Cách xác định hệ số phóng đại của ảnh qua kính lúp cực hay
Bài viết Cách xác định hệ số phóng đại của ảnh qua kính lúp với phương pháp giải chi tiết giúp học sinh ôn tập, biết cách làm bài tập Cách xác định hệ số phóng đại của ảnh qua kính lúp.
Cách xác định hệ số phóng đại của ảnh qua kính lúp cực hay
(199k) Xem Khóa học KHTN 9 KNTTXem Khóa học KHTN 9 CDXem Khóa học KHTN 9 CTST
Phương pháp giải:
Học sinh cần nắm được kiến thức về kính lúp, công thức thấu kính (thấu kính hội tụ) và số phóng đại của ảnh
1. Kính lúp.
- Kính lúp là thấu kính hội tụ có tiêu cự ngắn. Người ta dùng kính lúp để quan sát các vật nhỏ.
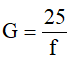
- Mỗi kính lúp có độ bội giác (kí hiệu G) được ghi trên vành kính bằng các con số như 2x, 3x, 5x … kính lúp có độ bội giác càng lớn thì quan sát ảnh càng lớn.
- Giữa độ bội giác và tiêu cự f (đo bằng cm) có hệ thức:
- Vật cần quan sát phải đặt trong khoảng tiêu cự của kính. Mắt nhìn thấy ảnh ảo cùng chiều lớn hơn vật.
2. Công thức thấu kính hội tụ
- Ảnh ảo
3. Số phóng đại của ảnh
Số phóng đại của ảnh:
=> A'B' = k .AB
Ví dụ minh họa
Ví dụ 1Một vật sáng AB đặt trước thấu kính hội tụ có tiêu cự f, vuông góc với trục chính của thấu kính hội tụ, điểm A nằm trên trục chính. Vật sáng AB qua thấu kính cho ảnh thật A’B’. Chứng minh rằng
Lời giải:
Đáp án: B
Giữa độ bội giác và tiêu cự f (đo bằng cm) có hệ thức:
Ví dụ 2Trên chiếc kính lúp thứ nhất có ghi 2,5X trên chiếc kính lúp thứ hai có ghi 7,5X. Với cùng điều kiện quan sát như nhau thì dùng kính nào sẽ thấy ảnh lớn hơn? Tại sao?
Lời giải:
Với cùng điều kiện quan sát như nhau thì dùng kính lúp thứ hai sẽ thấy ảnh lớn hơn. Vì dùng kính lúp có số bội giác càng lớn để quan sát thì ta thấy ảnh càng lớn
Ví dụ 3Một kính lúp trên vành có ghi 2,5x. Người ta dùng kính lúp để quan sát vật A. Biết khi quan sát thì vật cách kính lúp 5cm. Hệ số phóng đại của ảnh là bao nhiêu?
Tiêu cự của kính lúp là:
Kính lúp là một thấu kính hội tụ nên ta áp dụng công thức thấu kính hội tụ với trường hợp ảnh ảo
=> d' = 10 (cm)
Hệ số phóng đại của ảnh:
Đs: k = 2
Bài tập trắc nghiệm
Câu 1. Một chiếc kính lúp có tiêu cự 4cm. Số bội giác của kính lúp này là:
A. G = 4
B. G = 6,25
C. G = 2
D. G = 2,5
Lời giải:
Đáp án: B
Giữa số bội giác và tiêu cự f (đo bằng cm) có hệ thức:
Số bội giác của kính lúp là:
Câu 2. Một kính lúp có ghi 4x. Người ta dùng kính lúp để quan sát một vật nhỏ. Biết khi quan sát thì vật cách kính lúp 4cm. Số phóng đại của ảnh là:
A. 2,8
B. 3,1
C. 3,6
D. 4
Lời giải:
Đáp án: A
Tiêu cự của kính lúp là:
Kính lúp là một thấu kính hội tụ nên ta áp dụng công thức thấu kính hội tụ với trường hợp ảnh ảo
=> Hệ số phóng đại của ảnh là:
Câu 3. Một kính lúp trên vành có ghi 2x. Vật A cao 0,2cm. Người ta dùng kính lúp để quan sát vật A. Biết khi quan sát thì vật cách kính lúp 5cm. Chiều cao của ảnh qua kính lúp là:
A. 0,46cm
B. 0,33cm
C. 0,5cm
D. 0,4cm
Lời giải:
Đáp án: A
Tiêu cự của kính lúp là:
Kính lúp là một thấu kính hội tụ nên ta áp dụng công thức thấu kính hội tụ với trường hợp ảnh ảo
=> Hệ số phóng đại của ảnh là:
=> Kích thước của ảnh là:
Câu 4. Bạn Minh thấy trên vành của một chiếc kính lúp có ghi 3x. Minh đặt một vật nhỏ trước kính lúp và cách kính lúp 4cm. Số phóng đại của ảnh là:
A. 3
B. 2,7
C. 2,6
D. 2,5
Lời giải:
Đáp án: D
Tiêu cự của kính lúp là:
Kính lúp là một thấu kính hội tụ nên ta áp dụng công thức thấu kính hội tụ với trường hợp ảnh ảo
=> d' = 12,5 (cm)
=> Hệ số phóng đại của ảnh là:
Câu 5. Đặt một vật AB có dạng một đoạn thẳng nhỏ, cao 2 cm , vuông góc với trục chính của một kính lúp, cách kính lúp 4 cm. Biết kính lúp có kí hiệu 2,5X ghi trên vành kính. Độ cao của ảnh là:
A. 2,5cm
B. 3,3cm
C. 4,2cm
D. 5cm
Lời giải:
Đáp án: B
Tiêu cự của kính lúp là:
Kính lúp là một thấu kính hội tụ nên ta áp dụng công thức thấu kính hội tụ với trường hợp ảnh ảo
=> Hệ số phóng đại của ảnh là:
=> Kích thước của ảnh là:
Câu 6. Trên vành của một chiếc kính lúp có ghi G = 5x. Vật nhỏ S có chiều cao là 0,4cm được đặt trước kính lúp và cách kính lúp 3cm. Ảnh của S qua kính lúp có chiều cao là bao nhiêu?
Lời giải:
Tiêu cự của kính lúp là:
Vì d < f nên ảnh này là ảnh ảo, nằm cùng phía với vật so với kính lúp
Áp dụng công thức thấu kính hội tụ với ảnh ảo
=> d' = 7,5 cm
=> Hệ số phóng đại của ảnh là:
=> Kích thước của ảnh là: 0,4 . 2,5 = 1 (cm)
Câu 7. Một người dùng kính lúp có tiêu cự 10 cm để quan sát một vật nhỏ. Người đó quan sát vật bằng kính lúp đúng cách, và khoảng cách từ ảnh đến kính lúp là 30cm. Số bội giác của thấu kính là bao nhiêu? Ảnh lớn hơn hay nhỏ hơn vật bao nhiêu lần?
Lời giải:
Số bội giác của kính lúp là:
Vì người đó dùng kính lúp đúng cách nên ảnh của vật là ảnh ảo và lớn hơn vật
Áp dụng công thức thấu kính hội tụ với ảnh ảo
=> Hệ số phóng đại của ảnh là:
Câu 8. Linh dùng kính lúp có số bội giác G = 8x để quan sát một vật nhỏ. Muốn số phóng đại của ảnh là 5 thì phải đặt vật cách kính bao nhiêu?
Lời giải:
Tiêu cự của kính lúp là:
số phóng đại của ảnh phải là k = 4.
Kính lúp là thấu kính hội tụ có tiêu cự 3,125cm. Áp dụng công thức thấu kính cho trường hợp ảnh ảo ta có
Vậy kính lúp đặt cách vật 2,5cm
Câu 9. Một kính lúp có ghi 5x trên vành của kính. Người ta dùng kính này để quan sát một vật nhỏ. Người quan sát có điểm cực cận cách mắt 20cm. Khi dùng kính lúp người ấy đặt kính sát mắt và ảnh của vật hiện ra ở đúng điểm cực cận của mắt. Số phóng đại của ảnh là bao nhiêu?
Lời giải:
Tiêu cự của kính lúp là:
Khi dùng kính lúp người ấy đặt kính sát mắt và ảnh của vật hiện ra ở đúng điểm cực cận của mắt => ảnh cách kính lúp 20cm.
Kính lúp là thấu kính hội tụ có tiêu cự 5cm. Áp dụng công thức thấu kính cho trường hợp ảnh ảo ta có
=> Hệ số phóng đại của ảnh là:
Câu 10. Một người dùng kính lúp có độ bội giác G = 5x để quan sát một con kiến có kích thước 1mm. Để ảnh của con kiến có kích thước là 8mm thì phải đặt kính lúp cách con kiến bao xa? Biết rằng người này quan sát bằng kính lúp đúng cách
Lời giải:
Tiêu cự của kính lúp là:
Để ảnh của con kiến là 8mm thì hệ số phóng đại của ảnh phải là k = 8.
Kính lúp là thấu kính hội tụ. Người này quan sát bằng kính lúp đúng cách tức là phải đặt vật trong khoảng tiêu cự. Áp dụng công thức thấu kính cho trường hợp ảnh ảo ta có
Vậy kính lúp đặt cách con kiến 4,375cm
(199k) Xem Khóa học KHTN 9 KNTTXem Khóa học KHTN 9 CDXem Khóa học KHTN 9 CTST
Xem thêm các dạng bài tập Vật Lí lớp 9 có đáp án và lời giải chi tiết khác:
- Dạng 8: Cách vẽ ảnh của vật qua thấu kính phân kì cực hay
- Dạng 9: Phương pháp giải bài tập xác định tiêu cự của thấu kính cực hay
- Dạng 10: Cách giải bài tập xác định vị trí của vật đến thấu kính cực hay
- Dạng 11: Cách giải bài tập xác định vị trí của ảnh qua thấu kính cực hay
- Dạng 12: Cách xác định hệ số phóng đại của ảnh qua thấu kính cực hay
- Dạng 13: Phương pháp giải bài tập về kính lúp cực hay
- Dạng 15: Phương pháp giải bài tập về máy ảnh cực hay
- Dạng 16: Cách giải bài tập về máy ảnh nâng cao cực hay
Xem thêm các loạt bài Để học tốt Vật Lí lớp 9 hay khác:
Tủ sách VIETJACK luyện thi vào 10 cho 2k11 (2026):
Đã có app VietJack trên điện thoại, giải bài tập SGK, SBT Soạn văn, Văn mẫu, Thi online, Bài giảng....miễn phí. Tải ngay ứng dụng trên Android và iOS.
Theo dõi chúng tôi miễn phí trên mạng xã hội facebook và youtube:Loạt bài Lý thuyết - Bài tập Vật Lý 9 có đáp án của chúng tôi được biên soạn bám sát nội dung chương trình Vật Lý lớp 9.
Nếu thấy hay, hãy động viên và chia sẻ nhé! Các bình luận không phù hợp với nội quy bình luận trang web sẽ bị cấm bình luận vĩnh viễn.
- Giải Tiếng Anh 9 Global Success
- Giải sgk Tiếng Anh 9 Smart World
- Giải sgk Tiếng Anh 9 Friends plus
- Lớp 9 Kết nối tri thức
- Soạn văn 9 (hay nhất) - KNTT
- Soạn văn 9 (ngắn nhất) - KNTT
- Giải sgk Toán 9 - KNTT
- Giải sgk Khoa học tự nhiên 9 - KNTT
- Giải sgk Lịch Sử 9 - KNTT
- Giải sgk Địa Lí 9 - KNTT
- Giải sgk Giáo dục công dân 9 - KNTT
- Giải sgk Tin học 9 - KNTT
- Giải sgk Công nghệ 9 - KNTT
- Giải sgk Hoạt động trải nghiệm 9 - KNTT
- Giải sgk Âm nhạc 9 - KNTT
- Giải sgk Mĩ thuật 9 - KNTT
- Lớp 9 Chân trời sáng tạo
- Soạn văn 9 (hay nhất) - CTST
- Soạn văn 9 (ngắn nhất) - CTST
- Giải sgk Toán 9 - CTST
- Giải sgk Khoa học tự nhiên 9 - CTST
- Giải sgk Lịch Sử 9 - CTST
- Giải sgk Địa Lí 9 - CTST
- Giải sgk Giáo dục công dân 9 - CTST
- Giải sgk Tin học 9 - CTST
- Giải sgk Công nghệ 9 - CTST
- Giải sgk Hoạt động trải nghiệm 9 - CTST
- Giải sgk Âm nhạc 9 - CTST
- Giải sgk Mĩ thuật 9 - CTST
- Lớp 9 Cánh diều
- Soạn văn 9 Cánh diều (hay nhất)
- Soạn văn 9 Cánh diều (ngắn nhất)
- Giải sgk Toán 9 - Cánh diều
- Giải sgk Khoa học tự nhiên 9 - Cánh diều
- Giải sgk Lịch Sử 9 - Cánh diều
- Giải sgk Địa Lí 9 - Cánh diều
- Giải sgk Giáo dục công dân 9 - Cánh diều
- Giải sgk Tin học 9 - Cánh diều
- Giải sgk Công nghệ 9 - Cánh diều
- Giải sgk Hoạt động trải nghiệm 9 - Cánh diều
- Giải sgk Âm nhạc 9 - Cánh diều
- Giải sgk Mĩ thuật 9 - Cánh diều


Giải bài tập SGK & SBT
Tài liệu giáo viên
Sách
Khóa học
Thi online
Hỏi đáp

