100 bài tập trắc nghiệm Hệ hai phương trình bậc nhất hai ẩn lớp 9 (có đáp án)
Tài liệu 100 bài tập trắc nghiệm Hệ hai phương trình bậc nhất hai ẩn lớp 9 có đáp án với các dạng bài tập cơ bản, nâng cao đầy đủ các mức độ: nhận biết, thông hiểu, vận dụng, vận dụng cao sẽ giúp học sinh ôn luyện và biết cách làm các dạng bài tập Toán 9.
100 bài tập trắc nghiệm Hệ hai phương trình bậc nhất hai ẩn lớp 9 (có đáp án)
(199k) Học Toán 9 KNTTHọc Toán 9 CDHọc Toán 9 CTST
- Trắc nghiệm Phương trình bậc nhất hai ẩn (có đáp án)
- Trắc nghiệm Phương trình bậc nhất hai ẩn (có đáp án - phần 2)
- Trắc nghiệm Hệ hai phương trình bậc nhất hai ẩn (có đáp án)
- Trắc nghiệm Giải hệ phương trình bằng phương pháp thế (có đáp án)
- Trắc nghiệm Giải hệ phương trình bằng phương pháp cộng đại số (có đáp án)
- Bài tập Hệ phương trình bậc nhất hai ẩn chứa tham số (có đáp án)
- Trắc nghiệm Giải bài toán bằng cách lập hệ phương trình (có đáp án)
- Trắc nghiệm Giải bài toán bằng cách lập hệ phương trình (có đáp án - phần 2)
- 17 Bài tập Hệ hai phương trình bậc nhất hai ẩn nâng cao (có đáp án)
- Top 20 Bài tập trắc nghiệm Hệ hai phương trình bậc nhất hai ẩn (có đáp án)
Trắc nghiệm Phương trình bậc nhất hai ẩn (có đáp án)
Câu 1: Cho phương trình ax + by = c với a ≠ 0; b ≠ 0. Nghiệm của phương trình được biểu diễn bởi.
Lời giải:
Nghiệm của phương trình được biểu diễn bởi
Đáp án cần chọn là: A
Câu 2: Cho phương trình ax + by = c với a ≠ 0; b ≠ 0. Chọn câu đúng nhất.
A. Phương trình đã cho luôn có vô số nghiệm
B. Tập nghiệm của phương trình được biểu diễn bởi đường thẳng d: ax + by = c
C. Tập nghiệm của phương trình là
D. Cả A, B, C đều đúng
Lời giải:
Phương trình bậc nhất hai ẩn ax + by = c luôn có vô số nghiệm
Tập nghiệm của phương trình được biểu diễn bởi đường thẳng d: ax + by = x
Ta có với a ≠ 0; b ≠ 0 thì ax + by = c ⇔ by = −ax + c ⇔
Nghiệm của phương trình là
Vậy cả A, B, C đều đúng
Đáp án cần chọn là: D
Câu 3: Phương trình nào sau đây là bậc nhất hai ẩn?
Lời giải:
Phương trình là phương trình bậc nhất hai ẩn
Đáp án cần chọn là: C
Câu 4: Phương trình nào sau đây là phương trình bậc nhất hai ẩn?
Lời giải:
Phương trình 4x + 0y – 6 = 0 là phương trình bậc nhất hai ẩn
Đáp án cần chọn là: A
Câu 5: Phương trình nào dưới đây nhận cặp số (−2; 4) làm nghiệm?
A. x – 2y = 0
B. 2x + y = 0
C. x – y = 2
D. x + 2y + 1 = 0
Lời giải:
Thay x = −2; y = 4 vào từng phương trình ta được:
+) x – 2y = −2 – 2.4 = −10 ≠ 0 nên loại A
+) x – y = −2 – 4 = −6 ≠ 0 nên loại C
+) x + 2y + 1 = −2 + 2.4 + 1 = 7 ≠ 0 nên loại D
+) 2x + y = −2.2 + 4 = 0 nên B
Đáp án cần chọn là: B
Câu 6: Phương trình nào dưới đây nhận cặp số (−3; −2) làm nghiệm?
A. x + y = 2
B. 2x + y = 1
C. x – 2y = 1
D. 5x + 2y + 12 = 0
Lời giải:
Thay x = −3; y = −2 vào từng phương trình ta được
+) x + y = −3 + (−2) = −5 ≠ 2 nên loại A
+) 2x + y = 2.(−3) + (−2) = −8 ≠ 1 nên loại B
+) x – 2y = −3 – 2.(−2) = 1 nên chọn C
+) 5x + 2y + 12 = 5. (−3) + 2.(−2) + 12 = −7 nên loại D
Đáp án cần chọn là: C
Câu 7: Phương trình x – 5y + 7 = 0 nhận cặp số nào sau đây làm nghiệm?
A. (0; 1)
B. (−1; 2)
C. (3; 2)
D. (2; 4)
Lời giải:
+) Thay x = 0; y = 1 vào phương trình x – 5y + 7 = 0 ta được
0 −5.1 + 7 = 0 ⇔ 2 = 0 (vô lý) nên loại A
+) Thay x = −1; y = 2 vào phương trình x – 5y + 7 = 0 ta được
−1 – 5.2 + 7 = 0 ⇔ −4 = 0 (vô lý) nên loại B
+) Thay x = 2; y = 4 vào phương trình x – 5y + 7 = 0 ta được
2 – 5.4 + 7 = 0 ⇔ −11 = 0 (vô lý) nên loại D
+) Thay x = 3; y = 2 vào phương trình x – 5y + 7 = 0 ta được
3 – 5.2 + 7 = 0 (luôn đúng) nên chọn C
Đáp án cần chọn là: C
Câu 8: Phương trình 5x + 4y = 8 nhận cặp số nào sau đây làm nghiệm?
A. (−2; 1)
B. (−1; 0)
C. (1,5; 3)
D. (4; −3)
Lời giải:
Xét phương trình 5x + 4y = 8
Cặp số (−2; 1) không phải nghiệm của phương trình vì 5 (−2) + 4.1 = −6. Do đó loại A
Cặp số (−1; 0) không phải nghiệm của phương trình vì 5.(−1) + 4.0 = −5. Do đó loại B
Cặp số (1,5; 3) không phải nghiệm của phương trình vì 5.1,5 + 4.3 = 19,5. Do đó loại C
Cặp số (4; −3) là nghiệm của phương trình vì 5.4 + 4.(−3) = 8. Do đó chọn D.
Đáp án cần chọn là: D
Câu 9: Tìm m để phương trình nhận cặp số (1; 1) làm nghiệm.
A. m = 5
B. m = 2
C. m = −5
D. m = −2
Lời giải:
Thay x = 1; y = 1 vào phương trình ta được
Vậy m = 5
Đáp án cần chọn là: A
Câu 10: Tìm số dương m để phương trình 2x – (m – 2)2y = 5 nhận cặp số (−10; −1) làm nghiệm.
A. m = 5
B. m = 7
C. m = −3
D. m = 7; m = −3
Lời giải:
Thay x = −10; y = −1 vào phương trình 2x – (m – 2)2y = 5 ta được
Vậy m = 7
Đáp án cần chọn là: B
Trắc nghiệm Hệ hai phương trình bậc nhất hai ẩn (có đáp án)
Câu 1: Hệ phương trình có nghiệm duy nhất khi
Lời giải:
Đáp án cần chọn là: A
Câu 2: Hệ phương trình (các hệ số a’; b’; c’ khác 0) vô số nghiệm khi?
Lời giải:
Hệ phương trình
có vô số nghiệm khi d: ax + by = c và d’: a’x + b’y = c’ trùng nhau, suy ra hệ phương trình có vô số nghiệm
Đáp án cần chọn là: B
Câu 3: Hệ phương trình bậc nhất hai ẩn (các hệ số khác 0) vô nghiệm khi?
Lời giải:
Xét hệ phương trình bậc nhất hai ẩn (các hệ số khác 0)
Đáp án cần chọn là: B
Câu 4: Hệ phương trình có các hệ số khác 0 và
. Chọn câu đúng.
A. Hệ phương trình có nghiệm duy nhất
B. Hệ phương trình vô nghiệm
C. Hệ phương trình vô số nghiệm
D. Chưa kết luận được về nghiệm của hệ
Lời giải:
Đáp án cần chọn là: B
Câu 5: Không giải hệ phương trình, dự đoán số nghiệm của hệ
A. Vô số nghiệm
B. Vô nghiệm
C. Có nghiệm duy nhất
D. Có hai nghiệm phân biệt
Lời giải:
Xét hệ phương trình nên hệ phương trình có nghiệm duy nhất
Đáp án cần chọn là: C
Câu 6: Không giải hệ phương trình, dự đoán số nghiệm của hệ
A. Vô số nghiệm
B. Vô nghiệm
C. Có nghiệm duy nhất
D. Có hai nghiệm phân biệt
Lời giải:
Xét hệ phương trình nên hệ phương trình có nghiệm duy nhất
Đáp án cần chọn là: C
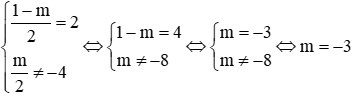
Câu 7: Xác định giá trị của tham số m để hệ phương trình vô nghiệm
Lời giải:
Để hệ phương trình
Đáp án cần chọn là: A
Câu 8: Xác định giá trị của tham số m để hệ phương trình vô nghiệm
A. m = 1
B. m = −1
C. m = 3
D. m = −3
Lời giải:
Để hệ phương trình
vô nghiệm thì đường thẳng d: y = 2x – 4 song song với đường thẳng d’:
suy ra
Đáp án cần chọn là: D
Câu 9: Không giải hệ phương trình, dự đoán số nghiệm của hệ
A. Vô số nghiệm
B. Vô nghiệm
C. Có nghiệm duy nhất
D. Có hai nghiệm phân biệt
Lời giải:
Đáp án cần chọn là: B
Câu 10: Cho hệ (I): . Chọn kết luận đúng.
A. Hai hệ đã cho đều vô nghiệm
B. Hai hệ đã cho đều có nghiệm duy nhất
C. Hệ (I) vô nghiệm, hệ (II) có nghiệm duy nhất
D. Hệ (I) và (II) đều có vô số nghiệm
Lời giải:
Xét hệ (I):
Nhận thấy rằng hai đường thẳng (d1): y = x + 1 và (d2): y = x + 1 trùng nhau nên hệ (I) có vô số nghiệm.
Nhận thấy rằng hai đường thẳng trùng nhau nên hệ (II) có vô số nghiệm
Đáp án cần chọn là: D
(199k) Học Toán 9 KNTTHọc Toán 9 CDHọc Toán 9 CTST
Xem thêm bài tập trắc nghiệm Toán lớp 9 có lời giải hay khác:
- 100 bài tập trắc nghiệm Căn bậc hai; Căn bậc ba (có đáp án)
- 100 bài tập trắc nghiệm Hàm số bậc nhất (có đáp án)
- 100 bài tập trắc nghiệm Hệ thức lượng trong tam giác vuông (có đáp án)
- 100 bài tập trắc nghiệm Đường tròn (có đáp án)
- 100 bài tập trắc nghiệm Hàm số y = ax^2; Phương trình bậc hai một ẩn (có đáp án)
- 100 bài tập trắc nghiệm Góc với đường tròn (có đáp án)
- 100 bài tập trắc nghiệm Hình trụ; Hình nón; Hình cầu (có đáp án)
Tủ sách VIETJACK luyện thi vào 10 cho 2k11 (2026):
Đã có app VietJack trên điện thoại, giải bài tập SGK, SBT Soạn văn, Văn mẫu, Thi online, Bài giảng....miễn phí. Tải ngay ứng dụng trên Android và iOS.
Theo dõi chúng tôi miễn phí trên mạng xã hội facebook và youtube:Loạt bài Chuyên đề: Lý thuyết - Bài tập Toán lớp 9 Đại số và Hình học có đáp án có đầy đủ Lý thuyết và các dạng bài được biên soạn bám sát nội dung chương trình sgk Đại số 9 và Hình học 9.
Nếu thấy hay, hãy động viên và chia sẻ nhé! Các bình luận không phù hợp với nội quy bình luận trang web sẽ bị cấm bình luận vĩnh viễn.
- Giải Tiếng Anh 9 Global Success
- Giải sgk Tiếng Anh 9 Smart World
- Giải sgk Tiếng Anh 9 Friends plus
- Lớp 9 Kết nối tri thức
- Soạn văn 9 (hay nhất) - KNTT
- Soạn văn 9 (ngắn nhất) - KNTT
- Giải sgk Toán 9 - KNTT
- Giải sgk Khoa học tự nhiên 9 - KNTT
- Giải sgk Lịch Sử 9 - KNTT
- Giải sgk Địa Lí 9 - KNTT
- Giải sgk Giáo dục công dân 9 - KNTT
- Giải sgk Tin học 9 - KNTT
- Giải sgk Công nghệ 9 - KNTT
- Giải sgk Hoạt động trải nghiệm 9 - KNTT
- Giải sgk Âm nhạc 9 - KNTT
- Giải sgk Mĩ thuật 9 - KNTT
- Lớp 9 Chân trời sáng tạo
- Soạn văn 9 (hay nhất) - CTST
- Soạn văn 9 (ngắn nhất) - CTST
- Giải sgk Toán 9 - CTST
- Giải sgk Khoa học tự nhiên 9 - CTST
- Giải sgk Lịch Sử 9 - CTST
- Giải sgk Địa Lí 9 - CTST
- Giải sgk Giáo dục công dân 9 - CTST
- Giải sgk Tin học 9 - CTST
- Giải sgk Công nghệ 9 - CTST
- Giải sgk Hoạt động trải nghiệm 9 - CTST
- Giải sgk Âm nhạc 9 - CTST
- Giải sgk Mĩ thuật 9 - CTST
- Lớp 9 Cánh diều
- Soạn văn 9 Cánh diều (hay nhất)
- Soạn văn 9 Cánh diều (ngắn nhất)
- Giải sgk Toán 9 - Cánh diều
- Giải sgk Khoa học tự nhiên 9 - Cánh diều
- Giải sgk Lịch Sử 9 - Cánh diều
- Giải sgk Địa Lí 9 - Cánh diều
- Giải sgk Giáo dục công dân 9 - Cánh diều
- Giải sgk Tin học 9 - Cánh diều
- Giải sgk Công nghệ 9 - Cánh diều
- Giải sgk Hoạt động trải nghiệm 9 - Cánh diều
- Giải sgk Âm nhạc 9 - Cánh diều
- Giải sgk Mĩ thuật 9 - Cánh diều


Giải bài tập SGK & SBT
Tài liệu giáo viên
Sách
Khóa học
Thi online
Hỏi đáp

