang web sẽ bị cấm bình luận vĩnh viễn.
- Giải Tiếng Anh 12 Global Success
- Giải sgk Tiếng Anh 12 Smart World
- Giải sgk Tiếng Anh 12 Friends Global
- Lớp 12 Kết nối tri thức
- Soạn văn 12 (hay nhất) - KNTT
- Soạn văn 12 (ngắn nhất) - KNTT
- Giải sgk Toán 12 - KNTT
- Giải sgk Vật Lí 12 - KNTT
- Giải sgk Hóa học 12 - KNTT
- Giải sgk Sinh học 12 - KNTT
- Giải sgk Lịch Sử 12 - KNTT
- Giải sgk Địa Lí 12 - KNTT
- Giải sgk Giáo dục KTPL 12 - KNTT
- Giải sgk Tin học 12 - KNTT
- Giải sgk Công nghệ 12 - KNTT
- Giải sgk Hoạt động trải nghiệm 12 - KNTT
- Giải sgk Giáo dục quốc phòng 12 - KNTT
- Giải sgk Âm nhạc 12 - KNTT
- Giải sgk Mĩ thuật 12 - KNTT
- Lớp 12 Chân trời sáng tạo
- Soạn văn 12 (hay nhất) - CTST
- Soạn văn 12 (ngắn nhất) - CTST
- Giải sgk Toán 12 - CTST
- Giải sgk Vật Lí 12 - CTST
- Giải sgk Hóa học 12 - CTST
- Giải sgk Sinh học 12 - CTST
- Giải sgk Lịch Sử 12 - CTST
- Giải sgk Địa Lí 12 - CTST
- Giải sgk Giáo dục KTPL 12 - CTST
- Giải sgk Tin học 12 - CTST
- Giải sgk Hoạt động trải nghiệm 12 - CTST
- Giải sgk Âm nhạc 12 - CTST
- Lớp 12 Cánh diều
- Soạn văn 12 Cánh diều (hay nhất)
- Soạn văn 12 Cánh diều (ngắn nhất)
- Giải sgk Toán 12 Cánh diều
- Giải sgk Vật Lí 12 - Cánh diều
- Giải sgk Hóa học 12 - Cánh diều
- Giải sgk Sinh học 12 - Cánh diều
- Giải sgk Lịch Sử 12 - Cánh diều
- Giải sgk Địa Lí 12 - Cánh diều
- Giải sgk Giáo dục KTPL 12 - Cánh diều
- Giải sgk Tin học 12 - Cánh diều
- Giải sgk Công nghệ 12 - Cánh diều
- Giải sgk Hoạt động trải nghiệm 12 - Cánh diều
- Giải sgk Giáo dục quốc phòng 12 - Cánh diều
- Giải sgk Âm nhạc 12 - Cánh diều


Giải bài tập SGK & SBT
Tài liệu giáo viên
Sách
Khóa học
Thi online
Hỏi đáp

