Phương pháp giải Bài tập về mạch điện có biến trở khó cực hay
Bài viết Phương pháp giải Bài tập về mạch điện có biến trở khó với phương pháp giải chi tiết giúp học sinh ôn tập, biết cách làm bài tập Phương pháp giải Bài tập về mạch điện có biến trở khó.
Phương pháp giải Bài tập về mạch điện có biến trở khó cực hay
(199k) Xem Khóa học KHTN 9 KNTTXem Khóa học KHTN 9 CDXem Khóa học KHTN 9 CTST
Phương pháp giải:
+ Vẽ lại mạch điện.
+ Áp dụng công thức về tính điện trở của biến trở.
+ Áp dụng định luật Ôm.
Bài tập ví dụ minh họa
Bài 1: Cho mạch điện như hình 2.
Biết R = R = 3 Ω, R = 2 Ω, R là biến trở, ampe kế và vôn kế đều lý tưởng, các dây nối và khóa K có điện trở không đáng kể.
1. Điều chỉnh để R = 4Ω.
a) Đặt UBD = 6V, đóng khóa K. Tìm số chỉ ampe kế và vôn kế ?
b) Mở khóa K, thay đổi UBD đến giá trị nào thì vôn kế chỉ 2V ?
2. Giữ UBD = 6V. Đóng khóa K và di chuyển con chạy C của biến trở R từ đầu bên trái sang đầu bên phải thì số chỉ của ampe kế IA thay đổi như thế nào?
Đáp án:
a) IA = 0,36 A, Vôn kế chỉ 0.
b) UBD = 12V
Lời giải:
1. a. Khi khóa K đóng, tìm số chỉ của ampe kế và vôn kế ?
Cường độ dòng điện mạch chính:
Hiệu điện thế giữa hai đầu R1 và R3:
U13 = U1 = U3
Cường độ dòng điện qua R1:
Hiệu điện thế giữa hai đầu R2 và R4:
U24 = U2 = U4
Cường độ dòng điện qua R2:
Do I2 > I1 nên IA = I2 - I1 = 1,18 - 0,82 = 0,36(A)
Vậy dòng điện qua ampe kế có chiều từ N đến M và có cường độ IA = 0,36(A)
Ampe kế có điện trở không đáng kể đã nối tắt M và N ⇒ UMN = 0(V) nên vôn kế chỉ số 0
b) Khi mở K, vôn kế chỉ 2 (V). Xác định UBD = ?
R12 = R1 + R2 = 6 (Ω)
R34 = R3 + R4 = 6 (Ω)
Ta có:
⇒ UBD = 6.Uv = 6.2 = 12 (V)
2. Đóng khóa K và di chuyển con chạy C của biến trở R4 từ đầu bên trái sang đầu bên phải thì số chỉ của ampe kế I4 thay đổi như thế nào ?
Ta có:
Đặt RNC = x
⇒
* Xét hai trường hợp:
- Trường hợp 1: Dòng điện chạy qua ampe kế có chiều từ M đến N.
Khi đó: IA = I1 - I2
Biện luận:
Khi x = 0 thì I = 2 (A)
Khi x tăng thì (7,2 - 3,6.x) giảm; (4,2.x + 3,6) tăng do đó IA giảm.
Khi x = 2
- Trường hợp 2: Dòng điện chạy qua ampe kế có chiều từ N đến M.
Khi đó:
thì
Biện luận:
+ Khi x tăng từ 2 (Ω) trở lên thì 7,2/x và 3,6/x đều giảm do đó IA tăng.
+ Khi x rất lớn (x → +∞) thì 7,2/x và 3,6/x → 0. Do đó IA ≈ 0,86 (A) và cường độ dòng chạy qua điện trở R4 rất nhỏ. Sơ đồ mạch có thể vẽ như hình bên.
Bài 2: Cho mạch điện như hình vẽ, trong đó U = 24V luôn không đổi, R1 = 12 Ω, R2 = 9 Ω, R3 là biến trở, R4 = 6 Ω. Điện trở của ampe kế và các dây dẫn không đáng kể.
a) Cho R3 = 6 Ω. Tìm cường độ dòng điện qua các điện trở R1, R3 và số chỉ của ampe kế.
b) Thay ampe kế bằng vôn kế có điện trở vô cùng lớn.
- Tìm R3 để số chỉ vôn kế là 16V.
- Nếu di chuyển con chạy để R3 tăng lên thì số chỉ của vôn kế thay đổi như thế nào ?
Đáp án:
a) I1 = 2A; I3 = 1 A; IA = 3A
b) R3 = 6 Ω; số chỉ của vôn kế tăng khi R3 tăng
Lời giải:
a) Do RA ≈ 0 nên VC = VB ta chập C với B.
Vẽ lại mạch điện ta có sơ đồ mạch điện tương đương là: [(R3 // R4) nt R2] // R1
Có: U1 = U234 = 24 V
Cường độ dòng điện qua các điện trở và qua ampe kế:
R234 = R2 + R034 = 9 + 3 = 12 Ω
U34 = I2.R34 = 2.3 = 6V
Ia = I1 + I3 = 2 + 1 = 3A
b) Thay ampe kế bằng vôn kế, ta vẽ lại mạch như sau:
- Vì Rv rất lớn nên đoạn mạch CB không có dòng điện chạy qua: [(R1 nt R3)// R2] nt R4
Tìm R3 để số chỉ vôn kế là 16V. Gọi R3 = x
U1 = U - UV = 24 - 16 = 8V
Suy ra:
Ta có: UV = U3 + U4 = I3.R3 + I4.R4 = I1.R3 + I4.R4
⇒ 10x + 84 = 144 suy ra x = 6 Ω.
Vậy để số chỉ của vôn kế là 16V thì R3 = 6 Ω.
- Khi R3 tăng thì điện trở của mạch tăng
⇒ I = I4 = U/Rtd giảm ⇒ U4 = I.R4 giảm
⇒ U2 = U – U4 tăng ⇒ I2 = U2/R2 tăng ⇒ I1 = I – I2 giảm
⇒ U1 = I1.R1 giảm ⇒ UV = U – U1 tăng.
Vậy số chỉ của vôn kế tăng khi R3 tăng.
Bài 3: Cho mạch điện như hình vẽ. Biết R1 = R3 = 30Ω; R2 = 10Ω; R4 là một biến trở. Hiệu điện thế giữa hai điểm A và B là UAB = 18V không đổi. Bỏ qua điện trở của dây nối và của ampe kế.
a) Cho R4 = 10Ω. Tính điện trở tương đương của đoạn mạch AB và cường độ dòng điện mạch chính khi đó?
b) Phải điều chỉnh biến trở có điện trở bằng bao nhiêu để ampe kế chỉ 0,2A biết dòng điện chạy qua ampe kế có chiều từ C đến D?
Đáp án:
a) Rtd = 20 Ω; I = 0,9 A
b) R4 ≈ 4,3 Ω
Lời giải:
a) Do ampe kế có điện trở không đáng kể nên ta chập C với D
Mạch điện được mắc như sau: (R1 // R3) nt (R2 // R4)
Vì R1 = R3 = 30 Ω nên R13 = 15 Ω
Vì R2 = R4 = 10 Ω nên R24 = 5 Ω
Vậy điện trở tương đương của mạch điện là:
RAB = R13 + R24 = 15 + 5 = 20 (Ω)
Cường độ dòng điện mạch chính là:
b) Vẽ chiều dòng điện như sơ đồ sau:
Gọi I là cường độ dòng điện chạy trong mạch chính
Do ampe kế có điện trở không đáng kể nên ta chập C với D
Mạch điện được mắc như sau: (R1 // R3) nt (R2 // R4)
Do R1 = R3 nên I1 = I3 = I/2
(vì R2 // R4 nên
)
Cường độ dòng điện qua ampe kế là :
Điện trở của mạch điện là:
Cường độ dđ mạch chính:
Thay (2) vào (1) rồi rút gọn ta được R4 = 30/7 ≈ 4,3 (Ω)
Bài tập trắc nghiệm
Bài 1: Cho mạch điện như hình vẽ (Hình 3). UAB = 90V; R1 = 40 Ω; R2 = 90Ω; R4 = 20Ω; R3 là một biến trở. Bỏ qua điện trở của ampe kế, dây nối và khoá K.
a) Khi mở khóa K và điều chỉnh cho R3 = 30Ω. Tính điện trở tương đương của đoạn mạch AB và số chỉ của ampe kế.
b) Tìm R3 để số chỉ của ampe kế khi K mở bằng 3 lần số chỉ của ampe kế khi K đóng.
Tóm tắt
UAB = 90V; R1 = 40 Ω; R2 = 90 Ω; R4 = 20 Ω; R3 là một biến trở.
Lời giải:
a, Khi K mở đoạn mạch được vẽ lại:
UAD = IAB.RAD = 48,96 V
+ Số chỉ của ampe kế khi khoá K mở
b) Tìm R3 để số chỉ của ampe kế khi K mở bằng 3 lần số chỉ của ampe kế khi K đóng.
Ta có: khi K mở:
Khi K đóng:
Từ (1) và (2): IAm = 3IAd
Suy ra: R3 ≈ 13,2 Ω (loại nghiệm âm).
Bài 2: Bốn điện trở R1, R2, R3, R4 được mắc vào đoạn mạch AB như hình bên. Đặt vào hai đầu của đoạn mạch một hiệu điện thế UAB = +12 V. Biết R1 = 6 Ω; R2 = R3 = 3 Ω, R4 = 1 Ω.
1. Mắc vào N và B một vôn kế có điện trở rất lớn. Tính cường độ dòng điện qua các điện trở và số chỉ của vôn kế.
2. Thay R3 bằng một ampe kế có điện trở nhỏ không đáng kể, mắc vào N và B một biến trở Rx. Thay đổi Rx để am pe kế chỉ 1 A. Xác định giá trị của Rx khi đó.
Tóm tắt
UAB = +12 V. Biết R1 = 6 Ω; R2 = R3 = 3 Ω, R4 = 1 Ω.
Lời giải:
1. Do vôn kế có điện trở rất lớn nên dòng qua vôn kế coi như bằng không.
Mạch điện gồm: [R1 // (R2 nt R3)] nt R4
R23 = R2 + R3 = 6 Ω;
→ RAB = R123 + R4 = 4 Ω
U1 = UAC = I.R123 = 9 V
UNB = UNM + UMB = I3.R3 + I4.R4 = 7,5 V
Vậy vôn kế chỉ 7,5 V.
2. Sơ đồ mạch: (R1 // R2) nt (R4 // Rx).
Ta có:
Điện trở tương đương của đoạn mạch là:
RAB = R12 + R4x
Cường độ dòng điện chạy qua mạch chính là:
Cường độ dòng điện chạy qua điện trở R1 và R4 lần lượt là:
Trường hợp 1: Dòng điện đi từ N đến M:
Giải được Rx = 1,2 Ω
Trường hợp 2: Dòng điện đi từ M đến N:
Giải được Rx = 2/11 Ω
Bài 3: Cho mạch điện như hình vẽ. Hiệu điện thế U = 8 V, các điện trở r = 2 W, R2 = 3 W, điện trở của đèn là R1 = 3 W, ampe kế coi là lí tưởng.
Cho mạch điện như hình vẽ. Hiệu điện thế U = 8 V, các điện trở r = 2 W, R2 = 3 W, điện trở của đèn là R1 = 3 W, ampe kế coi là lí tưởng.
a) Khoá K mở, di chuyển con chạy C người ta nhận thấy khi điện trở của phần AC của biến trở AB có giá trị 1 Ω thì đèn tối nhất. Tính điện trở toàn phần của biến trở.
b) Mắc một biến trở khác thay vào chỗ của biến trở đã cho và đóng khóa K. Khi điện trở của phần AC bằng 6 Ω thì ampe kế chỉ 5/3 A. Tính giá trị toàn phần của biến trở mới.
Tóm tắt
U = 8 V, các điện trở r = 2 W, R2 = 3 W, điện trở của đèn là R1 = 3 W,
Lời giải:
Gọi điện trở toàn phần của biến trở là R, điện trở phần AC là x
Khi K mở ta có mạch như hình vẽ, điện trở toàn mạch:
Cường độ dòng điện qua đèn:
Khi đèn tối nhất thì I1 nhỏ nhất hay mẫu số lớn nhất
. Theo đề bài x = 1 Ω.
→ R = 3 Ω.
Khi K đóng ta có mạch như hình vẽ, điện trở toàn mạch:
(R' là điện trở toàn phần của biến trở mới)
Cường độ dòng điện mạch chính:
Cường độ dòng điện qua BC:
⇒ R' = 12 Ω
Đáp án:
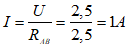
Bài 4: Cho mạch điện như hình vẽ. Đặt vào hai đầu mạch hiệu điện thế không đổi U = 2,5V, các điện trở R0 = 0,5Ω; R1 = 1Ω; R2 = 2Ω; R3 = 6Ω; R4 = 0,5Ω; R5 là biến trở có giá trị lớn nhất là 2,5Ω. Bỏ qua điện trở của ampe kế và dây nối.
a) Cho R5 = 0,5Ω, tìm tổng trở của mạch điện, số chỉ của ampe kế và cho biết chiều dòng điện qua ampe kế.
b) Với giá trị nào của biến trở R5 thì ampe kế A chỉ giá trị lớn nhất.
Tóm tắt
U = 2,5V; các điện trở R0 = 0,5Ω; R1 = 1Ω; R2 = 2Ω; R3 = 6Ω; R4 = 0,5Ω; R5 là biến trở có giá trị lớn nhất là 2,5Ω
Lời giải:
Mạch được vẽ lại như sau:
Với R5 = 0,5Ω ta có:
R45 = R4 + R5 = 1Ω
Vậy RAB = R145 + R23 + R0 = 2,5Ω
Theo định luật Ôm dòng qua mạch chính
UAD = I.R145 = 0,5.1 = 0,5Ω
Vậy:
UCB = I.R23 = 1.1,5 = 1,5V = U2 = U3
Vậy:
Xét tại nút D vì I2 > I1 nên dòng qua ampe kế theo chiều từ C đến D
Vậy dòng qua ampe kế: IA = I2 - I1 = 0,5 - 0,25 = 0,25A
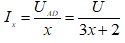
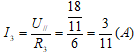
b. Giả sử giá trị của R5 ứng với ampe kế chỉ cực đại là x.
Ta có: R45 = R5 + 0,5 = x
Có: RAB = R145 + R23 + R0
Cường độ dòng điện qua mạch chính:
Giả sử dòng qua ampe kế có chiều từ D → C
Có IA = Ix – I3
UAD = I.R145
Dòng qua R4 và R5:
UCB = I.R23
Dòng qua R3:
Vậy dòng qua ampe kế.
Từ (*) ta thấy IAmax khi 3x + 2 đạt cực tiểu, khi đó xmin
Mà x = 0,5 + R5 ≥ 0,5
Mà IA ≥ 0 nên x ≤ 3
Vậy 0,5 ≤ x ≤ 3
Vậy ta có xmin = 0,5Ω vậy R5 = 0
Vậy với giá trị R5 = 0 Ω thì dòng qua ampe kế đạt giá trị cực đại.
Bài 5: Cho mạch điện như hình vẽ, trong đó U = 24V, R1 = 12Ω; R2 = 9Ω; R3 là biến trở; R4 = 6Ω. Ampe kế có điện trở không đáng kể.
a. Cho R3 = 6Ω, tìm cường độ dòng điện qua các điện trở R1, R2 và số chỉ của Ampe kế.
b. Thay Ampe kế bằng vôn kế có điện trở vô cùng lớn. Tìm R3 để số chỉ của vôn kế là 16 V. Nếu R3 tăng thì số chỉ của vôn kế tăng hay giảm ? giải thích ?
Lời giải:
Chập điểm C với B ta vẽ lại mạch như sau:
Sơ đồ mạch: R1 // [R2 nt (R3 // R4)]
Cường độ dòng điện qua R1 là:
Điện trở cụm R234 là:
Cường độ dòng điện qua R2 là:
Hiệu điện thế hai đầu R34: U34 = U – I2.R2 = 6 V
Cường độ dòng điện qua R3 là:
Cường độ dòng điện qua ampe kế là: IA = I1 + I3 = 3 (A)
b) Thay ampe kế bằng vôn kế, ta vẽ lại mạch:
Sơ đồ mạch: [(R1 nt R3) // R2] nt R4.
U1 = U – UV = 24 – 16 = 8 (V)
Cường độ dòng điện qua R1 là:
Mặt khác:
Mà: UV = U3 + U4 = I3.R3 + I4.R4 = I1.R3 + I.R4
Hay:
⇒ R3 = 6 Ω
Giải thích:
Khi R3 tăng thì Rtd tăng ⇒ I giảm ⇒ I4 giảm ⇒ U4 giảm.
Vì U2 = U – U4; U4 giảm nên U2 tăng (U không đổi) ⇒ I2 tăng; mà I1 = I – I2 ⇒ I1 giảm ⇒ U1 giảm
UV = U – U1; U1 giảm ⇒ UV tăng.
Bài 6: Cho mạch điện như hình vẽ 6.2. R = 50 Ω, R1 = 12 Ω, R2 = 10 Ω, hai vôn kế V1, V2 có điện trở rất lớn, khóa K và dây nối có điện trở không đáng kể, UAB không đổi.
a) Để số chỉ của 2 Vôn kế bằng nhau, phải đặt con chạy C ở vị trí nào?
b) Để số chỉ của V1, V2 không thay đổi khi K đóng cũng như khi k mở, thì phải đặt C ở vị trí nào?
c) Biết U = 22V, tính CĐDĐ đi qua khóa K, Khi K đóng khi U1 = U2 và khi U1 = 12V.
Lời giải:
a) Hai vôn kế có điện trở rất lớn, nên khi đóng K, dòng điện chỉ qua hai đoạn mạch AMC và CMB. Vì cùng một dòng điện đi qua cả 2 đoạn mạch, nên để số chỉ của hai vôn kế bằng nhau, thì điện trở của hai đoạn mạch ấy phải bằng nhau.
- Gọi k là tỷ số điện trở của hai đoạn mạch AC và AB, thì điện trở của AC ( đối với R) là AC = k.R = 50k, của CB là: CB = (1-k).R = (1-k).50 và điện trở hai đoạn mạch AC và CB là:
- Đặt RAC = RCB (đối với mạch), ta có phương trình:
⇔ 5k2 – 17k + 6 = 0 (1)
- Giải (1) ta được k1 = 0,4; k2 = 3.
- Vì k phải nhỏ hơn 1 nên k2 = 3 (loại) ⇒ k = 0,4 ⇒ RAC = 20Ω (đối với điện trở R)
b) Để số chỉ của các vôn kế V1, V2 không thay đổi khi k đóng cũng như khi k ngắt, thì cầu phải cân bằng, tức là RAC, RCB phải thoả mãn điều kiện:
Vậy phải đặt C ở vị trí ứng với: RAC = 6R/11 = 27,27 (Ω)
c) Tính cường độ dòng điện:
* Khi U1 = U2 = 11V, thì theo phần a) AC = 20Ω, CB = 30Ω (đối với điện trở R).
- Điện trở của hai đoạn mạch AC và CB là:
RAC = 7,5Ω, RCB = 7,5Ω (Tính theo công thức phần a)
- Cường độ dòng điện mạch chính là:
I = U1/RAC = U2/RCB = 4,4/3 (A)
- Cường độ dòng điện qua R1 và R2 lần lượt là:
Ta thấy I2 > I1. Vậy dòng điện qua khoá k theo chiều từ C đến M và có cường độ:
Ik = I2 – I1 = 0,183A
* Khi U1 = 12V thì U2 = 10V, con chạy C ở vị trí C' sao cho:
RAC'/RC'B = 12/10 = 6/5
- Ta lại thấy đó chính là điệu kiện của cầu cân bằng. Vậy khi k đóng không có dòng điện qua khoá k.
Bài 7: Cho mạch điện như hình vẽ. Biết UAB = 10V; R1 = 2 Ω; Ra = 0Ω; RV vô cùng lớn; RMN = 6 Ω. Con chạy đặt ở vị trí nào thì ampe kế chỉ 1A. Lúc này vôn kế chỉ bao nhiêu?
Lời giải:
Sơ đồ mạch: (R1 // RMD) nt RDN
* Vì điện trở của ampe kế Ra = 0 nên:
UAC = UAD = U1 = I1R1 = 2.1 = 2 (V) (Ampe kế chỉ dòng qua R1)
* Gọi điện trở phần MD là x thì:
* Giải ra được x = 2 Ω. Con chạy phải đặt ở vị trí chia MN thành hai phần MD có giá trị 2 Ω và DN có giá trị 4 Ω. Lúc này vôn kế chỉ 8 vôn (Vôn kế đo UDN).
Bài 8: Cho mạch điện như hình 1. Nguồn điện có hiệu điện thế không đổi U = 3V. Các điện trở R1 = 1Ω, R2 = 2Ω, R3 = 6Ω. Biến trở có giá trị lớn nhất Rb = 6Ω. Bỏ qua điện trở các ampe kế và dây nối.
1. Tính số chỉ các ampe kế khi:
a) Con chạy C của biến trở ở vị trí B.
b) Con chạy C của biến trở ở vị trí A.
2. Dịch chuyển con chạy C của biến trở đến một vị trí nào đó thì thấy ampe kế A2 chỉ 0,3A.
a) Xác định vị trí con chạy C.
b) Tính số chỉ ampe kế A1.
Lời giải:
1. a) Khi C ở B. Mạch gồm (Rb nt R1). Ampe kế A2 đo I cả mạch.
Rtđ = Rb + R1 = 6 + 1 = 7(Ω)
Vậy A2 chỉ 0,43(A) còn A1 chỉ 0(A).
b) Khi C ở A. Mạch gồm R1 nt (Rb // R2 // R3)
Ampe kế A1 đo IA1 = I – Ib
Ampe kế A2 đo IA2 = I – I2
Ta có:
⇒ R// = 1,2(Ω)
Rtđ = R// + R1 = 1,2 + 1 = 2,2(Ω)
Ampe kế A1 chỉ:
Ampe kế A2 chỉ:
2. a) Gọi RBC là x (Ω) ⇒ RCA = 6 - x (Ω)
Mạch gồm R1 nt (RBC // R2 // R3) nt RCA
Ta có: Rtđ = R// + RCA + R1
(mà IA2 = 0,3A)
⇔ 2x2 – 9x + 9 = 0 ⇒ x = 3(Ω) và x = 1,5(Ω)(T/m)
Như vậy con chạy C ở vị trí sao cho RBC = 3 hoặc RBC = 1,5 .
b. * Với x = 3(Ω)
(1) ⇒ I = 0,6(A)
(2) ⇒ U// = 0,6(V)
IA1 = I - IBC = 0,6 - 0,2 = 0,4 (A). Ampe kế A1 chỉ 0,4A.
* Với x = 1,5( )
(1) I = 0,48(A)
(2) U// = 0,36(V)
IA1 = I - IBC = 0,48 - 0,24 = 0,24 (A). Ampe kế A1 chỉ 0,24A.
Bài 9: Cho mạch điện như hình vẽ: Hiệu điện thế ở hai đầu đoạn mạch UAB = 70V các điện trở R1 = 10 Ω, R2 = 60Ω, R3 = 30Ω và biến trở Rx
1. Điều chỉnh biến trở Rx = 20 Ω. Tính số chỉ của vôn kế và ampe kế khi:
a) Khóa K mở.
b) Khóa K đóng.
2. Đóng khóa K, Rx bằng bao nhiêu để vônkế và ampe kế đều chỉ số không?
3. Đóng khóa K, ampe kế chỉ 0,5A. Tính giá trị của biến trở Rx khi đó. Cho rằng điện trở của vôn kế là vô cùng lớn và điện trở của ampe kế là không đáng kể.
Lời giải:
1. a) Khi K mở không có dòng điện qua ampe kế. Ampe kế chỉ số không.
Sơ đồ thu gọn (R1 nt R2) // (R3 nt Rx)
Ta có: I1 = I2 = I12 = U/(R1 + R2) = 1 (A)
I3 = Ix = I3x = U/(R3 + Rx) = 1,4 (A)
Vôn kế đo hiệu điện thế giữa hai điểm C và D mà UAD = UAC + UCD
⇔ UCD = UAD - UAC ⇔ UCD = UAD - UAC
⇔ UCD = I1.R1 – I2.R2 = 1.10 - 1,4.30 = -32 V
⇔ UDC = 32 V.
b) Khi khóa K đóng, điểm C được nối tắt với điểm D nên vôn kế chỉ số không.
Mạch điện trở thành: (R1 // R2) nt (R3 // Rx)
Điện trở tương đương:
Cường độ dòng điện
⇔ UAC = I. RCD = 3,11.7,5 = 23,32 V
⇔
Ta có I1 > I2 ⇔ dòng điện chạy theo chiều từ C đến D qua ampe kế và có độ lớn:
IA = 2,332 – 0,76 = 1,55 (A).
2. Khóa K đóng mà dòng điện không đi qua ampe kế ⇔ Mạch cầu cân bằng:
3. Đóng khóa K mạch trở thành: (R1 // R2) nt (R3 // Rx)
Điện trở tương đương:
Dòng điện qua mạch chính:
Hiệu điện thế giữa hai đầu AC :
UAC = I.RAC
Cường độ dòng điện qua điện trở R1:
Hiệu điện thế giữa hai đầu CB:
UCB = UAB – UAC
Dòng điện qua điện trở R2:
* Trường hợp dòng điện có cường độ 0,5A qua ampe kế theo chiều từ C đến D.
Ta có: I1 = I2 + IA
⇔
⇔ 6(3150 + 52,5Rx) = 10(450 + 67,5Rx) – 6(525 + 8,75Rx)
⇔ 307,5.Rx = 17550 ⇔ Rx = 57,1 (Ω) (thỏa mãn)
* Trường hợp dòng điện có cường độ 0,5A qua ampe kế theo chiều từ D đến C:
Ta có: I1 = I2 + IA
⇔
⇔ 6(3150 + 52,5Rx) = 4(450 + 67,5Rx) – 6(525 + 8,75Rx)
⇔ -97,5.Rx = 20250
⇔ Rx = -207,7 (Ω)
Ta thấy Rx < 0 (Loại)
Kết luận: Biến trở có giá trị Rx = 57,1 (Ω) thì dòng điện qua ampe kế có cường độ 0,5 (A).
Bài 10: Cho mạch điện có sơ đồ như hình vẽ. Biết: U = 12 V, R1 = 15Ω, R2 = 10 Ω, R3 = 12 Ω; R4 là biến trở. Bỏ qua điện trở của ampe kế và của dây nối.
a) Điều chỉnh cho R4 = 8 Ω. Tính cường độ dòng điện qua ampe kế.
b) Điều chỉnh R4 sao cho dòng điện qua ampe kế có chiều từ M đến N và có cường độ là 0,2 A. Tính giá trị của R4 tham gia vào mạch điện lúc đó.
Lời giải:
Ta xét tỉ số:
⇒ Mạch cầu cân bằng ⇒ IA = 0.
b) IA = I1 – I3 =
⇒ U12 = 8 (V) và U34 = 4 (V)
⇒ I4 = I2 + IA =
= 0,8 + 0,2 = 1 (A)
Bài tập tự luyện
Bài 1: Hai bóng đèn Đ1 và Đ2 có cùng hiệu điện thế định mức U1 = U2 = 6V, khi sáng bình thường có điện trở tương ứng là R1 = 12Ω, R2 = 8 Ω. Mắc Đ1, Đ2 cùng với một biến trở vào hiệu điện thế không đổi U = 9V để hai đèn sáng bình thường.
a) Vẽ sơ đồ mạch điện và tính giá trị Rb của biến trở khi hai đèn sáng bình thường?
b) Biến trở này được quấn bằng dây nicrom có điện trở suất 1,10.10-6Ωm và có tiết diện 0.8mm2. Tính độ dài tổng cộng của dây quấn biến trở này, biết rằng nó có giá trị lớn nhất là Rbm = 15Rb, trong đó Rb là giá trị tính được của câu a?
Bài 2:Trong mạch điện có sơ đồ vẽ như hình bên dưới, nguồn điện có hiệu điện thế không đổi 12V.
a) Điều chỉnh con chạy của biến trở để vôn kế chỉ 6V thì ampe kế chỉ 0,5 A. Hỏi khi đó biến trở có điện trở là bao nhiêu?
b) Phải điều chình biến trở có điện trở là bao nhiêu để vôn kế chỉ 4,5 V?
Bài 3: Cho mạch điện như hình vẽ. Với UAB = 12V; R1 = 6 Ω; R2 = 12 Ω; R3 = 8 Ω; R4 = 24 Ω; RA =0.
a) Khi khóa K mở. Tính RAB và chỉ số ampe kế?
b) Khi khóa K đóng. Tìm Rx để Px lớn nhất?
Bài 4: Cho mạch điện MN như hình vẽ dưới đây, hiệu điện thế ở hai đầu mạch điện không đổi UMN = 7V, các điện trở R1 = 3Ω và R2 = 6Ω, AB là một dây dẫn điện có chiều dài 1,5m; tiết diện không đổi S = 0,1mm2, điện trở suất; điện trở của ampe kế A và các dây nối không đáng kể.
a) Tính điện trở của dây dẫn AB?
b) Dịch chuyển con chạy C sao cho AC = BC.Tính cường độ dòng điện qua ampe kế?
c) Xác định vị trí con chạy C để Ia = A.
Bài 5:Cho đoạn mạch điện như hình. Với R1 = 10 Ω; R2 = 50 Ω; R3 = 40 Ω. Điện trở của ampe kế và dây nối không đáng kể. Hiệu điện thế giữa hai điểm MN được giữ không đổi.
a) Cho điện trở của biển trở Rx = 0 ta thấy ampe kế chỉ 1,0A. Tính cường độ dòng điện qua mỗi điện trở và hiệu điện thế giữa hai điểm MN?
b) Cho điện trở của biến trở một giá trị nào đó ta thấy ampe kế chỉ 0,8A. Tính cường độ dòng điện qua mỗi điện trở và qua biến trở.
Bài 6:Cho mạch điện như hình vẽ.
Nguồn điện có hiệu điện thế không đổi U = 8V, Đ là bóng đèn (3V – 3W) có điện trở R1, các điện trở r = 2Ω, R2 = 3Ω, MN là một biến trở có điện trở toàn phần bằng 3Ω, ampe kế, khóa K và các dây nối có điện trở không đáng kể, coi điện trở của bóng đèn không phụ thuộc vào nhiệt độ.Mở khóa K. Điều chỉnh vị trí của con chạy C sao cho RCN = 1Ω.Tìm R1, RAB và số chỉ của ampe kế khi đó.
Bài 7: Cho mạch điện như hình vẽ. Biết R3 = 4Ω, R1 = R2 = 12Ω, R4 = 10Ω. Ampe kế có điện trở RA = 1Ω, Ry là một biến trở. Hiệu điện thế hai đầu đoạn mạch U có giá trị không thay đổi. Bỏ qua điện trở của khóa K và các dây nối.
a) K đóng. Cho Ry thay đổi đến khi công suất trên Ry đạt giá trị cực đại thì ampe kế chỉ 3A. Tính U, Py-max và giá trị của Ry khi đó.
b) K mở. Giữ nguyên giá trị của Ry như câu trên. Tìm số chỉ của ampe kế khi đó và tính hiệu điện thế UBM.
Bài 8: Cho mạch điện như hình vẽ: Biết UAB = 10V không đổi, vôn kế có điện trở rất lớn. R1 = 4Ω; R2 = 8Ω; R3 = 10Ω; R4 là một biến trở đủ lớn.
a) Biết vôn kế chỉ 0V. Tính R4.
b) Biết UCD = 2V. Tính R4.
c) Thay vôn kế bằng ampe kế có điện trở không đáng kể, dòng điện chạy qua ampe kế có chiều từ C đến D. Tính R4 để số chỉ của Ampe kế là 400 mA.
Bài 9:Cho mạch điện như hình vẽ:
Biết R1 = 1Ω; R2 = 2 Ω. Điện trở toàn phần của biến trở là 6 Ω. UMN = 9 V.
a, Xác định vị trí con chạy C để ampe kế chỉ số 0.
b, Xác định vị trí con chạy C để hiệu điện thế giữa hai điện trở R1 và R2 bằng nhau.
Bài 10: Cho mạch điện như hình dưới đây. MN là một sợi dây đồng chất tiết diện đều có điện trở R = 10 Ω; R0 = 3 Ω. Hiệu điện thế UAB = 12 V.
Khi con chạy C ở vị trí mà MC = 0,6 m. Tính điện trở MC của biến trở, tính hiệu điện thế giữa hai điểm AC.
(199k) Xem Khóa học KHTN 9 KNTTXem Khóa học KHTN 9 CDXem Khóa học KHTN 9 CTST
Xem thêm các dạng bài tập Vật Lí lớp 9 có đáp án và lời giải chi tiết khác:
- Dạng 7: Cách giải Bài tập Định luật Ôm cho đoạn mạch nối tiếp, song song cực hay
- Dạng 8: Cách giải Bài tập Định luật Ôm cho đoạn mạch hỗn hợp cực hay
- Dạng 9: Cách giải Bài tập Định luật Ôm cho mạch cầu cực hay
- Dạng 10: Cách giải Bài tập về mạch điện có biến trở cực hay
- Dạng 11: Cách giải Bài tập về mạch điện có biến trở nâng cao cực hay
- Dạng 13: Cách giải Bài tập tính công, công suất của nguồn điện cực hay
- Dạng 14: Cách giải Bài tập tính công suất định mức của dụng cụ điện cực hay
- Dạng 15: Phương pháp giải Bài tập tính điện năng tiêu thụ cực hay
Xem thêm các loạt bài Để học tốt Vật Lí lớp 9 hay khác:
Tủ sách VIETJACK luyện thi vào 10 cho 2k11 (2026):
Đã có app VietJack trên điện thoại, giải bài tập SGK, SBT Soạn văn, Văn mẫu, Thi online, Bài giảng....miễn phí. Tải ngay ứng dụng trên Android và iOS.
Theo dõi chúng tôi miễn phí trên mạng xã hội facebook và youtube:Loạt bài Lý thuyết - Bài tập Vật Lý 9 có đáp án của chúng tôi được biên soạn bám sát nội dung chương trình Vật Lý lớp 9.
Nếu thấy hay, hãy động viên và chia sẻ nhé! Các bình luận không phù hợp với nội quy bình luận trang web sẽ bị cấm bình luận vĩnh viễn.
- Giải Tiếng Anh 9 Global Success
- Giải sgk Tiếng Anh 9 Smart World
- Giải sgk Tiếng Anh 9 Friends plus
- Lớp 9 Kết nối tri thức
- Soạn văn 9 (hay nhất) - KNTT
- Soạn văn 9 (ngắn nhất) - KNTT
- Giải sgk Toán 9 - KNTT
- Giải sgk Khoa học tự nhiên 9 - KNTT
- Giải sgk Lịch Sử 9 - KNTT
- Giải sgk Địa Lí 9 - KNTT
- Giải sgk Giáo dục công dân 9 - KNTT
- Giải sgk Tin học 9 - KNTT
- Giải sgk Công nghệ 9 - KNTT
- Giải sgk Hoạt động trải nghiệm 9 - KNTT
- Giải sgk Âm nhạc 9 - KNTT
- Giải sgk Mĩ thuật 9 - KNTT
- Lớp 9 Chân trời sáng tạo
- Soạn văn 9 (hay nhất) - CTST
- Soạn văn 9 (ngắn nhất) - CTST
- Giải sgk Toán 9 - CTST
- Giải sgk Khoa học tự nhiên 9 - CTST
- Giải sgk Lịch Sử 9 - CTST
- Giải sgk Địa Lí 9 - CTST
- Giải sgk Giáo dục công dân 9 - CTST
- Giải sgk Tin học 9 - CTST
- Giải sgk Công nghệ 9 - CTST
- Giải sgk Hoạt động trải nghiệm 9 - CTST
- Giải sgk Âm nhạc 9 - CTST
- Giải sgk Mĩ thuật 9 - CTST
- Lớp 9 Cánh diều
- Soạn văn 9 Cánh diều (hay nhất)
- Soạn văn 9 Cánh diều (ngắn nhất)
- Giải sgk Toán 9 - Cánh diều
- Giải sgk Khoa học tự nhiên 9 - Cánh diều
- Giải sgk Lịch Sử 9 - Cánh diều
- Giải sgk Địa Lí 9 - Cánh diều
- Giải sgk Giáo dục công dân 9 - Cánh diều
- Giải sgk Tin học 9 - Cánh diều
- Giải sgk Công nghệ 9 - Cánh diều
- Giải sgk Hoạt động trải nghiệm 9 - Cánh diều
- Giải sgk Âm nhạc 9 - Cánh diều
- Giải sgk Mĩ thuật 9 - Cánh diều


Giải bài tập SGK & SBT
Tài liệu giáo viên
Sách
Khóa học
Thi online
Hỏi đáp

