Đề thi môn Toán vào lớp 10 năm 2025 có đáp án (Tự luận - Đề 1)
Đề thi môn Toán vào lớp 10 năm 2025 có đáp án (Tự luận - Đề 1)
Xem thử Đề ôn vào 10 Xem thử Đề vào 10 Hà Nội Xem thử Đề vào 10 TP.HCM Xem thử Đề vào 10 Đà Nẵng
Chỉ từ 150k mua trọn bộ Đề ôn thi vào 10 môn Toán năm 2026 theo cấu trúc mới bản word có lời giải chi tiết:
- B1: gửi phí vào tk:
1133836868- CT TNHH DAU TU VA DV GD VIETJACK - Ngân hàng MB (QR) - B2: Nhắn tin tới Zalo VietJack Official - nhấn vào đây để thông báo và nhận đề thi
Sở Giáo dục và Đào tạo ....
Kì thi tuyển sinh vào lớp 10
Môn thi: Toán (hệ Công lập)
Thời gian làm bài: 120 phút
Bài 1: (2 điểm) Cho các biểu thức
a) Tính A khi x =
b) Rút gọn B
c) Cho P = B : A. Tìm x để P < 3
Bài 2 : ( 2 điểm)Giải bài toán bằng cách lập phương trình hoặc hệ phương trình:
Một đội thợ mỏ phải khai thác 216 tấn than trong một thời gian nhất định. Ba ngày đầu, mỗi đội khai thác theo đúng định mức. Sau đó, mỗi ngày họ đều khai thác vượt mức 8 tấn. Do đó họ đã khai thác được 232 tấn và xong trước thời hạn 1 ngày. Hỏi theo kế hoạch, mỗi ngày đội thợ phải khai thác bao nhiêu tấn than?
Bài 3 : ( 2,5 điểm)
1) giải hệ phương trình sau:
2) Cho phương trình (1)
a) Chứng minh phương trình (1) luôn có nghiệm với mọi m.
b) Gọi x1,x2 là hai nghiệm của phương trình (1). Tìm m để x1, x2 thỏa mãn
x1(1-x2) + x2(1 - x1 )< 4.
Bài 4 : ( 3,5 điểm) Cho tam giác ABC có 3 góc nhọn nội tiếp đường tròn (O; R) (với AB < AC). BE và CF là 2 đường cao của tam giác cắt nhau tại H
a) Chứng minh tứ giác BEFC và AEHF là tứ giác nội tiếp
b) Đường thẳng EF cắt đường thẳng BC tại S và EF cắt đường tròn (O) tại M và N (M nằm giữa S và E). Chứng minh SM. SN = SE. SF
c) Tia CE cắt đường tròn (O) tại K, vẽ dây KI song song với EF.
Chứng minh H, K đối xứng nhau qua AB
d) Chứng minh 3 điểm H, F, I thẳng hàng.
Bài 5 : (0,5 điểm)Cho ba số a, b, c > 0. Chứng minh rằng:
Đáp án và Hướng dẫn giải
Bài 1 :
c, Ta có:
Bài 2 :
Gọi số tấn than mỗi ngày đội thợ phải khai thác theo kế hoạch là x (tấn) (x >0)
=> Thời gian dự định làm là (ngày)
Số tấn than 3 ngày đầu khai thác được là: 3x ( tấn)
Sau 3 ngày đầu, mỗi ngày khai thác vượt mức 8 tấn. Do đó sau ba ngày đầu, số tấn than đội khai thác được mỗi ngày là: x + 8 (tấn)
Họ khai thác được 232 tấn nên thời gian khai thác thực tế là:
Do thời gian xong trước 1 ngày nên ta có phương trình
Do x > 0 nên x = 24
Vậy theo kế hoạch, mỗi ngày đội phải khai thác 24 tấn than.
Bài 3 :
Vậy hệ phương trình đã cho có nghiệm (x; y) = (7; 6)
2) x2 - 2(m - 2)x + 2m - 5 = 0
a) Δ' = (m - 2)2 - (2m - 5) = m2 - 6m + 9 = (m - 3)2 >= 0∀m
Vậy phương trình đã cho luôn có nghiệm với mọi m
b) Gọi x1,x2 là hai nghiệm của phương trình (1). Tìm m để x1, x2 thỏa mãn
x1(1 - x2 ) + x2 (1 - x1 ) < 4
Theo định lí Vi-et ta có:
x1 (1- x2 ) + x2 (1 - x1 ) = x1 - x1 x2 + x2 - x1 x2 = x1 + x2 - 2x1x2
= 2(m - 2) - 2(2m - 5) = -2m + 6
Theo bài ra:
x1 (1 - x2 ) + x2 (1 - x1 )<4
<=> -2m + 6 < 4 <=> m > 1
Vậy với m > 1 thì thỏa mãn yêu cầu đề bài
Bài 4 :
a) Xét tứ giác BEFC có:
∠BEC = 90 o (CE là đường cao)
∠BFC = 90 o (BF là đường cao)
=> 2 đỉnh E, F cùng nhìn cạnh BC dưới 1 góc vuông
=> Tứ giác BEFC là tứ giác nội tiếp
Xét tứ giác AEHF có:
∠AEH = 90 o (CE là đường cao)
∠AFH = 90 o (BF là đường cao)
=> ∠AEH + ∠AFH = 180 o
=> Tứ giác AEHF là tứ giác nội tiếp.
b) Xét ΔSBE và ΔSFC có:
∠FSC là góc chung
∠SEB = ∠SCF (Tứ giác BEFC là tứ giác nội tiếp)
=> ΔSBE ∼ ΔSFC (g.g)
=> => SE.SF = SB.SC (1)
Xét ΔSMC và ΔSNB có:
∠ NSC là góc chung
∠ SCM = ∠SNB (Hai góc nội tiếp cùng chắn cung MB)
=> ΔSMC ∼ ΔSBN (g.g)
=> =>SM.SN = SB.SC (2)
Từ (1) và (2) => SE.SF = SM.SN
c) Ta có:
=> ∠KAE = ∠HAE
=> AE là tia phân giác của góc ∠KAH
Mà AE cũng là đường cao của tam giác KAH
=> ΔKAH cân tại A
=> AE là đường trung tuyến của ΔKAH
=> E là trung điểm của KH hay K và H đối xứng nhau qua AB
d) Tia BF cắt đường tròn (O) tại J
∠KJB = ∠KCB (2 góc nội tiếp cùng chắn cung KB)
∠KCB = ∠EFH (tứ giác BEFC là tứ giác nội tiếp )
=> ∠KJB = ∠EFH
Mà 2 góc này ở vị trí so le trong
=> KJ // EF
KI // EF (gt)
=> I ≡ J
=> H, F, J thẳng hàng
Bài 5 :
Ta có: (a - b)2 ≥ 0 => a2 + b2 ≥ 2ab
a3 + b3 + abc = (a + b)(a2 - ab + b2 ) + abc
a3 + b3 + abc ≥ (a + b)(2ab - ab) + abc = ab(a + b) + abc
=> a3 + b3 + abc ≥ ab(a + b + c)
Vì a, b, c > 0 nên
Tương tự, ta có:
Dấu bằng xảy ra khi a = b = c
Sở Giáo dục và Đào tạo ....
Kì thi tuyển sinh vào lớp 10
Môn thi: Toán (hệ Công lập)
Thời gian làm bài: 120 phút
Bài 1: ( 1,5 điểm)
1) Với giá trị nào của x thì biểu thức sau xác định
2) Rút gọn biểu thức sau:
Bài 2 : ( 2 điểm)Cho hệ phương trình sau:
a) giải hệ phương trình trên khi m = 2
b) Tìm m để hệ phương trình có nghiệm duy nhất (x; y) thỏa mãn
(2m – 1)x + (m + 1)y = m
Bài 3 : ( 2 điểm)Cho phương trình bậc hai: x2 – mx + m – 1 = 0. Tìm m để phương trình có hai nghiệm x1 ; x2 sao cho biểu thức sau đạt giá trị lớn nhất
Tìm giá trị lớn nhất đó
Bài 4 : ( 1 điểm)Giải bài toán bằng cách lập phương trình hoặc hệ phương trình
Một ô tô dự định đi từ tỉnh A đến tỉnh B cách nhau 120km trong một thời gian quy định . Sau khi đi được một giờ ô tô bị chắn đường bởi xe hoả 10 phút. Do đó, để đến tỉnh B đúng hạn, xe phải tăng vận tốc thêm 6km/h. Tính vận tốc ô tô lúc đầu.
Bài 5 : ( 3,5 điểm) Cho tam giác ABC nội tiếp đường tròn (O). Các đường cao BE và CF cắt nhau tại H.
1) Chứng minh tứ giác BFEC là tứ giác nội tiếp
2) Chứng minh
3) BE và CF lần lượt cắt (O) tại điểm thứ hai là M và N. Chứng minh EF // MN
4) Giả sử B và C cố định; A thay đổi. Tìm vị trị của A sao cho tam giác AEH có diện tích lớn nhất.
Đáp án và Hướng dẫn giải
Bài 1 :
1) Biểu thức xác định khi
Vậy với x >= -2; x ≠ 0 thì biểu thức trên xác định
Bài 2 :
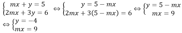
a) Khi m = 2, ta có hệ phương trình:
Vậy hệ phương trình có nghiệm (x; y) = (; -4)
b)
Hệ phương trình có nghiệm duy nhất khi m ≠0
Khi đó, hệ phương trình có nghiệm:
Theo bài ra: (2m – 1)x + (m + 1)y = m
⇔ (2m - 1) + (m+1)(-4) = m
⇔ 18 - - 4m - 4 = m
=>18m - 9 - 4m2 - 4m - m2 = 0
⇔ -5m2 + 14m - 9 = 0
Đối chiếu với điều kiện thỏa mãn m ≠0
Vậy m = 1 hoặc m = thỏa mãn ĐK
Bài 3 :
x2 – mx + m – 1 = 0
Δ = m2 - 4(m - 1) = m2 - 4m + 4 = (m - 2)2 > 0 ∀m
Vậy phương trình luôn có 2 nghiệm x1; x2 với mọi m
Theo định lí Vi-et, ta có:
Ta có: (m - 1)2 >= 0 ∀m
=> 1 - => 1 hay R => 1
Dấu bằng xảy ra khi m – 1 = 0 ⇔ m = 1
Vậy GTLN của R là 1 đạt được khi m = 1
Bài 4 :
Gọi vận tốc ban đầu của ô tô là x (km/h) (x > 0)
Thời gian dự định đi của ô tô là (h)
Quãng đường còn lại sau khi ô tô đi được 1 giờ là: 120 – x (km)
tô đi trên quãng đường còn lại với vận tốc là x + 6 (km/h)
Thời gian ô tô đi trên quãng đường còn lại là (h)
Theo bài ra ta có phương trình:
=> x2 + 42x - 4320 = 0
Do x > 0 nên x = 48
Vậy vận tốc dự định của ô tô là 48 km/h.
Bài 5 :
a) Xét tứ giác BFEC có:
∠BFC = 90o (CF là đường cao)
∠BEC = 90o (BE là đường cao)
=> 2 đỉnh E và F cùng nhìn BC dưới một góc bằng nhau
=> Tứ giác BFEC là tứ giác nội tiếp
b) Xét ΔABE và ΔACF có:
∠BAC là góc chung
∠AEB = ∠AFC = 90o
=> ΔABE ∼ ΔACF (g.g)
=> = <AB.AF = AC.AE
c) Tứ giác BFEC là tứ giác nội tiếp
=> ∠EFC = ∠EBC (2 góc nội tiếp cùng chắn cung EC)
Xét (O) có: ∠CNM = ∠EBC (2 góc nội tiếp cùng chắn cung MC)
=> ∠EFC = ∠CNM
Mà 2 góc này ở vị trí đồng vị
=> EF // MN
d) Kẻ đường kính AA', Nối A'H cắt BC tại K
Ta có: ∠ABA' = 90o (góc nội tiếp chắn nửa đường tròn)
=> AB ⊥ BA'
HC ⊥ AB (HC là đường cao)
=> BA' // HC
Tương tự: ∠ ACA' = 90o (góc nội tiếp chắn nửa đường tròn)
=> AC ⊥ CA'
HB⊥AC (BH là đường cao)
=> CA' // HB
Xét tứ giác BA'CH có:
=> Tứ giác BA' CH là hình bình hành.
2 đường chéo BC và A'H giao nhau tại K
=> K là trung điểm của A'H và BC
Do B, C,O cố định nên OK cố định
Xét tam giác AHA' có:
O là trung điểm của AA'
K là trung điểm của A'H
=> OK là đường trung bình của tam giác AHA'
=> OK= AH => AH = 2OK
Ta có:
4SAHE = 2AE.EH => AE2 + EH2 = AH2 = 4OK2
=> SAHE => OK2
Dấu bằng xảy ra khi AE = EH
=> ΔAHE cân tại E => ∠HAE = 45o => ∠CAB = 45o
Vậy điểm A nằm trên đường tròn sao cho ∠CAB = 45o
Xem thử Đề ôn vào 10 Xem thử Đề vào 10 Hà Nội Xem thử Đề vào 10 TP.HCM Xem thử Đề vào 10 Đà Nẵng
Xem thêm các đề thi vào lớp 10 môn Toán có đáp án hay khác:
Đề thi môn Toán vào lớp 10 năm 2025 có đáp án (Tự luận - Đề 2)
Đề thi môn Toán vào lớp 10 năm 2025 có đáp án (Tự luận - Đề 3)
Đề thi môn Toán vào lớp 10 năm 2025 có đáp án (Tự luận - Đề 4)
Đề thi môn Toán vào lớp 10 năm 2025 có đáp án (Tự luận - Đề 5)
Đề thi môn Toán vào lớp 10 năm 2025 có đáp án (Tự luận - Đề 6)
Đề thi môn Toán vào lớp 10 năm 2025 có đáp án (Tự luận - Đề 7)
Đề thi môn Toán vào lớp 10 năm 2025 có đáp án (Tự luận - Đề 8)
Đề thi môn Toán vào lớp 10 năm 2025 có đáp án (Tự luận - Đề 9)
Đề thi môn Toán vào lớp 10 năm 2025 có đáp án (Tự luận - Đề 10)
Để học tốt lớp 10 các môn học sách mới:
- Giải bài tập Lớp 10 Kết nối tri thức
- Giải bài tập Lớp 10 Chân trời sáng tạo
- Giải bài tập Lớp 10 Cánh diều
Tủ sách VIETJACK luyện thi vào 10 cho 2k11 (2026):
Đã có app VietJack trên điện thoại, giải bài tập SGK, SBT Soạn văn, Văn mẫu, Thi online, Bài giảng....miễn phí. Tải ngay ứng dụng trên Android và iOS.
Theo dõi chúng tôi miễn phí trên mạng xã hội facebook và youtube:Loạt bài Đề thi vào lớp 10 môn Toán (có đáp án) được các Giáo viên hàng đầu biên soạn theo cấu trúc ra đề thi Trắc nghiệm, Tự luận mới giúp bạn ôn luyện và giành được điểm cao trong kì thi vào lớp 10 môn Toán.
Nếu thấy hay, hãy động viên và chia sẻ nhé! Các bình luận không phù hợp với nội quy bình luận trang web sẽ bị cấm bình luận vĩnh viễn.
- Giáo án lớp 9 (các môn học)
- Giáo án điện tử lớp 9 (các môn học)
- Giáo án Toán 9
- Giáo án Ngữ văn 9
- Giáo án Tiếng Anh 9
- Giáo án Khoa học tự nhiên 9
- Giáo án Vật Lí 9
- Giáo án Hóa học 9
- Giáo án Sinh học 9
- Giáo án Địa Lí 9
- Giáo án Lịch Sử 9
- Giáo án GDCD 9
- Giáo án Tin học 9
- Giáo án Công nghệ 9
- Đề thi lớp 9 (các môn học)
- Đề thi Ngữ Văn 9 (có đáp án)
- Đề thi Toán 9 (có đáp án)
- Đề thi Tiếng Anh 9 mới (có đáp án)
- Đề thi Tiếng Anh 9 (có đáp án)
- Đề thi Khoa học tự nhiên 9 (có đáp án)
- Đề thi Lịch Sử và Địa Lí 9 (có đáp án)
- Đề thi GDCD 9 (có đáp án)
- Đề thi Tin học 9 (có đáp án)
- Đề thi Công nghệ 9 (có đáp án)


Giải bài tập SGK & SBT
Tài liệu giáo viên
Sách
Khóa học
Thi online
Hỏi đáp

