Trắc nghiệm Tổng và hiệu của hai vectơ (có lời giải)
Trắc nghiệm Tổng và hiệu của hai vectơ (có lời giải)
(199k) Học Toán 10 KNTTHọc Toán 10 CDHọc Toán 10 CTST
Câu 1: Cho tam giác ABC vuông tại A có AB= √5 ,AC=2√5.
a) Độ dài vectơ AB→ + AC→ bằng:
A. √5 B. 5√5 C. 25 D. 5
b) Độ dài vectơ AC→-AB→ bằng:
A. √5 B. 15 C. 5 D. 2
a) Đáp án D
a) Dựng hình chữ nhật ABEC. Theo quy tắc hình bình hành ta có AB→+AC→=AE→. Áp dụng định lý Py – ta – go trong tam giác vuông ABC ta có BC2= AB2 + AC2=5+20=25 ⇒ BC=5.
Vậy |AB→+AC→ |=|AE→ |=|BC→ | = BC = 5.
b) Đáp án C
b) Ta có AC→-AB→=BC→ (quy tắc về hiệu vectơ), do đó |AC→-AB→ |=|BC→|. Chọn C.
Câu 2: Cho hình bình hành ABCD. Hai điểm M và N lần lượt là trung điểm của BC và AD. Cặp vectơ nào trong số các cặp vectơ sau đây không bằng nhau?
Đáp án A
Do ABCD là hình bình hành nên: AD = BC.
Lại có: M và N lần lượt là trung điểm của BC; AD
Nên : AN = ND= BM = MC.
Chọn A.
Lưu ý: Trong phương án B, vì CD→=BA→, ta có
Trong phương án D, vì tứ giác AMCN là hình bình hành nên ta có:
Vì tứ giác ABCD là hình bình hành nên
Suy ra
Trong phương án C,
Câu 3: Cho tam giác ABC. Các điểm M, N và P lần lượt là trung điểm của các cạnh AB, AC và BC.
a) Đẳng thức nào sau đây đúng?
b) Tổng nào sau đây khác vectơ 0→ ?
a) Đáp án C
Hướng dẫn: a) Xét tam giác ABC có M; N; P lần lượt là trung điểm của AB; AC; BC nên NP; MP là đường trung bình của tam giác. Suy ra: NP// AB; MP// AC Do đó, AMPN là hình bình hành.
Theo quy tắc hình bình hành ta có AM→+AN→=AP→. Vậy C đúng.
b) Đáp án C
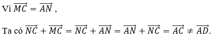
b) Ta có:
Nhận xét: Các tổng vectơ trong phương án A, B đều bằng 0→ , chẳng hạn
Câu 4: Cho tam giác đều ABC cạnh a, đường cao AH. Hỏi a√3 là độ dài của vectơ nào trong số các vectơ sau đây?
Đáp án B
Câu 5: Cho tam giác ABC. Vectơ AB→+AC→ có giá chứa đường thẳng nào sau đây?
A. Tia phân giác của góc A
B. Đường cao hạ từ đỉnh A của tam giác ABC
C. Đường trung tuyến qua A của tam giác ABC
D. Đường thẳng BC
Đáp án C
Dựng hình bình hành ABCD
Theo quy tắc hình bình hành, ta có AB→+AC→=AD→.
Vì AD chứa đường trung tuyến AE của tam giác ABC, do đó AB→+AC→ có giá chứa đường trung tuyến qua A. Chọn C.
Câu 6: Tam giác ABC là tam giác vuông nếu nó thỏa mãn điều kiện nào sau đây?
Đáp án A
Dựng hình bình hành ABCD. Theo quy tắc hình bình hành ta có AB→+AC→=AD→ , theo quy tắc về hiệu hai vectơ ta có AB→-AC→=CB→. Từ giả thiết của phương án A suy ra |AD→|=|BC→| , tức là AD = BC. Hình bình hành ABCD có hai đường chéo bằng nhau, nên nó là hình chữ nhật, tức là tam giác ABC vuông.
Câu 7: Với hai vectơ a→ và b→ bất kì, khẳng định nào sau đây đúng?
Đáp án A
Từ điểm O bất kì ta dựng
Với ba điểm O, A, B ta luôn có
Lưu ý: Đẳng thức xảy ra khi và chỉ khi A nằm giữa O và B, tức là a→ và b→ cùng hướng.
Câu 8: Cho ngũ giác đều ABCDE tâm O. Mệnh đề nào sau đây là sai?
Đáp án C
Ngũ giác nhận OA làm trụ đối xứng nên
Suy ra A đúng. Tương tự, B đúng.
D đúng do OA→+OB→ và OC→+OE→ cùng phương với OD→.
Câu 9: Cho ba điểm phân biệt A, B, C. Khẳng định nào sau đây luôn đúng?
Đáp án B
Câu 10: Điều kiện nào dưới đây là điều kiện cần và đủ để điểm O là trung điểm của đoạn thẳng AB?
Đáp án D
Câu 11: Cho hình bình hành ABCD tâm O. Khẳng định nào sau đây sai?
Đáp án A
Câu 12: Cho hình bình hành ABCD tâm O. Khi đó OB→-OA→ bằng
Đáp án A
(199k) Học Toán 10 KNTTHọc Toán 10 CDHọc Toán 10 CTST
Xem thêm bài tập trắc nghiệm Toán 10 có lời giải hay khác:
- Trắc nghiệm Tổng và hiệu của hai vectơ (có lời giải - phần 2)
- Trắc nghiệm Tích của vectơ với một số (có lời giải)
- Trắc nghiệm Tích của vectơ với một số (có lời giải - phần 2)
- Trắc nghiệm Tích của vectơ với một số (có lời giải - phần 3)
- Trắc nghiệm Hệ trục tọa độ (có đáp án)
Để học tốt lớp 10 các môn học sách mới:
- Giải bài tập Lớp 10 Kết nối tri thức
- Giải bài tập Lớp 10 Chân trời sáng tạo
- Giải bài tập Lớp 10 Cánh diều
Tủ sách VIETJACK shopee lớp 10-11 (cả 3 bộ sách):
Đã có app VietJack trên điện thoại, giải bài tập SGK, SBT Soạn văn, Văn mẫu, Thi online, Bài giảng....miễn phí. Tải ngay ứng dụng trên Android và iOS.
Theo dõi chúng tôi miễn phí trên mạng xã hội facebook và youtube:Nếu thấy hay, hãy động viên và chia sẻ nhé! Các bình luận không phù hợp với nội quy bình luận trang web sẽ bị cấm bình luận vĩnh viễn.
- Giải Tiếng Anh 10 Global Success
- Giải Tiếng Anh 10 Friends Global
- Giải sgk Tiếng Anh 10 iLearn Smart World
- Giải sgk Tiếng Anh 10 Explore New Worlds
- Lớp 10 - Kết nối tri thức
- Soạn văn 10 (hay nhất) - KNTT
- Soạn văn 10 (ngắn nhất) - KNTT
- Soạn văn 10 (siêu ngắn) - KNTT
- Giải sgk Toán 10 - KNTT
- Giải sgk Vật lí 10 - KNTT
- Giải sgk Hóa học 10 - KNTT
- Giải sgk Sinh học 10 - KNTT
- Giải sgk Địa lí 10 - KNTT
- Giải sgk Lịch sử 10 - KNTT
- Giải sgk Kinh tế và Pháp luật 10 - KNTT
- Giải sgk Tin học 10 - KNTT
- Giải sgk Công nghệ 10 - KNTT
- Giải sgk Hoạt động trải nghiệm 10 - KNTT
- Giải sgk Giáo dục quốc phòng 10 - KNTT
- Lớp 10 - Chân trời sáng tạo
- Soạn văn 10 (hay nhất) - CTST
- Soạn văn 10 (ngắn nhất) - CTST
- Soạn văn 10 (siêu ngắn) - CTST
- Giải Toán 10 - CTST
- Giải sgk Vật lí 10 - CTST
- Giải sgk Hóa học 10 - CTST
- Giải sgk Sinh học 10 - CTST
- Giải sgk Địa lí 10 - CTST
- Giải sgk Lịch sử 10 - CTST
- Giải sgk Kinh tế và Pháp luật 10 - CTST
- Giải sgk Hoạt động trải nghiệm 10 - CTST
- Lớp 10 - Cánh diều
- Soạn văn 10 (hay nhất) - Cánh diều
- Soạn văn 10 (ngắn nhất) - Cánh diều
- Soạn văn 10 (siêu ngắn) - Cánh diều
- Giải sgk Toán 10 - Cánh diều
- Giải sgk Vật lí 10 - Cánh diều
- Giải sgk Hóa học 10 - Cánh diều
- Giải sgk Sinh học 10 - Cánh diều
- Giải sgk Địa lí 10 - Cánh diều
- Giải sgk Lịch sử 10 - Cánh diều
- Giải sgk Kinh tế và Pháp luật 10 - Cánh diều
- Giải sgk Tin học 10 - Cánh diều
- Giải sgk Công nghệ 10 - Cánh diều
- Giải sgk Hoạt động trải nghiệm 10 - Cánh diều
- Giải sgk Giáo dục quốc phòng 10 - Cánh diều


Giải bài tập SGK & SBT
Tài liệu giáo viên
Sách
Khóa học
Thi online
Hỏi đáp

