Cách xác định hệ số phóng đại của ảnh qua thấu kính cực hay
Bài viết Cách xác định hệ số phóng đại của ảnh qua thấu kính với phương pháp giải chi tiết giúp học sinh ôn tập, biết cách làm bài tập Cách xác định hệ số phóng đại của ảnh qua thấu kính.
Cách xác định hệ số phóng đại của ảnh qua thấu kính cực hay
(199k) Xem Khóa học KHTN 9 KNTTXem Khóa học KHTN 9 CDXem Khóa học KHTN 9 CTST
Phương pháp giải:
Học sinh cần nắm được kiến thức về công thức thấu kính và số phóng đại của ảnh
1. Thấu kính hội tụ
- Ảnh thật
- Ảnh ảo
2. Thấu kính phân kì
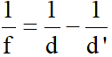
Trong đó: d là khoảng cách từ vật đến thấu kính
d’ là khoảng cách từ ảnh đến thấu kính
f là tiêu cự của thấu kính
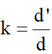
3. Số phóng đại của ảnh
Số phóng đại của ảnh:
Ví dụ minh họa
Ví dụ 1 Vật AB đặt thẳng góc trục chính thấu kính hội tụ, cách thấu kính bằng nửa khoảng tiêu cự. Ảnh của vật qua thấu kính là :
A. ảo, bằng hai lần vật.
B. ảo, bằng vật.
C. ảo, bằng nửa vật.
D. ảo, bằng bốn lần vật
Lời giải:
Đáp án: A
Vật đặt trong khoảng tiêu cự của thấu kính hội tụ cho ảnh ảo.
Áp dụng công thức
Với
Hệ số phóng đại
=> ảnh bằng 2 lần vật
Ví dụ 2 Vật AB đặt thẳng góc trục chính thấu kính hội tụ, cách thấu kính bằng hai lần khoảng tiêu cự, qua thấu kính cho ảnh : A. thật lớn hơn vật. B. thật, bằng vật. C. ảo, bằng vật. D. ảo lớn hơn vật.
Lời giải:
Đáp án: B
Vật đặt ngoài khoảng tiêu cự của thấu kính hội tụ cho ảnh thật
Áp dụng công thức
Với d = 2f => d' = 2f
Hệ số phóng đại
=> ảnh bằng vật
Ví dụ 3 Vật AB đặt thẳng góc trục chính thấu kính phân kì tại tiêu điểm của thấu kính , qua thấu kính cho ảnh A’B’. Em hãy so sánh kích thước ảnh A’B’ và vật.
Lời giải:
Bằng nửa vật
Áp dụng công thức
Với d = f
Hệ số phóng đại
=> ảnh A’B’ có kích thước bẳng vật
Bài tập trắc nghiệm
Câu 1. Chọn câu trả lời đúng. Một vật ở ngoài tiêu cự của một thấu kính hội tụ thì số phóng đại ảnh:
A. k = 1
B. k > 1
C. k < 1
D. Có thể bằng, lớn hơn hoặc nhỏ 1
Lời giải:
Đáp án: D
Tùy vào vị trí đặt vật: nếu f < d < 2f thì ảnh lớn hơn vật nên k > 1
nếu d = 2f thì ảnh bằng vật nên k = 1
nếu d > 2f thì ảnh nhỏ hơn vật nên k < 1
Câu 2. Một thấu kính hội tụ có tiêu cự f và một vật sáng AB. Vật sáng đặt cách thấu kính một khoảng bẳng 4 lần tiêu cự. Số phóng đại của ảnh là:
Lời giải:
Đáp án: A
Vật đặt ngoài khoảng tiêu cự của thấu kính hội tụ cho ảnh thật
Áp dụng công thức
Với d = 4f
Hệ số phóng đại
Câu 3. Đặt vật sáng AB) thẳng góc với trục chính thấu kính phân kỳ có tiêu cự f = 12 (cm), và cách thấu kính một khoảng d = 20 (cm). Số phóng đại của ảnh là
A. k = 0,25
B. k = 0,375
C. k = 0,275
D. k = 0,35
Lời giải:
Đáp án: B
Áp dụng công thức
Với d = 20cm; f = 12 cm => d' = 7,5 cm
Hệ số phóng đại
Câu 4. Thấu kính hội tụ L có tiêu cự là 13cm, quang tâm O. AB là vật sáng dạng đoạn thẳng, điểm A nằm trên trục chính và AO = 26cm. Phía sau thấu kính người ta đặt một màn chắn để thu ảnh A’B’. Hệ số phóng đại của ảnh là:
A. k = 0,5
B. k = 2
C. k = 1
D. k = 1,5
Lời giải:
Đáp án: C
Áp dụng công thức thấu kính hội tụ với trường hợp ảnh thật
=> d’ = 26cm
=> Hệ số phóng đại của ảnh là:
Câu 5. Một vật sáng nhỏ được đặt trước thấu kính phân kì L và cách thấu kính 30cm. Biết tiêu cự của thấu kính là 20cm. Hệ số phóng đại của ảnh là:
A. 0,1
B. 0,2
C. 0,3
D. 0,1
Lời giải:
Đáp án: D
Áp dụng công thức thấu kính phân kì
..
=> d' = 12 cm
=> Hệ số phóng đại của ảnh là:
Câu 6. Một vật sáng đặt trước một thấu kính vuông góc với trục chính. Hệ số phóng đại của ảnh k = 3. Thấu kính này là thấu kính gì? Tại sao?
Lời giải:
Đây là thấu kính hội tụ.
Hệ số phóng đại k = 3 tức là ảnh có kích thước gấp 3 lần vật. Ảnh của vật qua thấu kính phân kì luôn nhỏ hơn vật. Vì vậy thấu kính này là thấu kính hội tụ.
Câu 7. Vật AB = 6cm đặt thẳng góc với trục chính thấu kính hội tụ cách thấu kính 50cm. tiêu cự thấu kính là 20cm. Tính số phóng đại của ảnh và chiều cao của ảnh?
Lời giải:
Vật đặt ngoài khoảng tiêu cự nên ảnh là ảnh thật
Áp dụng công thức thấu kính hội tụ với trường hợp ảnh thật
=> Hệ số phóng đại của ảnh là:
=> Chiều cao của ảnh là:
Hệ số phóng đại của ảnh là và chiều cao của ảnh là 4cm.
Câu 8. Vật sáng AB được đặt vuông góc trục chính của thấu kính phân kỳ và cách thấu kính 50cm (như hình vẽ). Thấu kính có tiêu cự 32cm. Dựng ảnh của vật qua thấu kính và dùng các biến đổi hình học để tính hệ số phóng đại của ảnh.
Lời giải:
ABOI là hình chữ nhật => OI = AB
Xét hai tam giác ΔF'A'B'; ΔF'OI
Từ (1) và (2)
31 . OA' = 50 . (32 − OA')
100 . OA' = 1600 => OA' = 16 (cm)
=> Hệ số phóng đại của ảnh là:
Câu 9. Một vật sáng dạng đoạn thẳng cao 10cm được đặt vuông góc với trục chính của một thấu kính hội tụ và cách thấu kính 20cm. Biết thấu kính có tiêu cự là 25cm. Vẽ ảnh của vật qua thấu kính và tính hệ số phóng đại, chiều cao của ảnh.
Lời giải:
Vật sáng được đặt trong khoảng tiêu cự của thấu kính nên ảnh qua thấu kính là ảnh ảo
Áp dụng công thức thấu kính ta có
=> d' = 100 cm
=> Hệ số phóng đại của ảnh là:
=> Chiều cao của ảnh là: 10.5 = 50 (cm)
Đáp số: k =5; h’ =50cm
Câu 10. AB là một vật sáng đặt trước thấu kính. A’B’ là ảnh của AB qua thấu kính có chiều ngược với AB và nhỏ hơn AB. Cho AB cao 6cm; AA’ = 100cm, thấu kính có tiêu cự 16cm. Thấu kính này là thấu kính gì? Tính số phóng đại của ảnh và chiều cao của ảnh
Lời giải:
A’B’ ngược chiều với vật nên ảnh này là ảnh thật và thấu kính đã cho là thấu kính hội tụ
Áp dụng công thức:
AA' = d + d' => d + d' = 100 (cm) (2)
Thay vào (1)
=> d . d' = 1600 (3)
Từ (2) và (3) => d(100 - d) = 1600
=> d2 − 100d + 1600 = 0
=> d = 80 cm hoặc d = 20 cm
=> d’ = 20cm hoặc d’ = 80cm.
do vật lớn hơn ảnh nên d > d’
vậy d = 80cm và d’ = 20cm
=> Hệ số phóng đại của ảnh là:
Chiều cao ảnh A’B’ là: 6.0,25 = 1,5 (cm)
Đáp số: k = 0,25; h’ = 1,5cm
Bài tập tự luyện
Bài 1: Cho thấu kính hội tụ có tiêu cự f = 10 cm. Vật sáng AB là một đoạn thẳng đặt vuông góc trục chính của thấu kính, cách thấu kính 30 cm. Hãy xác định vị trí ảnh, tính chất ảnh và số phóng đại ảnh?
Bài 2: Cho thấu kính phân kì có tiêu cự f = -10 cm. Vật sáng AB là một đoạn thẳng đặt vuông góc trục chính của thấu kính, cách thấu kính 20 cm. Hãy xác định vị trí ảnh, tính chất ảnh và số phóng đại ảnh.
Bài 3: Một thấu kính có độ tu -2,5dp. Vật sáng AB là một đoạn thẳng đặt vuông góc với trục chính của thấu kính cho ảnh cao bằng nữa vật. Xác định hệ số phóng đại của ảnh và vị trí của vật và ảnh.
Bài 4: Một thấu kính hội tụ có tiêu cự 40 cm. Vật sáng AB đặt trước thấu kính, sau thấu kính đặt một màn ảnh để hứng ảnh của vật. Biết khoảng cách từ vật đến màn là 180 cm.
a) Phải đặt thấu kính cách vật bao nhiêu để thu được ảnh rõ nét trên màn.
b) Xác định độ phóng đại của ảnh qua thấu kính.
Bài 5: Một thấu kính hội tụ có tiêu cự f = 20 cm cho ảnh thật cao gấp 2 lần vật. Xác định vị trí vật và ảnh?
Bài 6: Vật sáng nhỏ AB đặt trước và vuông góc với trục chính của một thấu kính cho ảnh thật, độ phóng đại của ảnh qua thấu kính là 2, dịch AB ra xa thấu kính 15 cm thì ảnh di chuyển 15 cm. Độ tụ của thấu kính là bao nhiêu?
Bài 7: Vật AB đặt vuông góc với trục chính của một thấu kính hội tụ có tiêu cự f = 12 cm, qua thấu kính cho ảnh ảo A1B1, dịch chuyển AB ra xa thấu kính thêm 8 cm. Khi đó ta thu được ảnh thật A2B2 cách A1B1 đoạn 72 cm.
a) Tìm hệ số phóng đại của ảnh qua thấu kính ở hai vị trí?
b) Vị trí của vật AB ban đầu cách thấu kính bao xa?
Bài 8: Ở vị trí ban đầu, vật sáng phẳng nhỏ AB đặt vuông góc với trục chính (A nằm trên trục chính) của một thấu kính hội tụ có tiêu cự 20 cm cho ảnh thật cao gấp 4 lần vật. Để ảnh của vật cho bởi thấu kính là ảnh ảo cũng cao gấp 4 lần vật thì phải dịch chuyển vật dọc theo trục chính từ vị trí ban đầu như thế nào?
Bài 9: Một hệ đồng trục gồm hai thấu kính có tiêu cự lần lượt là f1 = 20 cm và f2 = -10 cm đặt cách nhau một khoảng l = 10 cm. Vật sáng AB đặt cách O1 và vuông góc trục chính cách O1 một đoạn d1. Chứng tỏ độ phóng đại của ảnh cho bởi hệ thấu kính không phụ thuộc vào d1.
Bài 10: Vật sáng AB đặt vuông góc với trục chính của một thấu kính phẳng lồi bằng thủy tinh chiết suất n = 1,5, bán kính mặt lồi bằng 10 cm, cho ảnh rõ nét trên màn đặt cách vật một khoảng L.
a) Xác định khoảng cách ngắn nhất của L.
b) Xác định các vị trí của thấu kinh trong trường hợp L = 90 cm. Tính số phóng đại thu được trong các trường hợp này.
(199k) Xem Khóa học KHTN 9 KNTTXem Khóa học KHTN 9 CDXem Khóa học KHTN 9 CTST
Xem thêm các dạng bài tập Vật Lí lớp 9 có đáp án và lời giải chi tiết khác:
- Dạng 8: Cách vẽ ảnh của vật qua thấu kính phân kì cực hay
- Dạng 9: Phương pháp giải bài tập xác định tiêu cự của thấu kính cực hay
- Dạng 10: Cách giải bài tập xác định vị trí của vật đến thấu kính cực hay
- Dạng 11: Cách giải bài tập xác định vị trí của ảnh qua thấu kính cực hay
- Dạng 13: Phương pháp giải bài tập về kính lúp cực hay
- Dạng 14: Cách xác định hệ số phóng đại của ảnh qua kính lúp cực hay
- Dạng 15: Phương pháp giải bài tập về máy ảnh cực hay
- Dạng 16: Cách giải bài tập về máy ảnh nâng cao cực hay
Xem thêm các loạt bài Để học tốt Vật Lí lớp 9 hay khác:
Tủ sách VIETJACK luyện thi vào 10 cho 2k11 (2026):
Đã có app VietJack trên điện thoại, giải bài tập SGK, SBT Soạn văn, Văn mẫu, Thi online, Bài giảng....miễn phí. Tải ngay ứng dụng trên Android và iOS.
Theo dõi chúng tôi miễn phí trên mạng xã hội facebook và youtube:Loạt bài Lý thuyết - Bài tập Vật Lý 9 có đáp án của chúng tôi được biên soạn bám sát nội dung chương trình Vật Lý lớp 9.
Nếu thấy hay, hãy động viên và chia sẻ nhé! Các bình luận không phù hợp với nội quy bình luận trang web sẽ bị cấm bình luận vĩnh viễn.
- Giải Tiếng Anh 9 Global Success
- Giải sgk Tiếng Anh 9 Smart World
- Giải sgk Tiếng Anh 9 Friends plus
- Lớp 9 Kết nối tri thức
- Soạn văn 9 (hay nhất) - KNTT
- Soạn văn 9 (ngắn nhất) - KNTT
- Giải sgk Toán 9 - KNTT
- Giải sgk Khoa học tự nhiên 9 - KNTT
- Giải sgk Lịch Sử 9 - KNTT
- Giải sgk Địa Lí 9 - KNTT
- Giải sgk Giáo dục công dân 9 - KNTT
- Giải sgk Tin học 9 - KNTT
- Giải sgk Công nghệ 9 - KNTT
- Giải sgk Hoạt động trải nghiệm 9 - KNTT
- Giải sgk Âm nhạc 9 - KNTT
- Giải sgk Mĩ thuật 9 - KNTT
- Lớp 9 Chân trời sáng tạo
- Soạn văn 9 (hay nhất) - CTST
- Soạn văn 9 (ngắn nhất) - CTST
- Giải sgk Toán 9 - CTST
- Giải sgk Khoa học tự nhiên 9 - CTST
- Giải sgk Lịch Sử 9 - CTST
- Giải sgk Địa Lí 9 - CTST
- Giải sgk Giáo dục công dân 9 - CTST
- Giải sgk Tin học 9 - CTST
- Giải sgk Công nghệ 9 - CTST
- Giải sgk Hoạt động trải nghiệm 9 - CTST
- Giải sgk Âm nhạc 9 - CTST
- Giải sgk Mĩ thuật 9 - CTST
- Lớp 9 Cánh diều
- Soạn văn 9 Cánh diều (hay nhất)
- Soạn văn 9 Cánh diều (ngắn nhất)
- Giải sgk Toán 9 - Cánh diều
- Giải sgk Khoa học tự nhiên 9 - Cánh diều
- Giải sgk Lịch Sử 9 - Cánh diều
- Giải sgk Địa Lí 9 - Cánh diều
- Giải sgk Giáo dục công dân 9 - Cánh diều
- Giải sgk Tin học 9 - Cánh diều
- Giải sgk Công nghệ 9 - Cánh diều
- Giải sgk Hoạt động trải nghiệm 9 - Cánh diều
- Giải sgk Âm nhạc 9 - Cánh diều
- Giải sgk Mĩ thuật 9 - Cánh diều


Giải bài tập SGK & SBT
Tài liệu giáo viên
Sách
Khóa học
Thi online
Hỏi đáp

