15 Bài tập Hệ hai phương trình bậc nhất hai ẩn lớp 9 (có đáp án)
Với 15 Bài tập Hệ hai phương trình bậc nhất hai ẩn lớp 9 có lời giải chi tiết sẽ giúp học sinh ôn tập, biết cách làm bài tập Hệ hai phương trình bậc nhất hai ẩn.
15 Bài tập Hệ hai phương trình bậc nhất hai ẩn lớp 9 (có đáp án)
(199k) Xem Khóa học Toán 9 KNTTXem Khóa học Toán 9 CDXem Khóa học Toán 9 CTST
Câu 1: Hệ phương trình có nghiệm duy nhất khi
Lời giải:
Chọn đáp án A
Câu 2: Hệ hai phương trình bậc nhất hai ẩn (các hệ số khác ) vô nghiệm khi
Lời giải:
Chọn đáp án B
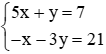
Câu 3: Hệ hai phương trình nhận cặp số nào sau đây là nghiệm
A. (-21; 15)
B. (21; -15)
C. (1; 1)
D. (1; -1)
Lời giải:
Thay lần lượt các cặp số (21; -15); (1; 1); (1; -1); (-21; 15) vào hệ phương trình ta được
Chọn đáp án A
Câu 4: Cặp số (-2; -3) là nghiệm của hệ phương trình nào sau đây ?
Lời giải:
Chọn đáp án C
Câu 5: Không giải hệ phương trình, dự đoán số nghiệm của hệ
A. 0
B. Vô số
C. 1
D. 2
Lời giải:
Tập nghiệm phương trình -2x + y = -3 được biểu diễn bởi đường thẳng -2x + y = -3
Tập nghiệm phương trình 3x – 2y = 7 được biểu diễn bởi đường thẳng 3x – 2y = 7
Ta có ⇒ phương trình có một nghiệm duy nhất
Chọn đáp án C
Câu 6: Không cần vẽ hình, cho biết mỗi hệ phương trình sau có bao nhiêu nghiệm?
A. 1
B. Vô số
C. 0
D. 2
Lời giải:
+ Tập nghiệm của phương trình y = 2x + 10 được biểu diễn bởi đường thẳng d1:y = 2x + 10.
+ Tập nghiệm của phương trình y = x + 100 được biểu diễn bởi đường thẳng d2: y = x + 100.
Lại có: hệ số góc của hai đường thẳng d1; d2 khác nhau (2 ≠ 1) nên hai đường thẳng này cắt nhau.
Suy ra, hệ phương trình đã cho có nghiệm duy nhất.
Chọn đáp án A.
Câu 7: Không vẽ hình, hãy cho biết hệ phương trình sau có bao nhiêu nghiệm?
A. 1
B. Vô số
C. 0
D. 2
Lời giải:
Ta có:
Nên tập nghiệm của phương trình x – 2y + 10 = 0 được biểu diễn bởi đường thẳng (d1):
Nên tập nghiệm của phương trình -3x +6y – 30= 0 được biểu diễn bởi đường thẳng (d2):
Do đó, nên hệ phương trình đã cho có vô số nghiệm.
Chọn đáp án B.
Câu 8: Không vẽ hình, hỏi hệ phương trình sau có bao nhiêu nghiệm:
A. Vô số nghiệm
B. 0
C.1
D. 2
Lời giải:
Ta có:
Nên tập nghiệm của phương trình – 2x + 5y = 10 được biểu diễn bởi đường thẳng (d1):
Nên tập nghiệm của phương trình 16x – 40y = 20 được biểu diễn bởi đường thẳng (d2):
Hai đường thẳng d1; d2 có cùng hệ số góc và có tung độ góc khác nhau nên d1// d2.
Suy ra, hệ phương trình đã cho vô nghiệm.
Chọn đáp án B.
Câu 9: Cho hệ phương trình . Tìm m để hệ phương trình đã cho vô nghiệm
A. m = 3
B. m = 1
C. m = -2
D. m = -1
Lời giải:
Nghiệm phương trình y = 2x + 20 được biểu diễn bởi đường thẳng (d1): y =2x +20.
Nghiệm phương trình y = (2m - 4)x + 10 được biểu diễn bởi đường thẳng (d2): y = (2m – 4)x + 10.
Để hệ phương trình đã cho vô nghiệm khi 2 đường thẳng d1 // d2
Chọn đáp án A.
Câu 10: Cho hệ phương trình . Tìm m để hệ phương trình trên có nghiệm duy nhất?
A. m = 3
B. m = -3
C. m ≠ -3
D. m ≠ 3
Lời giải:
Nghiệm phương trình y = (-2 - m)x + 2 được biểu diễn bởi đường thẳng (d1): y =(-2 - m)x + 2
Nghiệm phương trình y = (m + 4)x + 19 được biểu diễn bởi đường thẳng (d2): y = (m +4)x +19
Để hệ phương trình đã cho có nghiệm duy nhất khi và chỉ khi hai đường thẳng cắt nhau nên:
-2 - m ≠ m + 4 ⇔ -2m ≠ 6 ⇔ m ≠ -3
Chọn đáp án D.
Câu 11: Xác định giá trị của tham số m để hệ phương trình có nghiệm duy nhất
A. m ≠ 2
B. m ≠ −2
C. m = 2
D. m ≠ ± 2
Lời giải:
Để hệ phương trình có nghiệm duy nhất thì
Đáp án cần chọn là: D
Câu 12: Xác định giá trị của tham số m để hệ phương trình có nghiệm duy nhất.
A. m ≠ 0
B. m ≠ 2
C. m ≠ {0;3}
D. m = 0; m = 3
Lời giải:
Nhận thấy hệ này có nghiệm duy nhất vì hai đường thẳng cắt nhau
Để hệ phương trình đã cho có nghiệm duy nhất thì hai đường thẳng:
cắt nhau
Suy ra m ≠ {0; 2; 3}
Kết hợp cả TH1 và TH2 ta có m ≠ {0; 3}
Vậy hệ phương trình đã cho có nghiệm duy nhất khi m ≠ {0; 3}
Đáp án cần chọn là: C
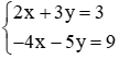
Câu 13: Hệ phương trình nhận cặp số nào sau đây là nghiệm?
A. (−21; 15)
B. (21; −15)
C. (1; 1)
D. (1; −1)
Lời giải:
Thay lần lượt các cặp số (−21; 15); (21; −15); (1; 1) và (1; −1) vào hệ phương trình ta được:
+) Với cặp số (21; −15) thì ta có (vô lý) nên loại B
+) Với cặp số (1; 1) thì ta có (vô lý) nên loại C
+) Với cặp số (1; −1) thì ta có (vô lý) nên loại D
+) Với cặp số (−21; 15) thì ta có (luôn đúng) nên chọn A
Đáp án cần chọn là: A
Câu 14: Hệ phương trình nhận cặp số nào sau đây là nghiệm?
A. (1; 2)
B. (8; −3)
C. (3; −8)
D. (3; 8)
Lời giải:
+) Với cặp số (1; 2) thì ta có (vô lý) nên loại A
+) Với cặp số (8; −3) thì ta có (vô lý) nên loại B
+) Với cặp số (3; 8) thì ta có (vô lý) nên loại D
+) Với cặp số (3; −8) thì ta có (luôn đúng) nên chọn C
Đáp án cần chọn là: C
Câu 15: Cho hệ phương trình . Tìm các giá trị của tham số m để hệ phương trình nhận cặp (1; 2) làm nghiệm
A. m = 0
B. m = −1
C. m = −2
D. m = 3
Lời giải:
Để hệ phương trình nhận cặp (1; 2) làm nghiệm thì
Vậy m = −2
Đáp án cần chọn là: C
(199k) Xem Khóa học Toán 9 KNTTXem Khóa học Toán 9 CDXem Khóa học Toán 9 CTST
Xem thêm lý thuyết và các dạng bài tập Toán lớp 9 có lời giải hay khác:
- Lý thuyết Giải hệ phương trình bằng phương pháp thế (hay, chi tiết)
- Trắc nghiệm Giải hệ phương trình bằng phương pháp thế
- Lý thuyết Giải hệ phương trình bằng phương pháp cộng đại số (hay, chi tiết)
- Trắc nghiệm Giải hệ phương trình bằng phương pháp cộng đại số
- Lý thuyết Giải bài toán bằng cách lập hệ phương trình (hay, chi tiết)
- Trắc nghiệm Giải bài toán bằng cách lập hệ phương trình
Tủ sách VIETJACK luyện thi vào 10 cho 2k11 (2026):
Đã có app VietJack trên điện thoại, giải bài tập SGK, SBT Soạn văn, Văn mẫu, Thi online, Bài giảng....miễn phí. Tải ngay ứng dụng trên Android và iOS.
Theo dõi chúng tôi miễn phí trên mạng xã hội facebook và youtube:Loạt bài Chuyên đề: Lý thuyết - Bài tập Toán lớp 9 Đại số và Hình học có đáp án có đầy đủ Lý thuyết và các dạng bài được biên soạn bám sát nội dung chương trình sgk Đại số 9 và Hình học 9.
Nếu thấy hay, hãy động viên và chia sẻ nhé! Các bình luận không phù hợp với nội quy bình luận trang web sẽ bị cấm bình luận vĩnh viễn.
- Giải Tiếng Anh 9 Global Success
- Giải sgk Tiếng Anh 9 Smart World
- Giải sgk Tiếng Anh 9 Friends plus
- Lớp 9 Kết nối tri thức
- Soạn văn 9 (hay nhất) - KNTT
- Soạn văn 9 (ngắn nhất) - KNTT
- Giải sgk Toán 9 - KNTT
- Giải sgk Khoa học tự nhiên 9 - KNTT
- Giải sgk Lịch Sử 9 - KNTT
- Giải sgk Địa Lí 9 - KNTT
- Giải sgk Giáo dục công dân 9 - KNTT
- Giải sgk Tin học 9 - KNTT
- Giải sgk Công nghệ 9 - KNTT
- Giải sgk Hoạt động trải nghiệm 9 - KNTT
- Giải sgk Âm nhạc 9 - KNTT
- Giải sgk Mĩ thuật 9 - KNTT
- Lớp 9 Chân trời sáng tạo
- Soạn văn 9 (hay nhất) - CTST
- Soạn văn 9 (ngắn nhất) - CTST
- Giải sgk Toán 9 - CTST
- Giải sgk Khoa học tự nhiên 9 - CTST
- Giải sgk Lịch Sử 9 - CTST
- Giải sgk Địa Lí 9 - CTST
- Giải sgk Giáo dục công dân 9 - CTST
- Giải sgk Tin học 9 - CTST
- Giải sgk Công nghệ 9 - CTST
- Giải sgk Hoạt động trải nghiệm 9 - CTST
- Giải sgk Âm nhạc 9 - CTST
- Giải sgk Mĩ thuật 9 - CTST
- Lớp 9 Cánh diều
- Soạn văn 9 Cánh diều (hay nhất)
- Soạn văn 9 Cánh diều (ngắn nhất)
- Giải sgk Toán 9 - Cánh diều
- Giải sgk Khoa học tự nhiên 9 - Cánh diều
- Giải sgk Lịch Sử 9 - Cánh diều
- Giải sgk Địa Lí 9 - Cánh diều
- Giải sgk Giáo dục công dân 9 - Cánh diều
- Giải sgk Tin học 9 - Cánh diều
- Giải sgk Công nghệ 9 - Cánh diều
- Giải sgk Hoạt động trải nghiệm 9 - Cánh diều
- Giải sgk Âm nhạc 9 - Cánh diều
- Giải sgk Mĩ thuật 9 - Cánh diều


Giải bài tập SGK & SBT
Tài liệu giáo viên
Sách
Khóa học
Thi online
Hỏi đáp

