Cách giải bài tập về máy ảnh nâng cao cực hay
Bài viết Cách giải bài tập về máy ảnh nâng cao với phương pháp giải chi tiết giúp học sinh ôn tập, biết cách làm bài tập Cách giải bài tập về máy ảnh nâng cao.
Cách giải bài tập về máy ảnh nâng cao cực hay
(199k) Xem Khóa học KHTN 9 KNTTXem Khóa học KHTN 9 CDXem Khóa học KHTN 9 CTST
Phương pháp giải:
Học sinh cần nắm được kiến thức về cấu tạo máy ảnh, Sự tạo ảnh trên phim, công thức thấu kính (thấu kính hội tụ) và số phóng đại của ảnh
1. Máy ảnh
* Cấu tạo:
- Gồm hai bộ phận chính: vật kính, buồng tối. Ngoài ra trong máy ảnh còn có cửa điều chỉnh độ sáng và cửa sập, chỗ đặt phim.
- Vật kính của máy ảnh là một thấu kính hội tụ.
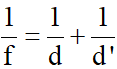
2. Công thức thấu kính hội tụ
- Ảnh thật
và
3. Số phóng đại của ảnh
- Số phóng đại của ảnh:
h' = k .h
- Trong đó: d là khoảng cách từ vật đến vật kính
d’ là khoảng cách từ phim đến vật kính
h là chiều cao của vật
h’ là chiều cao của ảnh trên phim
Ví dụ minh họa
Ví dụ 1. Một máy ảnh có vật kính là thấu kính hội tụ có tiêu cự 9cm. Để có thể chụp được ảnh của một vật cách máy ảnh 90cm thì khoảng cách giữa vật kính và phim là:
A. 9cm
B. 9,5cm
C. 10cm
D. 10,5cm
Lời giải:
Đáp án: C
Khi chụp ảnh thì ảnh của vật trên phim là ảnh thật
Áp dụng công thức
khoảng cách giữa vật kính và phim là:
=> d' = 10 (cm)
Ví dụ 2. Người thợ ảnh điều chỉnh khoảng cách từ phim đến vật kính của máy ảnh để chụp hình một chiếc xe đạp. Biết tiêu cự của vật kính là 10cm và khoảng cách từ phim đến vật kính là 10,8cm. Khoảng cách từ máy ảnh đến chiếc xe đạp là:
A. 135cm
B. 136cm
C. 137cm
D. 138cm
Lời giải:
Đáp án: A
Khi chụp ảnh thì ảnh của vật trên phim là ảnh thật
Áp dụng công thức
Khoảng cách từ máy ảnh đến chiếc xe đạp là:
=> d = 135 (cm)
Ví dụ 3. Khi chụp ảnh chân dung của Nam thì chú thợ ảnh phải điều chỉnh khoảng cách từ vật kính đến phim là 10,5cm. Sau khi chụp xong, Nam thấy ảnh của mình trên phim cao 4,5cm. Biết chiều cao thực của Nam là 1,62m. Tính khoảng cách từ máy ảnh đến Nam khi chụp ảnh.
Lời giải:
Số phóng đại của ảnh:
Ta lại có
Đs: 378cm
Bài tập trắc nghiệm
Câu 1. Một chiếc máy ảnh có vật kính là thấu kính hội tụ tiêu cự 5cm. Người ta chỉnh khoảng cách từ vật kính đến phim là 6cm, và giữ cố định khoảng cách này. Nếu dùng máy ảnh này để chụp ảnh thì vật phải cách máy ảnh:
A. 11cm
B. 20cm
C. 30cm
D. 40cm
Lời giải:
Đáp án: C
Khi chụp ảnh thì ảnh của vật trên phim là ảnh thật
Áp dụng công thức
Khoảng cách từ máy ảnh đến vật là:
=> d = 30 (cm)
Câu 2. Khoảng cách từ vật kính đến phim là 8,2cm, và do máy ảnh bị hỏng nên không thể điều chỉnh khoảng cách này được. Biết tiêu cự của vật kính là 8cm. Một người dùng máy ảnh này để chụp hình một chiếc cốc ở trên bàn. Ban đầu máy ảnh và cốc cách nhau 3m. Để chụp được hình rõ nét thì phải dịch chuyển máy ảnh:
A. Lại gần cốc thêm 28cm
B. Ra xa cốc thêm 28cm
C. Lại gần cốc thêm 45cm
D. Ra xa cốc thêm 45cm
Lời giải:
Đáp án: B
Khi chụp ảnh thì ảnh của vật trên phim là ảnh thật
Áp dụng công thức
Khoảng cách từ máy ảnh đến vật là:
=> d = 328 (cm)
Vậy phải điều chỉnh máy ảnh ra xa cái cốc: 328 − 300 = 28 (cm)
Câu 3. Dùng máy ảnh có vật kính là thấu kính hội tụ tiêu cự 5,5 cm để chụp ảnh. Vật phải cách máy ảnh bao nhiêu để ảnh hiện trên phim cách vật kính 5,6 cm.
A. 20,4cm
B. 24,5cm
C. 28,2cm
D. 30,8cm
Lời giải:
Đáp án: D
Để ảnh hiện trên phim cách vật kính 5,6 cm thì khoảng cách từ ảnh đến vật kính bằng 5,6cm
Áp dụng công thức
Khoảng cách từ máy ảnh đến vật là:
=> d = 30,8 (cm)
Câu 4. Một người dùng một máy ảnh có vật kính là một thấu kính hội tụ có tiêu cự 10cm để chụp ảnh một chiếc xe cách xa 25m. Để chụp được ảnh thì người đó phải điều chỉnh khoảng cách từ vật kính đến phim là:
A. 12,05cm
B. 11,67cm
C. 10,04cm
D. 9,56cm
Lời giải:
Đáp án: C
Áp dụng công thức
Câu 5. Chiếc máy ảnh mà chú Hưng dùng có vật kính là thấu kính hội tụ tiêu cự 4cm. Để chụp được một bức hình với số phóng đại k = 0,02 thì khoảng cách từ vật đến máy ảnh là:
A. 204cm
B. 205cm
C. 206cm
D. 207cm
Lời giải:
số phóng đại k = 0,02
Áp dụng công thức
khoảng cách từ vật đến máy ảnh là:
d = 50d' = 50 . 4,08 = 204 (cm)
Câu 6. Dùng máy ảnh để chụp ảnh một vật cách máy ảnh 6m. Biết khi chụp ảnh thì khoảng cách từ phim đến vật kính là 7,3cm. Tính tiêu cự của vật kính.
Lời giải:
Khi chụp ảnh thì ảnh của vật trên phim là ảnh thật
Áp dụng công thức
Tiêu cự của vật kính là
Tiêu cự của vật kính là 7cm
Câu 7. Vật kính của một chiếc máy ảnh có tiêu cự là 12cm. Để chụp được rõ nét một quyển sách thì người ta phải chỉnh cho khoảng cách từ phim đến vật kính là 13cm. Hỏi quyển sách cách máy ảnh bao xa?
Lời giải:
Khi chụp ảnh thì ảnh của quyển sách trên phim là ảnh thật
Áp dụng công thức
Khoảng cách từ máy ảnh đến quyển sách là:
=> d = 156 (cm)
Vậy quyển sách cách máy ảnh 156cm
Câu 8. Người ta sử dụng một máy ảnh có vật kính là một thấu kính hội tụ có tiêu cự 5cm để chụp ảnh một cái cây. Để số phóng đại k = 0,01 thì người chụp phải đứng cách cái cây bao xa?
Lời giải:
Số phóng đại của ảnh:
Áp dụng công thức
Khoảng cách từ người chụp ảnh đến cái cây là: 100.5,05 = 505 (cm)
Đs: 505cm
Câu 9. Máy ảnh mà bạn Linh sử dụng có vật kính là thấu kính hội tụ tiêu cự 10cm. Linh dùng máy ảnh này để chụp hình bố của mình. Biết bố của Linh cao 1,75m. Muốn chiều cao của ảnh trên phim là 5cm thì bố của Linh phải đứng cách máy ảnh bao xa?
Lời giải:
Số phóng đại của ảnh:
Ta lại có
Áp dụng công thức
bố của Linh phải đứng cách máy ảnh:
Đs: 360cm
Câu 10. Vật kính của máy ảnh có tiêu cự f = 8 cm. Do cấu tạo của máy nên khoảng cách giữa vật kính và phim có thể thay đổi từ 8cm tới 8,2cm. Máy ảnh này có thể chụp các vật cách máy bao xa?
Lời giải:
Khi khoảng cách từ vật kính đến phim là 8cm thì phim trùng với tiêu điểm của thấu kính nên có thể chụp ảnh những ở rất xa (xa vô cùng)
Khi khoảng cách từ vật kính đến phim là 8,2cm thì tức là ảnh của vật cách thấu kính 8,2cm => d’=8,2cm
Áp dụng công thức
=> d = 328 cm = 3,28 m
Vật máy ảnh có thể chụp ảnh những vật cách máy ảnh từ 3,28m đến rất xa.
(199k) Xem Khóa học KHTN 9 KNTTXem Khóa học KHTN 9 CDXem Khóa học KHTN 9 CTST
Xem thêm các dạng bài tập Vật Lí lớp 9 có đáp án và lời giải chi tiết khác:
- Dạng 8: Cách vẽ ảnh của vật qua thấu kính phân kì cực hay
- Dạng 9: Phương pháp giải bài tập xác định tiêu cự của thấu kính cực hay
- Dạng 10: Cách giải bài tập xác định vị trí của vật đến thấu kính cực hay
- Dạng 11: Cách giải bài tập xác định vị trí của ảnh qua thấu kính cực hay
- Dạng 12: Cách xác định hệ số phóng đại của ảnh qua thấu kính cực hay
- Dạng 13: Phương pháp giải bài tập về kính lúp cực hay
- Dạng 14: Cách xác định hệ số phóng đại của ảnh qua kính lúp cực hay
- Dạng 15: Phương pháp giải bài tập về máy ảnh cực hay
Xem thêm các loạt bài Để học tốt Vật Lí lớp 9 hay khác:
Tủ sách VIETJACK luyện thi vào 10 cho 2k11 (2026):
Đã có app VietJack trên điện thoại, giải bài tập SGK, SBT Soạn văn, Văn mẫu, Thi online, Bài giảng....miễn phí. Tải ngay ứng dụng trên Android và iOS.
Theo dõi chúng tôi miễn phí trên mạng xã hội facebook và youtube:Loạt bài Lý thuyết - Bài tập Vật Lý 9 có đáp án của chúng tôi được biên soạn bám sát nội dung chương trình Vật Lý lớp 9.
Nếu thấy hay, hãy động viên và chia sẻ nhé! Các bình luận không phù hợp với nội quy bình luận trang web sẽ bị cấm bình luận vĩnh viễn.
- Giải Tiếng Anh 9 Global Success
- Giải sgk Tiếng Anh 9 Smart World
- Giải sgk Tiếng Anh 9 Friends plus
- Lớp 9 Kết nối tri thức
- Soạn văn 9 (hay nhất) - KNTT
- Soạn văn 9 (ngắn nhất) - KNTT
- Giải sgk Toán 9 - KNTT
- Giải sgk Khoa học tự nhiên 9 - KNTT
- Giải sgk Lịch Sử 9 - KNTT
- Giải sgk Địa Lí 9 - KNTT
- Giải sgk Giáo dục công dân 9 - KNTT
- Giải sgk Tin học 9 - KNTT
- Giải sgk Công nghệ 9 - KNTT
- Giải sgk Hoạt động trải nghiệm 9 - KNTT
- Giải sgk Âm nhạc 9 - KNTT
- Giải sgk Mĩ thuật 9 - KNTT
- Lớp 9 Chân trời sáng tạo
- Soạn văn 9 (hay nhất) - CTST
- Soạn văn 9 (ngắn nhất) - CTST
- Giải sgk Toán 9 - CTST
- Giải sgk Khoa học tự nhiên 9 - CTST
- Giải sgk Lịch Sử 9 - CTST
- Giải sgk Địa Lí 9 - CTST
- Giải sgk Giáo dục công dân 9 - CTST
- Giải sgk Tin học 9 - CTST
- Giải sgk Công nghệ 9 - CTST
- Giải sgk Hoạt động trải nghiệm 9 - CTST
- Giải sgk Âm nhạc 9 - CTST
- Giải sgk Mĩ thuật 9 - CTST
- Lớp 9 Cánh diều
- Soạn văn 9 Cánh diều (hay nhất)
- Soạn văn 9 Cánh diều (ngắn nhất)
- Giải sgk Toán 9 - Cánh diều
- Giải sgk Khoa học tự nhiên 9 - Cánh diều
- Giải sgk Lịch Sử 9 - Cánh diều
- Giải sgk Địa Lí 9 - Cánh diều
- Giải sgk Giáo dục công dân 9 - Cánh diều
- Giải sgk Tin học 9 - Cánh diều
- Giải sgk Công nghệ 9 - Cánh diều
- Giải sgk Hoạt động trải nghiệm 9 - Cánh diều
- Giải sgk Âm nhạc 9 - Cánh diều
- Giải sgk Mĩ thuật 9 - Cánh diều


Giải bài tập SGK & SBT
Tài liệu giáo viên
Sách
Khóa học
Thi online
Hỏi đáp

