Phương pháp giải bài tập xác định tiêu cự của thấu kính cực hay
Bài viết Phương pháp giải bài tập xác định tiêu cự của thấu kính với phương pháp giải chi tiết giúp học sinh ôn tập, biết cách làm bài tập Phương pháp giải bài tập xác định tiêu cự của thấu kính.
Phương pháp giải bài tập xác định tiêu cự của thấu kính cực hay
(199k) Xem Khóa học KHTN 9 KNTTXem Khóa học KHTN 9 CDXem Khóa học KHTN 9 CTST
Phương pháp giải:
Học sinh cần nắm được kiến thức về định lí Ta – lét và công thức thấu kính.
1. Định lý Ta-lét trong tam giác.
Nếu một đường thẳng song song với một cạnh của tam giác và cắt hai cạnh còn lại thì nó định ra trên hai cạnh đó những đoạn thẳng tương ứng tỉ lệ.
2. Thấu kính hội tụ
- Ảnh thật
Ảnh ảo
3. Thấu kính phân kì
Trong đó: d là khoảng cách từ vật đến thấu kính
d’ là khoảng cách từ ảnh đến thấu kính
f là tiêu cự của thấu kính
Ví dụ minh họa
Ví dụ 1
Một vật sáng AB đặt trước thấu kính hội tụ có tiêu cự f, vuông góc với trục chính của thấu kính hội tụ, điểm A nằm trên trục chính. Vật sáng AB qua thấu kính cho ảnh thật A’B’. Chứng minh rằng
Lời giải:
AB//A’B’ áp dụng định lí Ta-lét ta có
Tứ giác OABI là hình bình hành ( vì có AB//OI, BI//AO) có một góc vuông là góc A, vậy là hình chữ nhật, và cho ta: OI=AB.
A’B’ // OI. Áp dụng định lí Ta-lét ta có
Từ (1) và (2) suy ra:
Ví dụ 2
Một thấu kính hội tụ có tiêu cự f. Đặt một vật AB trước thấu kính, cho AB vuông góc với trục chính, cách thấu kính một khoảng OA < f. Đặt OA = d, khoảng cách từ thấu kính đến ảnh cách thấu kính là d’. Chứng minh:
Lời giải:
Tứ giác OABI là hình bình hành( vì có AB//OI, BI//AO) có một góc vuông là góc A, vậy là hình chữ nhật, và cho ta: OI=AB.
AB//A’B’ áp dụng định lí Ta-lét ta có
A’B’ // OI. Áp dụng định lí Ta-lét ta có
(2)
Từ (1) và (2) suy ra:
Ví dụ 3
Một vật sáng AB đặt trước thấu kính phân kì có tiêu cự f, trên trục chính và vuông góc với thấu kính, cách thấu kính một khoảng OA=d. Gọi d’=OA’ là khoảng cách từ thấu kính đến ảnh A’B’. Chứng minh rằng:
Lời giải:
Tứ giác OABI là hình bình hành( vì có AB//OI, BI//AO) có một góc vuông là góc A, vậy là hình chữ nhật, và cho ta: OI=AB.
AB//A’B’ áp dụng định lí Ta-lét ta có
A’B’ // OI. Áp dụng định lí Ta-lét ta có
(2)
Từ (1) và (2) suy ra:
Bài tập trắc nghiệm
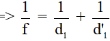
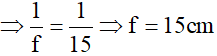
Câu 1. Một tia sáng chiếu đến thấu kính hội tụ. Tia sáng có phương song song trục chính của thấu kính, tia ló cắt trục chính tại một điểm cách quang tâm O của thấu kính 15cm. Tiêu cự của thấu kính này là:
A. 7,5cm
B. 15cm
C. 30cm
D. 10cm
Lời giải:
Đáp án: B
Tia sáng có phương song song trục chính của thấu kính thì tia ló cắt trục chính tại tiêu điểm F’ của thấu kính. Vì vậy tiêu cự của thấu kính là 15cm.
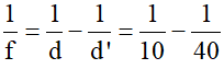
Câu 2. Một điểm sáng S đặt trước thấu kính phân kì L cho ảnh S’. Biết khoảng cách từ vật và ảnh đến thấu kính là 24cm và 6cm. Tiêu cự của thấu kính là:
A. 6cm
B. 7cm
C. 8cm
D. 9cm
Lời giải:
Đáp án: C
Áp dụng công thức thấu kính phân kì
Câu 3. Một điểm sáng S đặt trước thấu kính hội tụ L và cách thấu kính 20cm. Trên màn chắn cách thấu kính 12cm người ta thu được ảnh S’. Tiêu cự của thấu kính là:
A. 12cm
B. 9,5cm
C. 10cm
D. 7,5cm
Lời giải:
Đáp án: D
Vì ảnh S’ có thể hứng được trên màn chắn, nên S’ là ảnh thật.
Áp dụng công thức:
Câu 4. Một điểm sáng S đặt trước thấu kính hội tụ L và cách thấu kính 10cm. Ảnh của S qua thấu kính L là ảnh ảo và cách thấu kính 30cm. Tiêu cự của thấu kính là:
A. 30cm
B. 20cm
C. 15cm
D. 12cm
Lời giải:
Đáp án: C
Vì ảnh là ảnh ảo. Áp dụng công thức thấu kính hội tụ với ảnh ảo ta có
Câu 5. Vật sáng AB đặt vuông góc với trục chính của một thấu kính hội tụ và cách thấu kính 10cm. Ảnh ảo A’B’ của vật qua thấu kính cao gấp 4 lần vật. Tiêu cự của thấu kính là:
A. 13,3cm
B. 14,2cm
C. 15,5cm
D. 16cm
Lời giải:
Đáp án: A
ảnh cao gấp 4 lần vật nên khoảng cách từ ảnh đến thấu kính gấp 4 lần khoảng cách từ vật đến thấu kính
=> d' = 40 cm
Vì ảnh là ảnh ảo. Áp dụng công thức thấu kính hội tụ với ảnh ảo ta có
Câu 6. Qua thấu kính hội tụ, vật AB có ảnh là A'B' có độ lớn bằng vật. Hỏi tiêu cự của thấu kính trên bằng bao nhiêu? Biết rằng ảnh A'B' cách thấu kính một khoảng d' = 16 cm.
Lời giải:
Ảnh có độ lớn bằng vật nên đây là ảnh thật và khoảng cách từ ảnh đến thấu kính bằng khoảng cách từ vật đến thấu kính. Suy ra d = 16cm
Áp dụng công thức:
=> f = 8 cm
Vậy tiêu cự thấu kính là 8cm
Câu 7. Vật sáng AB đặt vuông góc với trục chính của một thấu kính hội tụ và cách thấu kính 15cm tạo ảnh A’B’ ngược chiều với vật. Biết A’B’ = 4AB. Không sử dụng công thức thấu kính, em hãy vẽ hình và xác định tiêu cự của thấu kính.
Lời giải:
ảnh A’B’ ngược chiều với vật nên đây là ảnh thật
ΔA’OB’ ~ ΔAOB
=> OA' = 4 . OA' = 60cm
- ΔOF’I ~ ΔA’F’B’
=>
Thay A’B’ = 4AB và OA’ = 60cm vào (1)
=> OF' = 20cm
Vậy tiêu cự của thấu kính là 20cm
Câu 8. Vật sáng AB đặt vuông góc với trục chính của một thấu kính hội tụ và cách thấu kính 12cm tạo ảnh A’B’ cao gấp 3 lần vật và cùng chiều với vật. Không sử dụng công thức thấu kính, em hãy vẽ hình và xác định tiêu cự của thấu kính.
Lời giải:
Vì ảnh lớn hơn vật và cùng chiều với vật, nên ảnh này là ảnh ảo
ΔA’OB’~ ΔAOB
− ΔOF’I ~ ΔA’F’B’
=> F’A’ = 3.OF’
=> F’O + OA’ = 3.OF’ => OA’ = 2.OF’
=> OF’ = 18cm
Câu 9. Đặt vật AB cao 12cm vuông góc với trục chính của một thấu kính hội tụ (A nằm trên trục chính) và cách thấu kính 24cm thì thu được một ảnh thật cao 4cm. Vẽ hình và tính tiêu cự của thấu kính. (không sử dụng công thức thấu kính)
Lời giải:
Khoảng cách từ ảnh đến thấu kính hội tụ là:
ΔOAB ~ ΔOA'B' suy ra
Xét hai tam giác OIF' và A'B'F' ta có:
OIF' ~ A'B'F' Do OI = AB nên:
Do OI = AB nên:
=> OF' = f = 6 (cm)
Vậy tiêu cự của thấu kính là 6cm
Câu 10. Một vật sáng AB dạng đoạn thẳng được đặt tại một vị trí trước một thấu kính hội tụ, sao cho AB vuông góc với trục chính của thấu kính và A nằm trên trục chính. Qua thấu kính ta thu được một ảnh thật lớn gấp 2 lần vật. Sau đó, giữ nguyên vị trí vật AB và dịch chuyển thấu kính dọc theo trục chính, theo chiều ra xa vật một đoạn 10cm, thì thấy ảnh của nó cũng dịch chuyển đi một đoạn 10cm so với vị trí ảnh ban đầu. Tính tiêu cự f của thấu kính.
Lời giải:
Gọi ảnh của AB qua thấu kính lúc ban đầu là A’B’. Ảnh của AB qua thấu kính lúc sau là A’’B’’.
- Gọi khoảng cách từ vật đến thấu kính lúc đầu và lúc sau là d và d1, khoảng cách từ ảnh đến thấu kính lúc đầu và lúc sau là d’ và d’1.
Ban đầu vật cho ảnh thật nên d > f. Mà d1 = d + 10 suy ra d1 > f. Hay ảnh A’’B’’ cũng là ảnh thật.
Áp dụng công thức thấu kính hội tụ với ảnh thật ta có
Ban đầu ảnh cao gấp 2 lần vật
=> d' = 2d
Ta có:
(1)
- Sau khi dịch thấu kính 10cm thì : d1 = d + 10.
Giả sử ảnh A''B'' di chuyển ra xa thấu kính 10cm => d’1 = d’
Thay vào (*)
(*) và (**) mâu thuẫn nhau
Vậy ảnh A’’B’’ dịch chuyển lại gần thấu kính hơn
O’A” = OA’ - 10 - 10 = OA’ - 20
hay: d1' = d' - 20 =2d -20
.Ta có phương trình:
- từ (1) và (2) suy ra
=> 3d2 - 300 = 3d2 - 10d
=> d = 30
Thay vào (1)
=> f = 20cm
Vậy tiêu cự thấu kính là 20cm
Bài tập tự luyện
Bài 1: Đặt một vật sáng AB vuông góc với trục chính của một thấu kính hội tụ, A nằm trên trục chính, ta thu được ảnh A1 B1 rõ nét trên màn cách thấu kính 15 cm. Sau đó giữ nguyên vị trí thấu kính, dịch chuyển vật dọc theo trục chính lại gần thấu kính một đoạn a, thì thấy phải dời màn ảnh đi một đoạn b = 5 cm mới thu được ảnh rõ nét A2 B2 trên màn. Biết A2 B2 = 2A1 B1. Tính tiêu cự của thấu kính và tính khoảng cách giữa a và tiêu cự của thấu kính?
Bài 2: Hai vật sáng A1B1 và A2 B2 cao bằng nhau và bằng h được vuông góc với trục chính xy (A1 & A2 € xy ) và ở hai bên của một thấu kính (L). Ảnh của hai vật tạo bởi thấu kính ở cùng một vị trí trên xy. Biết OA1 = d1; OA2 = d2.
a) Thấu kính trên là thấu kính gì?
b) Tính tiêu cự của thấu kính và độ lớn của các ảnh theo h; d1 và d2?
Bài 3: Một chùm song song có đường kính D = 5 cm được chiếu tới thấu kính phân kì O1 sao cho tia trung tâm của chùm sáng trùng với trục chính của thấu kính. Sau khi khúc xạ qua thấu kính này là một hình tròn sáng có đường kính D1 = 7 cm trên màn chắn E đặt vuông góc với trục chính và cách thấu kính phân kì một khoảng L.
a) Nếu thay thấu kính phân kì bằng thấu kính hội tụ O2 có cùng tiêu cự và nằm ngay vị trí của thấu kính phân kì thì trên màn chắn E thu được hình tròn sáng có đường kính là bao nhiêu?
b) Cho L = 24 m. Tính tiêu cự của thấu kính hội tụ?
Bài 4: Một người quan sát các vật qua thấu kính phân kì, đặt cách mắt 5 cm thì thấy ảnh của mọi vật ở xa hay gần đều hiện lên trong khoảng cách mắt từ 45 cm trở lại. Xác định tiêu cự của thấu kính phân kì.
Bài 5: Một người cận thị phải đeo kính có tiêu cự 50 cm. Hỏi khi không đeo kính người đó nhìn rõ vật xa nhất cách mắt là bao nhiêu?
Bài 6: AB là một vật sáng đặt trước thấu kính hội tụ. A’B’ là ảnh của AB qua thấu kính có chiều ngược với AB và nhỏ hơn AB. Cho AB cao 6cm; AA’ = 100 cm, thấu kính có tiêu cự 16 cm. Tính chiều cao của ảnh.
Bài 7: Vật sáng AB đặt vuông góc với trục chính của một thấu kính hội tụ và cách thấu kính 10cm. Nhìn qua thấu kính thấy 1 ảnh cùng chiều và cao gấp 3 lần vật. Xác định tiêu cự của thấu kính.
Bài 8: Cho trục của một thấu kính, A’B’ là ảnh của AB như hình vẽ:
Vẽ hình xác định quang tâm O, tiêu điểm F, F’ của thấu kính. Hãy xác định vị trí của ảnh, của vật và tiêu cự của thấu kính. Biết ảnh A’B’ chỉ cao bằng vật AB và khoảng cách giữa ảnh và vật là 2,4 cm.
Bài 9: Tia tới song song song với trục chính của một thấu kính phân kì, cho tia ló có phần kéo dài giao với trục chính tại một điểm cách quang tâm O của thấu kính một khoảng bằng 15 cm. Khi đó, độ lớn tiêu cự của thấu kính này bằng bao nhiêu?
Bài 10: Một vật sáng AB dạng đoạn thẳng được đặt tại một vị trí trước một thấu kính hội tụ, sao cho AB vuông góc với trục chính của thấu kính và A nằm trên trục chính. Qua thấu kính ta thu được một ảnh thật lớn gấp 2 lần vật. Sau đó, giữ nguyên vị trí vật AB và dịch chuyển thấu kính dọc theo trục chính, theo chiều ra xa vật một đoạn 10 cm, thì thấy ảnh của nó cũng dịch chuyển đi một đoạn 10 cm so với vị trí ảnh ban đầu. Tính tiêu cự f của thấu kính.
(199k) Xem Khóa học KHTN 9 KNTTXem Khóa học KHTN 9 CDXem Khóa học KHTN 9 CTST
Xem thêm các dạng bài tập Vật Lí lớp 9 có đáp án và lời giải chi tiết khác:
- Dạng 8: Cách vẽ ảnh của vật qua thấu kính phân kì cực hay
- Dạng 10: Cách giải bài tập xác định vị trí của vật đến thấu kính cực hay
- Dạng 11: Cách giải bài tập xác định vị trí của ảnh qua thấu kính cực hay
- Dạng 12: Cách xác định hệ số phóng đại của ảnh qua thấu kính cực hay
- Dạng 13: Phương pháp giải bài tập về kính lúp cực hay
- Dạng 14: Cách xác định hệ số phóng đại của ảnh qua kính lúp cực hay
- Dạng 15: Phương pháp giải bài tập về máy ảnh cực hay
- Dạng 16: Cách giải bài tập về máy ảnh nâng cao cực hay
Xem thêm các loạt bài Để học tốt Vật Lí lớp 9 hay khác:
Tủ sách VIETJACK luyện thi vào 10 cho 2k11 (2026):
Đã có app VietJack trên điện thoại, giải bài tập SGK, SBT Soạn văn, Văn mẫu, Thi online, Bài giảng....miễn phí. Tải ngay ứng dụng trên Android và iOS.
Theo dõi chúng tôi miễn phí trên mạng xã hội facebook và youtube:Loạt bài Lý thuyết - Bài tập Vật Lý 9 có đáp án của chúng tôi được biên soạn bám sát nội dung chương trình Vật Lý lớp 9.
Nếu thấy hay, hãy động viên và chia sẻ nhé! Các bình luận không phù hợp với nội quy bình luận trang web sẽ bị cấm bình luận vĩnh viễn.
- Giải Tiếng Anh 9 Global Success
- Giải sgk Tiếng Anh 9 Smart World
- Giải sgk Tiếng Anh 9 Friends plus
- Lớp 9 Kết nối tri thức
- Soạn văn 9 (hay nhất) - KNTT
- Soạn văn 9 (ngắn nhất) - KNTT
- Giải sgk Toán 9 - KNTT
- Giải sgk Khoa học tự nhiên 9 - KNTT
- Giải sgk Lịch Sử 9 - KNTT
- Giải sgk Địa Lí 9 - KNTT
- Giải sgk Giáo dục công dân 9 - KNTT
- Giải sgk Tin học 9 - KNTT
- Giải sgk Công nghệ 9 - KNTT
- Giải sgk Hoạt động trải nghiệm 9 - KNTT
- Giải sgk Âm nhạc 9 - KNTT
- Giải sgk Mĩ thuật 9 - KNTT
- Lớp 9 Chân trời sáng tạo
- Soạn văn 9 (hay nhất) - CTST
- Soạn văn 9 (ngắn nhất) - CTST
- Giải sgk Toán 9 - CTST
- Giải sgk Khoa học tự nhiên 9 - CTST
- Giải sgk Lịch Sử 9 - CTST
- Giải sgk Địa Lí 9 - CTST
- Giải sgk Giáo dục công dân 9 - CTST
- Giải sgk Tin học 9 - CTST
- Giải sgk Công nghệ 9 - CTST
- Giải sgk Hoạt động trải nghiệm 9 - CTST
- Giải sgk Âm nhạc 9 - CTST
- Giải sgk Mĩ thuật 9 - CTST
- Lớp 9 Cánh diều
- Soạn văn 9 Cánh diều (hay nhất)
- Soạn văn 9 Cánh diều (ngắn nhất)
- Giải sgk Toán 9 - Cánh diều
- Giải sgk Khoa học tự nhiên 9 - Cánh diều
- Giải sgk Lịch Sử 9 - Cánh diều
- Giải sgk Địa Lí 9 - Cánh diều
- Giải sgk Giáo dục công dân 9 - Cánh diều
- Giải sgk Tin học 9 - Cánh diều
- Giải sgk Công nghệ 9 - Cánh diều
- Giải sgk Hoạt động trải nghiệm 9 - Cánh diều
- Giải sgk Âm nhạc 9 - Cánh diều
- Giải sgk Mĩ thuật 9 - Cánh diều


Giải bài tập SGK & SBT
Tài liệu giáo viên
Sách
Khóa học
Thi online
Hỏi đáp

