Cách giải Bài tập về mạch điện có biến trở nâng cao cực hay
Bài viết Cách giải Bài tập về mạch điện có biến trở nâng cao với phương pháp giải chi tiết giúp học sinh ôn tập, biết cách làm bài tập Cách giải Bài tập về mạch điện có biến trở nâng cao.
Cách giải Bài tập về mạch điện có biến trở nâng cao cực hay
(199k) Xem Khóa học KHTN 9 KNTTXem Khóa học KHTN 9 CDXem Khóa học KHTN 9 CTST
Phương pháp giải:
+ Áp dụng công thức về tính điện trở của biến trở.
+ Áp dụng định luật Ôm.
Bài tập ví dụ minh họa
Bài 1: Cho mạch điện như hình dưới đây. MN là một sợi dây đồng chất tiết diện đều có điện trở R = 10 Ω; Ro = 3 Ω. Hiệu điện thế UAB = 12 V.
Khi con chạy C ở vị trí mà MC = 0,6 m. Tính điện trở MC của biến trở, tính hiệu điện thế giữa hai điểm AC.
Đáp án: RMC = 6 Ω; UAC = 4V
Lời giải:
Điện trở R1 của đoạn MC của biến trở:
⇒ R1 = 0,6R = 0,6.10 = 6 Ω
Điện trở R2 của đoạn CN của biến trở:
R2 = R – R1 = 10 – 6 = 4 Ω
Điện trở tương đương của đoạn AC
Điện trở tương đương của đoạn mạch AB
RAB = RAC + RCN = 2 + 4 = 6
Cường độ dòng điện qua mạch chính:
Hiệu điện thế giữa hai điểm AC: UAC = RAC.I = 2.2 = 4V
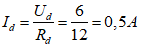
Bài 2: Cho mạch điện có sơ đồ như hình vẽ. Biết UAB = 16,5 V. Hỏi giá trị cực đại của biến trở là bao nhiêu? Biết khi đèn sáng bình thường hiệu điện thế và điện trở của đèn là 6 V và 12 W, cường độ dòng điện qua R2 là 0,2 A.
Đáp án: 75 Ω.
Lời giải:
Gọi 2 phần của biến trở là R1 và R2.
Mạch điện tương đương là:
Sơ đồ mạch là: R1 nt (Đ // R2)
Đèn sáng bình thường thì Ud = 6V; Rd = 12 Ω.
Cường độ dòng điện đi qua bóng đèn khi đó là
Cường độ dòng điện qua R1 là I1 = Id + I2 = 0,5 + 0,2 = 0,7 A.
Vì Đ // R2 nên Ud = U2 = 6V
Điện trở R2 là:
Hiệu điện thế hai đầu R1 là U1 = U – Ud = 16,5 – 6 = 10,5 V
Điện trở R1 là:
Vậy điện trở toàn phần của biến trở là R = R1 + R2 = 35 + 30 = 75 Ω.
Bài 3: Cho mạch điện (như hình vẽ), đèn sáng bình thường. Với Uđm = 6V và Iđm = 0,75 A. Đèn được mắc với biến trở có điện trở lớn nhất bằng 16 Ω và UMN không đổi băng 12V. Tính R1 của biến trở để đèn sáng bình thường ?
Lời giải:
Vẽ lại được mạch điện như sau:
Sơ đồ: (Đ // RAC) nt RCB
Gọi: RAC = R1; RCB = R2
Ta có: RCB = 16 – R1 = R2
Vì đèn sáng bình thường nên Ud = 6V và Id = 0,75A
Suy ra: UAC = Ud = 6V
Vì (Đ // RAC) nt RCB ⇒ Iđ + IAC = ICB
Mà
Ta có phương trình:
Hay:
⇔ R1.(16 - R1) + 8.(16 - R1) = 8R1
⇔ 16R1 – R21 + 128 – 8R1 = 8R1
⇔ R21 = 128 ⇒ R1 = √128
⇔ R1 = 11,3 (Ω)
Vậy phải điều chỉnh con chạy C để RAC = R1 = 11,3 Ω thì đèn sáng bình thường.
Bài tập trắc nghiệm
Bài 1: Cho mạch điện như hình vẽ. Biến trở có điện trở toàn phần Ro = 12 Ω. Đèn loại 6V – 0,5 A; UMN = 15 V.
a) Tìm vị trí con chạy C để đèn sáng bình thường
b) Khi định C dịch chuyển, độ sáng của đèn thay đổi thế nào?
Lời giải:
Mạch điện được vẽ lại như sau:
a) Gọi RAC = x (Ω); điều kiện: 0 < x < 12
thì RCB = 12 - x (Ω)
Vì (Đ // RAC) nt RCB ⇒ Iđ + IAC = ICB và
UAC = Uđ ⇒ UCB = U - Uđ = 15 - 6 = 9 (V)
Áp dụng định luật ôm trong mạch nối tiếp và song song:
⇔ x(12 - x) + 12(12 - x) = 18x
⇔ 12x - 12x2 + 144 - 12x = 18x
⇔ x2 + 18x - 144 = 0
Loại nghiệm x = -24 Ω
Vậy phải điều chỉnh con chạy C để RAC = 6 Ω thì khi đó đèn sáng bình thường.
b) Khi C dịch chuyển dần về A thì Rx giảm dần. Nhưng chưa thể kết luận về độ sáng của đèn thay đổi như thế nào được. Mà phải tìm I qua đèn.
Điện trở của bóng đèn là:
Điện trở tương đương của đoạn mạch là
Cường độ dòng điện trong mạch là:
Dòng điện qua đèn là:
Khi C dịch gần về A làm cho x giảm, dẫn đến (-x + 12 + 144/x) tăng lên ⇒ Iđ giảm đi.
Vậy độ sáng của đèn giảm đi (tối dần) khi dịch C về A.
Đáp án:
a) RAC = 6 Ω
b) Độ sáng của đèn giảm đi (tối dần) khi dịch C về A
Bài 2: Cho mạch điện (như hình vẽ):
AB là biến trở con chạy C có điện trở toàn phần là 120 Ω. Nhờ có biến trở làm thay đổi cường độ dòng điện trong mạch từ 0,9 A đến 4,5 A. Tìm giá trị của điện trở R1 ?
Lời giải:
Vì U không đổi, khi cường độ dòng điện trong mạch nhỏ nhất Imin = 0,9 A
⇒ C ≡ B ⇒ Rtd = R1 + RAB = R1 + 120 (Ω)
Ta có:
Vì U không đổi, khi cường độ dòng điện trong mạch lớn nhất Imax = 4,5 A
⇒ C ≡ A ⇒ RAC = 0 (Ω) ⇒ Rtđ = R1
Ta có:
Từ (2) ta có: U = 4,5 R1 (3)
Thế (3) vào (1) ta được:
⇔ 4,5R1 = 0,9R1 + 108
⇔ 3,6R1 = 108 ⇔ R1 = 30 Ω
⇒ U = 135 V
Vậy R1 = 30 Ω và U = 135 V
Đáp án: R1 = 30 Ω và U = 135 V
Bài 3: Cho mạch điện như hình vẽ:
Biết R1 = 3 Ω; R2 = 6 Ω, AB là biến trở có con chạy C và điện trở toàn phần Ro = 18 Ω. MN không đổi bằng 9 V. Xác định vị trí con chạy C để vôn kế có chỉ số không?
Lời giải:
Khi vôn kế chỉ 0 V ⇒ MN là mạch cần cân bằng.
Ta dùng công thức điện trở: Gọi RAC = x (Ω) (0 < x < 18)
Khi đó: RCB = 18 - x (Ω). Áp dụng công thức:
⇔ 3.(18 - x) = 6x
⇔ 54 - 3x = 6x
⇔ x = 6 Ω
Vậy vị trí con chạy C trên AB sao cho RAC = 6 Ω thì vôn kế chỉ 0 V.
Đáp án: RAC = 6 Ω
Bài 4: Cho mạch điện như hình vẽ:
Biết R1 = 1Ω; R2 = 2 Ω. Điện trở toàn phần của biến trở là 6 Ω. UMN = 9 V.
a) Xác định vị trí con chạy C để ampe kế chỉ số 0.
b) Xác định vị trí con chạy C để hiệu điện thế giữa hai điện trở R1 và R2 bằng nhau.
Lời giải:
Mạch điện được vẽ lại như sau:
a) Để ampe kế chỉ số 0 ⇒ MN là mạch cầu cân bằng
Áp dụng công thức:
Gọi RAC = R3 = x (ĐK: 0 < x < 6)
Ta có: RCB = R4 = 6 - x
Suy ra:
⇔ 6 - x = 2x ⇔ x = 2 Ω
b) Để U1 = U2 thì R1,3 = R2,4 nghĩa là:
⇔ 8x - x2 = 12 - 2x + 12x - 2x2
⇔ x2 - 2x - 12 = 0
Vậy để hiệu điện thế giữa hai đầu R1 và R2 bằng nhau thì vị trí của con chạy C trên AB sao cho RAC = 1 + √13 (Ω)
Đáp án:
a) RAC = 2 (Ω)
b) RAC = 1 + √13 (Ω)
Bài 5: Cho mạch điện như hình vẽ :
Biết Uo = 12 V, Ro là điện trở, R là biến trở am pe kế lí tưởng. Khi con chạy C của biến trở R từ M đến N , ta thấy am pe kế chỉ giá trị lớn nhất I1 = 2 A. Và giá trị nhỏ nhất I2 = 1 A. Bỏ qua điện trở của các dây nối.
Xác định giá trị Ro và R ?
Lời giải:
Sơ đồ mạch:
R0 nt (RCM // RNC) và RMC + RNC = R.
Vì vậy khi ta đặt RMC = x với 0 < x < R ⇒ RCN = R – x
Suy ra:
Khi đó số chỉ của ampe kế là:
+) Khi con chạy C ở M (hoặc ở N) thì RMNC = 0 và lúc đó ampe kế sẽ chỉ giá trị cực đại:
+) Để am pe kế chỉ giá trị nhỏ nhất thì:
phải có giá trị cực đại, ta triển khai RCNM:
Để RMNC có giá trị cực đại bằng R/4 thì:
Tức là con chạy C ở chính giữa của biến trở và
Đáp án: R0 = 6 Ω và R = 24 Ω
Bài 6: Cho mạch điện (như hình vẽ) có 2 vị trí C cách nhau 10 cm, vôn kế đều chỉ 1 V. Cho biết AB có điện trở phân bố đều theo chiều dài, AB = 100cm và điện trở toàn phần của AB là Ro = 18 Ω; R1 = 3Ω; R2 = 6 Ω; RV vô cùng lớn. Tính UMN ?
Lời giải:
Sơ đồ mạch: (R1 nt R2)//(RAC nt RCB).
Khi vôn kế chi 1 V thì UAC = U1 – 1 Hoặc U'AC = U1 + 1.
Các điện trở x và x' tỉ lệ thuận với chiều dài, đoạn CC' ứng với hiệu điện thế UCC'.
Ta có: UCC' = (U1 + 1) - (U1 - 1) = 2 (V)
Suy ra:
Vậy UMN = 20 V
Đáp án: UMN = 20 V
Bài 7: Cho mạch điện (như hình vẽ). AB là biến trở có con chạy C; RA = 0; R1 = 1 Ω; R2 = 2 Ω; Ro = 3 Ω (là điện trở toàn phần của AB). UMN = 4 V.
Xác định vị trí con chạy C để ampe kế chỉ 1 A và có chiều từ D → C ?
Lời giải:
Mạch điện tương đương: (R1 // RAC) nt (R2 // RCB)
Đặt RAC = x (0 < x < 3 ) ⇒ RCB = 3 – x
Điện trở tương đương của mạch: Rtb = R1AC + R2CB
Cường độ dòng điện trong mạch chính là
Hiệu điện thế đoạn R1AC là: U1 = I.R1AC
Cường độ dòng điện qua R1 là:
Cường độ dòng điện qua R2 là:
Cường độ dòng điện qua Ampe kế là 1 A chiều từ D đến C nên ta có:
I1 = I2 + IA ⇒ IA = I1 - I2 = 1
⇔ 2x(5 - x) = 6 + 9x - 3x2
⇔ 10x - 2x2 = 6 + 9x - 3x2
⇔ -x2 - x + 6 = 0
Loại nghiệm âm, ta được x = 2 Ω
Đáp án: RAC = 2 Ω
Bài 8: Cho mạch điện có sơ đồ như hình vẽ bên. Điện trở toàn phần của biến trở là Ro, điện trở của vôn kế rất lớn. Bỏ qua điện trở của ampe kế, các dây nối và sự phụ thuộc của điện trở vào nhiệt độ. Duy trì hai đầu mạch một hiệu điện thế U không đổi. Lúc đầu con chạy C của biến trở đặt gần phía M. Hỏi số chỉ của các dụng cụ đo sẽ thay đổi như thế nào khi dịch chuyển con chạy C về phía N? Hãy giải thích tại sao?
Lời giải:
Khi dịch chuyển con chạy C của biến trở về phía N thì số chỉ của các dụng cụ đo sẽ tăng.
Giải thích:
Gọi x là phần điện trở của đoạn MC của biến trở; IA và UV là số chỉ của ampe kế và vôn kế.
Điện trở tương đương của đoạn mạch:
⇔
Khi dịch con chạy về phía N thì x tăng ⇒
tăng ⇒ Rm giảm
⇒ cường độ dòng điện mạch chính: I = U/Rm sẽ tăng (do U không đổi).
Mặt khác, ta lại có:
⇒
Do đó, khi x tăng thì
giảm và I tăng (c/m ở trên) nên IA tăng.
Đồng thời UV = IA.R cũng tăng (do IA tăng, R không đổi)
Bài 9: Cho mạch điện như hình vẽ: U = 24V và không đổi, R1 là dây dẫn bằng nhôm có chiều dài là 10m và tiết diện là 0,1 mm2, R2 là một biến trở có điện trở toàn phần 20 Ω.
a, Tính điện trở của dây dẫn. Biết ρ = 2,8.10-8 Ω
b, Điều chỉnh để RAC = 15 Ω. Tìm cường độ dòng điện qua R1.
Lời giải:
a) Điện trở dây dẫn:
b) Điện trở toàn mạch:
Cường độ dòng điện qua điện trở R1 là:
Đáp án:
a) R1 = 2,8 Ω
b) I = 3,66 Ω
Bài 10: Cho mạch điện như hình vẽ.
Nguồn điện có hiệu điện thế không đổi U = 8V, Đ là bóng đèn (3V - 3W) có điện trở R1, các điện trở r = 2Ω, R2 = 3Ω, MN là một biến trở có điện trở toàn phần bằng 3, Ampe kế, khóa K và các dây nối có điện trở không đáng kể, coi điện trở của bóng đèn không phụ thuộc vào nhiệt độ.
Mở khóa K. Điều chỉnh vị trí của con chạy C sao cho RCN = 1Ω.
Tìm R1, RAB và số chỉ của Ampe kế khi đó.
Lời giải:
Sơ đồ mạch:
RMC nt (R2 // (RCN nt R1)) nt r
Điện trở của đèn là:
Ta có: RCN = 1Ω; RCM = 2Ω; R1 = 3Ω
RCED = RCN + R1 = 4 Ω
Điện trở tương đương của mạch điện:
RAB = RMC + RCD + r
Cường độ dòng điện trong mạch chính:
UCD = UCED = ICD.RCD
Số chỉ ampe kế:
Đáp án: R1 = 3 Ω; RAB = 40/7 Ω; IA = 0,6 A
Bài tập tự luyện
Bài 1:Hai bóng đèn Đ1 và Đ2 có cùng hiệu điện thế định mức U1 = U2 = 6V, khi sáng bình thường có điện trở tương ứng là R1 = 12Ω, R2 = 8 Ω. Mắc Đ1, Đ2 cùng với một biến trở vào hiệu điện thế không đổi U = 9V để hai đèn sáng bình thường.
Bài 2: Một bóng đèn sáng bình thường với hiệu điện thế định mức là Uđ = 6V và khi đó dòng điện chạy qua đèn có cường độ là Iđ = 0,75A. Mắc bóng đèn này với một biến trở có điện trở lớn nhất là 16Ω vào hiệu điện thế U = 12V.
a) Phải điều chỉnh biến trở có điện trở là bao nhiêu để đèn sáng bình thường nếu mắc bóng đèn nối tiếp với biến trở vào hiệu điện thế U đã cho trên đây?
b) Nếu mắc đèn và biến trở vào hiệu điện thế U đã cho theo sơ đồ dưới đây thì phần điện trở Rđ của biến trở là bao nhiêu để đèn sáng bình thường?
Bài 3:Một biến trở mắc nối tiếp với một điện trở R = 2Ω vào hiệu điện thế 12V. Tìm giá trị của biến trở để hiệu điện thế giữa hai đầu điện trở R bằng 8V?
a) Tính giá trị Rb của biến trở khi hai đèn sáng bình thường?
b) Biến trở này được quấn bằng dây nicrom có điện trở suất 1,10.10-6Ωm và có tiết diện 0,8mm2. Tính độ dài tổng cộng của dây quấn biến trở này, biết rằng nó có giá trị lớn nhất là Rbm = 15 Rb, trong đó Rb là giá trị tính được của câu a trên đây?
Bài 4: Cho mạch điện như hình vẽ. Hiệu điện thế U = 6,8V. Tìm giá của biến trở để cường độ dòng điện chạy qua điện trở bằng 0,4A?
Bài 5: Một bóng đèn khi sáng bình thường có điện trở R1 = 20Ω và cường độ dòng điện chạy qua đèn khi đó bằng 0,5A. Bóng đèn được mắc nối tiếp với một biến trở con chạy dài 10cm có điện trở cực đại bằng 100Ω rồi mắc vào hiệu điện thế U = 30V như hình vẽ. Tìm vị trí con chạy C để đèn sáng bình thường?
Bài 6:Cho mạch điện (như hình vẽ). Đèn loại 6V –3W, UMN = 12 V không đổi.
a) Khi điện trở của biến trở Rx = 20 Ω. Hãy tính công suất tiêu thụ của đèn và cho biết độ sáng của đèn thế nào?
b) Muốn đèn sáng bình thường phải điều chỉnh con chạy cho R’x =?
Bài 7:Một biến trở con chạy có điện trở lớn nhất bằng 30Ω mắc nối tiếp với điện trở R = 10Ω rồi mắc vào hiệu điện thế U = 20V như hình vẽ. Khi con chạy của biến trở ở vị trí chính giữa biến trở thì cường độ dòng điện trong mạch bằng bao nhiêu?
Bài 8: Đèn 1 có ghi (12V, 8W); Đèn 2 có ghi (12V, 6W). Cần mắc hai bóng đèn này với một biến trở vào hiệu điện thế u = 18V để 2 bóng sáng bình thường.
a) Vẽ sơ đồ mạch điện và tính điện trở của biến trở khi đó?
b) Biến trở được quấn bằng hợp kim nikêlin có điện trở suất 0,4.10-6 Ω.m tiết diện tròn chiều dài 8m.Tính đường kính của tiết diện dây dẫn này. Biết hiệu điện thế lớn nhất được phép đặt vào đầu hai biến trở là 48V và khi đó cường độ dòng điện qua điện trở của biến trở là 2,4A.
Bài 9: Cho mạch điện có bóng đèn mắc nối tiếp với điện trở và mắc song song với biển trở có: R1 = 20Ω, đèn (12V-0,5A) vào nguồn điện 33V thấy đèn sáng bình thường.
a) Tính cường độ dòng điện qua R1?
b) Tính điện trở của biến trở khi đó?
c) Khi dịch chuyển con chạy về bên trái thì độ sáng của đèn như thế nào?
Bài 10: Một biến trở mắc song song với điện trở R = 20Ω rồi mắc vào hiệu điện thế 6V thì thấy cường độ dòng điện chạy trong mạch chính bằng 0,5A. Giá trị của biến trở là bao nhiêu?
(199k) Xem Khóa học KHTN 9 KNTTXem Khóa học KHTN 9 CDXem Khóa học KHTN 9 CTST
Xem thêm các dạng bài tập Vật Lí lớp 9 có đáp án và lời giải chi tiết khác:
- Dạng 7: Cách giải Bài tập Định luật Ôm cho đoạn mạch nối tiếp, song song cực hay
- Dạng 8: Cách giải Bài tập Định luật Ôm cho đoạn mạch hỗn hợp cực hay
- Dạng 9: Cách giải Bài tập Định luật Ôm cho mạch cầu cực hay
- Dạng 10: Cách giải Bài tập về mạch điện có biến trở cực hay
- Dạng 12: Phương pháp giải Bài tập về mạch điện có biến trở khó cực hay
- Dạng 13: Cách giải Bài tập tính công, công suất của nguồn điện cực hay
- Dạng 14: Cách giải Bài tập tính công suất định mức của dụng cụ điện cực hay
- Dạng 15: Phương pháp giải Bài tập tính điện năng tiêu thụ cực hay
Xem thêm các loạt bài Để học tốt Vật Lí lớp 9 hay khác:
Tủ sách VIETJACK luyện thi vào 10 cho 2k11 (2026):
Đã có app VietJack trên điện thoại, giải bài tập SGK, SBT Soạn văn, Văn mẫu, Thi online, Bài giảng....miễn phí. Tải ngay ứng dụng trên Android và iOS.
Theo dõi chúng tôi miễn phí trên mạng xã hội facebook và youtube:Loạt bài Lý thuyết - Bài tập Vật Lý 9 có đáp án của chúng tôi được biên soạn bám sát nội dung chương trình Vật Lý lớp 9.
Nếu thấy hay, hãy động viên và chia sẻ nhé! Các bình luận không phù hợp với nội quy bình luận trang web sẽ bị cấm bình luận vĩnh viễn.
- Giải Tiếng Anh 9 Global Success
- Giải sgk Tiếng Anh 9 Smart World
- Giải sgk Tiếng Anh 9 Friends plus
- Lớp 9 Kết nối tri thức
- Soạn văn 9 (hay nhất) - KNTT
- Soạn văn 9 (ngắn nhất) - KNTT
- Giải sgk Toán 9 - KNTT
- Giải sgk Khoa học tự nhiên 9 - KNTT
- Giải sgk Lịch Sử 9 - KNTT
- Giải sgk Địa Lí 9 - KNTT
- Giải sgk Giáo dục công dân 9 - KNTT
- Giải sgk Tin học 9 - KNTT
- Giải sgk Công nghệ 9 - KNTT
- Giải sgk Hoạt động trải nghiệm 9 - KNTT
- Giải sgk Âm nhạc 9 - KNTT
- Giải sgk Mĩ thuật 9 - KNTT
- Lớp 9 Chân trời sáng tạo
- Soạn văn 9 (hay nhất) - CTST
- Soạn văn 9 (ngắn nhất) - CTST
- Giải sgk Toán 9 - CTST
- Giải sgk Khoa học tự nhiên 9 - CTST
- Giải sgk Lịch Sử 9 - CTST
- Giải sgk Địa Lí 9 - CTST
- Giải sgk Giáo dục công dân 9 - CTST
- Giải sgk Tin học 9 - CTST
- Giải sgk Công nghệ 9 - CTST
- Giải sgk Hoạt động trải nghiệm 9 - CTST
- Giải sgk Âm nhạc 9 - CTST
- Giải sgk Mĩ thuật 9 - CTST
- Lớp 9 Cánh diều
- Soạn văn 9 Cánh diều (hay nhất)
- Soạn văn 9 Cánh diều (ngắn nhất)
- Giải sgk Toán 9 - Cánh diều
- Giải sgk Khoa học tự nhiên 9 - Cánh diều
- Giải sgk Lịch Sử 9 - Cánh diều
- Giải sgk Địa Lí 9 - Cánh diều
- Giải sgk Giáo dục công dân 9 - Cánh diều
- Giải sgk Tin học 9 - Cánh diều
- Giải sgk Công nghệ 9 - Cánh diều
- Giải sgk Hoạt động trải nghiệm 9 - Cánh diều
- Giải sgk Âm nhạc 9 - Cánh diều
- Giải sgk Mĩ thuật 9 - Cánh diều


Giải bài tập SGK & SBT
Tài liệu giáo viên
Sách
Khóa học
Thi online
Hỏi đáp

