Phương pháp Tính điện trở của mạch song song cực hay
Bài viết Phương pháp Tính điện trở của mạch song song với phương pháp giải chi tiết giúp học sinh ôn tập, biết cách làm bài tập Phương pháp Tính điện trở của mạch song song.
Phương pháp Tính điện trở của mạch song song cực hay
(199k) Xem Khóa học KHTN 9 KNTTXem Khóa học KHTN 9 CDXem Khóa học KHTN 9 CTST
Phương pháp giải:
Áp dụng công thức:
Bài tập ví dụ minh họa
Bài 1: Tính điện trở tương đương trong mỗi trường hợp sau, biết mỗi điện trở thành phần có độ lớn 10 Ω.
Đáp án: 5Ω
Lời giải:
Đây là sơ đồ hai điện trở mắc song song
Áp dụng công thức tính điện trở tương đương
Bài 2: Tính điện trở tương đương của đoạn mạch sau, biết R1 = 3Ω; R2 = 6Ω; R3 = 12Ω.
Lời giải:
Sơ đồ mạch R1 // R2 // R3
Áp dụng công thức tính điện trở tương đương, ta có:
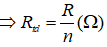
Bài 3: Có n điện trở R giống nhau mắc song song với nhau. Hãy tính điện trở tương đương của đoạn mạch.
Đáp án:
Lời giải:
Các điện trở được mắc song song nên điện trở tương đương được xác định bởi:
Bài tập trắc nghiệm
Bài 1: Trong các công thức sau đây, công thức nào không phù hợp với đoạn mạch mắc song song?
A. U = U1 = U1 = … = Un
B. I = I1 + I2 + … + I
C. R = R1 + R2 + … + Rn
D.
Lời giải:
Đáp án: C
Bài 2: Cho 5 điện trở R có giá trị như mắc song song. Tính điện trở tương đương ?
A. R/4 B. R/5
C. R/6 D. 5R.
Lời giải:
Đáp án: B
Bài 3: Trong một mạch gồm hai điện trở mắc song song với nhau. Điện trở tương đương của đoạn mạch này thay đổi như thế nào nếu tăng giá trị của một điện trở?
A. Tăng lên B. Giữ nguyên
C. Giảm đi D. Ý khác
Lời giải:
Đáp án: A
Bài 4: Đoạn mạch gồm hai điện trở măc song song với nhau. Biết giá trị của điện trở này lớn gấp bốn lần điện trở kia và điện trở tương đương của đoạn mạch là này bằng 4 Ω. Tìm giá trị của mỗi điện trở.
A. 2 Ω và 8 Ω B. 4 Ω và 16 Ω
C. 5Ω và 20 Ω D. 6 Ω và 24 Ω
Lời giải:
Đáp án: C
Bài 5: Cho hai điện trở R1 = 1 Ω, R2 = 2 Ω mắc song song với nhau vào hiệu điện thế U = 220V. Tính U2.
A. 2/3V B. 330V
C. 48,3V D. 220V
Lời giải:
Đáp án: D
Bài 6: Có 3 điện trở R1 = 3 Ω, R2 = 6 Ω, R3 = 4 Ω mắc song song vào mạng điện. Tìm Rtđ
A. 1,33 Ω B. 7 Ω
C. 2,25 Ω D. 5,54 Ω
Lời giải:
Đáp án: A
Bài 7: Chỉ ra nhận xét sai khi nói về đặc điểm của hai điện trở mắc song song với nhau?
A. Có hai đầu chung.
B. Tháo bỏ một điện trở thì dòng điện vẫn qua điện trở kia.
C. Hiệu điện thế giữa hai đầu các điện trở bằng nhau.
D. Cường độ dòng điện qua hai điện trở có giá trị bằng nhau.
Lời giải:
Đáp án: D
Bài 8: Cho hai điện trở R1 = 3Ω, R2 = 6Ω mắc song song với nhau.
a) Vẽ sơ đồ mạch điện. Tính điện trở tương đương R12
b) Mắc thêm R3 = 2Ω song song với 2 điện trở trên. Hãy vẽ sơ đồ mạch điện và tính R123.
Tóm tắt:
R1 = 3Ω, R2 = 6Ω mắc song song với nhau.
a) Vẽ sơ đồ mạch điện. Tính điện trở tương đương R12
b) Mắc thêm R3 = 2Ω song song với 2 điện trở trên. Hãy vẽ sơ đồ mạch điện và tính R123.
Lời giải:
a) Sơ đồ mạch điện
Điện trở tương đương của mạch điện được xác định bởi:
b) Sơ đồ mạch điện
Mắc thêm R3, có 2 cách tính điện trở tương đương.
Cách 1: Cả ba điện trở mắc song song. Điện trở tương đương được xác định bởi
Cách 2: Coi 2 điện trở R1 và R2 đã được thay thế bằng điện trở tương đương R12 được tính ở ý a) và mắc song song với R3.
Ta có:
Đáp án: a) R12 = 2 (Ω); b) R123 = 1 (Ω)
Bài 9: Một điện trở R mắc song song với một điện trở lớn gấp ba lần nó và cho một điện trở tương đương bằng 12 Ω. Tính R
Tóm tắt:
Hai điện trở song song: R1 = R (Ω), R2 = 3R (Ω).
Biết Rtd = 12 Ω. Tính R.
Lời giải:
Áp dụng công thức điện trở song song ta có:
Đáp án: R = 16 Ω
Bài 10: Một đoạn mạch có điện trở R. Để giảm bớt điện trở của đoạn mạch một giá trị bằng R/5, phải mắc thêm cho đoạn mạch một điện trở bao nhiêu và mắc thế nào ?
Tóm tắt:
Đoạn mạch có điện trở R. Để giảm bớt điện trở của đoạn mạch một giá trị bằng R/5, phải mắc thêm cho đoạn mạch một điện trở bao nhiêu và mắc thế nào ?
Lời giải:
Vì đoạn mạch bị giảm điện trở nên ta cần mắc thêm điện trở R1 song song với đoạn mạch ban đầu. Điện trở tương đương khi mắc thêm điện trở R1 là 4R/5.
Áp dụng công thức xác định điện trở tương đương.
Đáp án: Cần mắc song song với đoạn mạch ban đầu 1 điện trở có độ lớn 4R.
Bài tập tự luyện
Bài 1: Trong một mạch gồm hai điện trở giống nhau mắc song song với nhau. Điện trở tương đương của đoạn mạch này thay đổi như thế nào nếu giá trị của một điện trở tăng lên 2 lần?
Bài 2: Có 3 điện trở được mắc song song với nhau. Tính điện trở tương đương của đoạn mạch, biết R1 = R, R2 = 2R và R3 = 3R.
Bài 3: Cho hai điện trở R1 = 1 Ω, R2 = 2 Ω mắc song song với nhau vào hiệu điện thế U2 = 220 V. Tính cường độ dòng điện I chạy qua cả mạch.
Bài 4: Cho hai điện trở R1, R2. Nếu mắc song song hai điện trở này vào hiệu điện thế U thì hiệu điện thế U1 = 1,9 V và dòng điện đi đoạn mạch có cường độ I = 0,3 A.
a, Tính điện trở tương đương của đoạn mạch lúc này?
b, Cho I2 = 0,2 A. Tính R1 R2?
Bài 5: Cho điện trở R1 = 10 Ω chịu được dòng điện có cường độ tối đa là 2A, và R2 = 5 Ω chịu được dòng điện có cường độ tối đa là 1 A. Tính hiệu điện thế tối đa có thể đặt vào 2 đầu đoạn mạch gồm R1 và R2 mắc song song?
Bài 6: Đặt một dòng điện I = 4,5 A vào hai đầu đoạn mạch gồm điện trở R1 = 5 Ω và R2 = 10 Ω mắc song song. Tính cường độ dòng điện giữa hai đầu mỗi điện trở.
Bài 7: Cho mạch điện có sơ đồ như hình dưới, trong đó R1 = 20 Ω, R2 = 30 Ω, ampe kế A chỉ 1,2 A. Số chỉ của các ampe kế A1 và A2 là bao nhiêu?
Bài 8: Cho hai điện trở, R1 = 15 Ω chịu được dòng điện có cường độ tối đa 2 A và R2 = 10 Ω chịu được dòng điện có cường độ tối đa 1 A. Hiệu điện thế tối đa có thể đặt vào hai đầu đoạn mạch gồm R1 và R2 mắc song song là bao nhiêu? Vì sao?
Bài 9: Cho một hiệu điện thế U = 1,8 V và hai điện trở R1 và R2.
Nếu mắc nối tiếp hai điện trở này vào hiệu điện thế U thì dòng điện đi qua chúng có cường độ I1 = 0,2 A. Nếu mắc song song hai điện trở này vào hiệu điện thế U thì dòng điện mạch chính có cường độ I2 = 0,9 A. Tính R1 và R2.
Bài 10: Đặt một hiệu điện thế U = 45 V vào hai đầu đoạn mạch gồm hai điện trở R1 và R2 mắc song song. Dòng điện trong mạch chính có cường độ 2,5 A.
a, Hãy xác định R1 và R2, biết rằng R1 = 1,5R2.
b, Nếu hai điện trở này mắc nối tiếp thì phải đặt vào hai đầu đoạn mạch một hiệu điện thế là bao nhiêu để cường độ dòng điện qua mỗi điện trở đều bằng 2,5 A.
(199k) Xem Khóa học KHTN 9 KNTTXem Khóa học KHTN 9 CDXem Khóa học KHTN 9 CTST
Xem thêm các dạng bài tập Vật Lí lớp 9 có đáp án và lời giải chi tiết khác:
- Dạng 1: Phương pháp Tính điện trở của sợi dây cực hay
- Dạng 2: Phương pháp Tính điện trở của mạch nối tiếp cực hay
- Dạng 4: Phương pháp Tính điện trở tương đương của mạch hỗn hợp cực hay
- Dạng 5: Phương pháp Tính điện trở tương đương của mạch cầu cực hay | Cách chuyển mạch sao thành mạch tam giác
- Dạng 6: Tính điện trở qua phương pháp vẽ lại mạch điện cực hay
- Dạng 7: Cách giải Bài tập Định luật Ôm cho đoạn mạch nối tiếp, song song cực hay
- Dạng 8: Cách giải Bài tập Định luật Ôm cho đoạn mạch hỗn hợp cực hay
Xem thêm các loạt bài Để học tốt Vật Lí lớp 9 hay khác:
Tủ sách VIETJACK luyện thi vào 10 cho 2k11 (2026):
Đã có app VietJack trên điện thoại, giải bài tập SGK, SBT Soạn văn, Văn mẫu, Thi online, Bài giảng....miễn phí. Tải ngay ứng dụng trên Android và iOS.
Theo dõi chúng tôi miễn phí trên mạng xã hội facebook và youtube:Loạt bài Lý thuyết - Bài tập Vật Lý 9 có đáp án của chúng tôi được biên soạn bám sát nội dung chương trình Vật Lý lớp 9.
Nếu thấy hay, hãy động viên và chia sẻ nhé! Các bình luận không phù hợp với nội quy bình luận trang web sẽ bị cấm bình luận vĩnh viễn.
- Giải Tiếng Anh 9 Global Success
- Giải sgk Tiếng Anh 9 Smart World
- Giải sgk Tiếng Anh 9 Friends plus
- Lớp 9 Kết nối tri thức
- Soạn văn 9 (hay nhất) - KNTT
- Soạn văn 9 (ngắn nhất) - KNTT
- Giải sgk Toán 9 - KNTT
- Giải sgk Khoa học tự nhiên 9 - KNTT
- Giải sgk Lịch Sử 9 - KNTT
- Giải sgk Địa Lí 9 - KNTT
- Giải sgk Giáo dục công dân 9 - KNTT
- Giải sgk Tin học 9 - KNTT
- Giải sgk Công nghệ 9 - KNTT
- Giải sgk Hoạt động trải nghiệm 9 - KNTT
- Giải sgk Âm nhạc 9 - KNTT
- Giải sgk Mĩ thuật 9 - KNTT
- Lớp 9 Chân trời sáng tạo
- Soạn văn 9 (hay nhất) - CTST
- Soạn văn 9 (ngắn nhất) - CTST
- Giải sgk Toán 9 - CTST
- Giải sgk Khoa học tự nhiên 9 - CTST
- Giải sgk Lịch Sử 9 - CTST
- Giải sgk Địa Lí 9 - CTST
- Giải sgk Giáo dục công dân 9 - CTST
- Giải sgk Tin học 9 - CTST
- Giải sgk Công nghệ 9 - CTST
- Giải sgk Hoạt động trải nghiệm 9 - CTST
- Giải sgk Âm nhạc 9 - CTST
- Giải sgk Mĩ thuật 9 - CTST
- Lớp 9 Cánh diều
- Soạn văn 9 Cánh diều (hay nhất)
- Soạn văn 9 Cánh diều (ngắn nhất)
- Giải sgk Toán 9 - Cánh diều
- Giải sgk Khoa học tự nhiên 9 - Cánh diều
- Giải sgk Lịch Sử 9 - Cánh diều
- Giải sgk Địa Lí 9 - Cánh diều
- Giải sgk Giáo dục công dân 9 - Cánh diều
- Giải sgk Tin học 9 - Cánh diều
- Giải sgk Công nghệ 9 - Cánh diều
- Giải sgk Hoạt động trải nghiệm 9 - Cánh diều
- Giải sgk Âm nhạc 9 - Cánh diều
- Giải sgk Mĩ thuật 9 - Cánh diều


Giải bài tập SGK & SBT
Tài liệu giáo viên
Sách
Khóa học
Thi online
Hỏi đáp

