Đề tham khảo tuyển sinh vào lớp 10 Toán (Chuyên) Phú Thọ năm 2026
Bài viết cập nhật Đề tham khảo tuyển sinh vào lớp 10 Toán (Chuyên) Phú Thọ năm 2026 giúp học sinh làm quen với cách ra đề từ đó có thêm tài liệu ôn thi vào lớp 10 môn Toán.
Đề tham khảo tuyển sinh vào lớp 10 Toán (Chuyên) Phú Thọ năm 2026
Chỉ từ 150k mua trọn bộ Đề ôn thi vào 10 môn Toán năm 2026 theo cấu trúc mới bản word có lời giải chi tiết:
- B1: gửi phí vào tk:
1133836868- CT TNHH DAU TU VA DV GD VIETJACK - Ngân hàng MB (QR) - B2: Nhắn tin tới Zalo VietJack Official - nhấn vào đây để thông báo và nhận giáo án
A. CẤU TRÚC ĐỀ THI TUYỂN SINH VÀO LỚP 10 TOÁN (CHUYÊN) PHÚ THỌ NĂM 2026
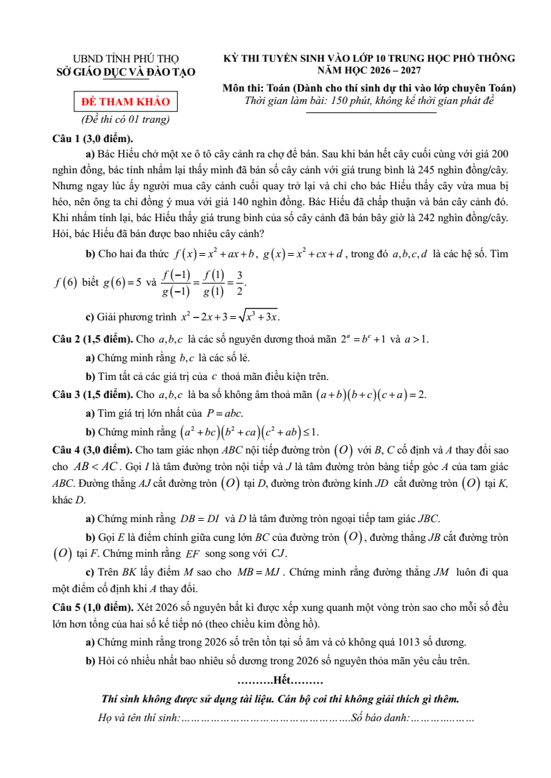
B. ĐỀ THI THAM KHẢO TUYỂN SINH VÀO LỚP 10 TOÁN (CHUYÊN) PHÚ THỌ NĂM 2026
Xem thêm đề tham khảo vào 10 Toán năm 2026 trên cả nước khác:
Đề tham khảo tuyển sinh vào lớp 10 Toán (không chuyên) Phú Thọ năm 2026
Đề tham khảo tuyển sinh vào lớp 10 Toán (không chuyên) Ninh Bình năm 2026
Đề tham khảo tuyển sinh vào lớp 10 Toán (Chuyên) Ninh Bình năm 2026
Để học tốt lớp 10 các môn học sách mới:
- Giải bài tập Lớp 10 Kết nối tri thức
- Giải bài tập Lớp 10 Chân trời sáng tạo
- Giải bài tập Lớp 10 Cánh diều
Tủ sách VIETJACK luyện thi vào 10 cho 2k11 (2026):
Đã có app VietJack trên điện thoại, giải bài tập SGK, SBT Soạn văn, Văn mẫu, Thi online, Bài giảng....miễn phí. Tải ngay ứng dụng trên Android và iOS.
Theo dõi chúng tôi miễn phí trên mạng xã hội facebook và youtube:Loạt bài Đề thi vào lớp 10 môn Toán (có đáp án) được các Giáo viên hàng đầu biên soạn theo cấu trúc ra đề thi Trắc nghiệm, Tự luận mới giúp bạn ôn luyện và giành được điểm cao trong kì thi vào lớp 10 môn Toán.
Nếu thấy hay, hãy động viên và chia sẻ nhé! Các bình luận không phù hợp với nội quy bình luận trang web sẽ bị cấm bình luận vĩnh viễn.
- Giáo án lớp 9 (các môn học)
- Giáo án điện tử lớp 9 (các môn học)
- Giáo án Toán 9
- Giáo án Ngữ văn 9
- Giáo án Tiếng Anh 9
- Giáo án Khoa học tự nhiên 9
- Giáo án Vật Lí 9
- Giáo án Hóa học 9
- Giáo án Sinh học 9
- Giáo án Địa Lí 9
- Giáo án Lịch Sử 9
- Giáo án GDCD 9
- Giáo án Tin học 9
- Giáo án Công nghệ 9
- Đề thi lớp 9 (các môn học)
- Đề thi Ngữ Văn 9 (có đáp án)
- Đề thi Toán 9 (có đáp án)
- Đề thi Tiếng Anh 9 mới (có đáp án)
- Đề thi Tiếng Anh 9 (có đáp án)
- Đề thi Khoa học tự nhiên 9 (có đáp án)
- Đề thi Lịch Sử và Địa Lí 9 (có đáp án)
- Đề thi GDCD 9 (có đáp án)
- Đề thi Tin học 9 (có đáp án)
- Đề thi Công nghệ 9 (có đáp án)


Giải bài tập SGK & SBT
Tài liệu giáo viên
Sách
Khóa học
Thi online
Hỏi đáp

