Đề thi môn Toán vào lớp 10 năm 2025 có đáp án (Tự luận - Đề 3)
Đề thi môn Toán vào lớp 10 năm 2025 có đáp án (Tự luận - Đề 3)
Xem thử Đề ôn vào 10 Xem thử Đề vào 10 Hà Nội Xem thử Đề vào 10 TP.HCM Xem thử Đề vào 10 Đà Nẵng
Chỉ từ 150k mua trọn bộ Đề ôn thi vào 10 môn Toán năm 2026 theo cấu trúc mới bản word có lời giải chi tiết:
- B1: gửi phí vào tk:
1133836868- CT TNHH DAU TU VA DV GD VIETJACK - Ngân hàng MB (QR) - B2: Nhắn tin tới Zalo VietJack Official - nhấn vào đây để thông báo và nhận đề thi
Sở Giáo dục và Đào tạo ....
Kì thi tuyển sinh vào lớp 10
Môn thi: Toán (hệ Công lập)
Thời gian làm bài: 120 phút
Bài 1 : ( 2 điểm)Cho biểu thức:
với x ≥ 0; x ≠ 9,x ≠ 25
a) Rút gọn A.
b) Tìm x để A < 1.
Bài 2 : ( 2 điểm)
1) Cho Phương trình: mx2 - 2(m + 1)x + (m - 4) = 0 (m là tham số).
a) Xác định m để các nghiệm x1; x2 của Phương trình thoả mãn x1 + 4x2 = 3
b) Tìm một hệ thức giữa x1; x2 mà không phụ thuộc vào m
2) giải hệ phương trình
Bài 3 : ( 2 điểm)Giải bài toán bằng cách lập phương trình hoặc hệ phương trình
Lớp 9A được phân công trồng 480 cây xanh. Tuy nhiên, khi lao động có 8 bạn vắng nên mỗi bạn có mặt phải trồng thêm 3 cây mới xong. Biết rằng số cây mỗi học sinh trồng như nhau. Hỏi lớp 9A có bao nhiêu học sinh?
Bài 4 : ( 3,5 điểm)Cho tam giác ABC nhọn nội tiếp đường tròn (O; R). AH là đường cao của tam giác ABC, M, N theo thứ tự là hình chiếu của H trên AB, AC.
a) Chứng minh AMHN là tứ giác nội tiếp
b) Chứng minh (ABC) =(ANM)
c) Chứng minh OA ⊥ MN
d) Khi AH = , Chứng minh M, O, N thẳng hàng
Bài 5: ( 0,5 điểm) Cho a, b > 0 và a + b =< 2. Tìm giá trị nhỏ nhất của biểu thức
Đáp án và Hướng dẫn giải
Bài 1:
a) Với x ≥ 0; x ≠ 9, x ≠ 25
Vậy với x > 4; x ≠ 9, x ≠ 25 thì A <
Bài 2:
a) Với m ≠ 0, phương trình trên là phương trình bậc hai ẩn x
Δ' = (m + 1)2 - m(m - 4) = m2 + 2m + 1 - m2 + 4m = 6m + 1
Phương trình có 2 nghiệm x1; x2 khi và chỉ khi Δ' = 6m + 1 ≥ 0
Khi đó, theo định lí Vi-et ta có:
Theo bài ra:
x1 + 4x2 = 3
<=> (x1 + x2 ) + 3x2 = 3
+ 3x2 = 3
=> 5m2 - 2m - 16 = 9m2 - 36m
<=> 4m2 - 34m + 16 = 0
Đối chiếu với điều kiện thỏa mãn
Vậy m = 8, m = thì x1 + 4x2 = 3
b) Ta có:
2(x1 + x2 ) + x1x2 = = 5
Vậy hệ thức liên hệ giữa x1 và x2 không phụ thuộc vào m là 2(x1 + x2 ) + x1x2 = 5
Bài 3:
Gọi số học Sinh 9A là x ( học sinh) (x > 8, x ∈ N)
Khi đó, số cây mỗi học sinh phải trồng là:
(cây học sinh )
Do có 8 bạn học sinh vắng mặt nên số cây mỗi bạn phải trồng là
(cây học sinh )
Theo bài ra, mỗi bạn phải trồng thêm 3 cây nên ta có phương trình
=> 480(x - 8) + 3x(x - 8) = 480x
<=> 3x2 - 24x - 3840 = 0
Vậy số học Sinh 9A là 40 học sinh
Bài 4:
a) Xét tứ giác AMHN có:
∠AMH = 90o (MH ⊥ AB)
∠ANH = 90o (NH ⊥ AC)
=> ∠AMH + ∠ANH = 180o
=> Tứ giác AMHN là tứ giác nội tiếp
b) Ta có:
ΔAMH vuông tại M: ∠AHM + ∠MAH = 90o
ΔABH vuông tại H: ∠ABC + ∠MAH = 90o
=> ∠AHM = ∠ABC
Do tứ giác AMHN là tứ giác nội tiếp nên ∠AHM = ∠ANM (2 góc nội tiếp cùng chắn cung AM)
=> ∠ABC = ∠ANM
c) Kẻ đường kính AD của (O), Gọi I là giao điểm của AD và MN
ΔANH vuông tại N: ∠AHN + ∠NAH = 90o
ΔACH vuông tại H: ∠AHN + ∠ACB = 90o
=> ∠NAH = ∠ACB
Ta lại có: ∠ACB = ∠ADB (2 góc nội tiếp cùng chắn cung AB)
=> ∠NAH = ∠ADB
Mặt khác: tứ giác AMHN là tứ giác nội tiếp nên ∠AMN = ∠AHN (2 góc nội tiếp cùng chắn cung AN)
=> ∠AMN = ∠ADB
Xét ΔAMI và ΔABD có:
∠BAD là góc chung
∠AMN = ∠ADB
=> ΔAMI ∼ ΔADB
=> ∠ AIM = ∠ABD
Mà ∠ABD = 90o (góc nội tiếp chắn nửa đường tròn)
=> ∠AIM = 90o
Hay OA ⊥ MN
d) Xét tam giác AIN và tam giác ACD có:
∠DAC là góc chung
∠AIN = ∠ACD = 90o
=> ΔAIN ∼ ΔACD
=><=> AI.AD = AC.AN (1)
Xét ΔAHC vuông tại H có HN là đường cao
=> AC. AN = AH2 (2)
Từ (1) và (2) => AI.AD = AH2 <=> AI.AD = 2R2
<=> AI.2R = 2R2 <=> AI = R <=> I ≡ O
Vậy M, N, O thẳng hàng.
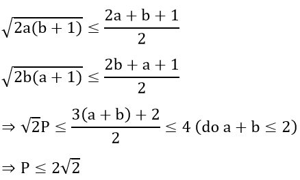
Bài 5:
Do a, b > 0 nên ta có:
Dấu bằng xảy ra khi:
Vậy GTLN của P là 2√2, đạt được khi a = b = 1.
Xem thử Đề ôn vào 10 Xem thử Đề vào 10 Hà Nội Xem thử Đề vào 10 TP.HCM Xem thử Đề vào 10 Đà Nẵng
Xem thêm các đề thi vào lớp 10 môn Toán có đáp án hay khác:
Đề thi môn Toán vào lớp 10 năm 2025 có đáp án (Tự luận - Đề 1)
Đề thi môn Toán vào lớp 10 năm 2025 có đáp án (Tự luận - Đề 2)
Đề thi môn Toán vào lớp 10 năm 2025 có đáp án (Tự luận - Đề 4)
Đề thi môn Toán vào lớp 10 năm 2025 có đáp án (Tự luận - Đề 5)
Đề thi môn Toán vào lớp 10 năm 2025 có đáp án (Tự luận - Đề 6)
Đề thi môn Toán vào lớp 10 năm 2025 có đáp án (Tự luận - Đề 7)
Đề thi môn Toán vào lớp 10 năm 2025 có đáp án (Tự luận - Đề 8)
Đề thi môn Toán vào lớp 10 năm 2025 có đáp án (Tự luận - Đề 9)
Đề thi môn Toán vào lớp 10 năm 2025 có đáp án (Tự luận - Đề 10)
Để học tốt lớp 10 các môn học sách mới:
- Giải bài tập Lớp 10 Kết nối tri thức
- Giải bài tập Lớp 10 Chân trời sáng tạo
- Giải bài tập Lớp 10 Cánh diều
Tủ sách VIETJACK luyện thi vào 10 cho 2k11 (2026):
Đã có app VietJack trên điện thoại, giải bài tập SGK, SBT Soạn văn, Văn mẫu, Thi online, Bài giảng....miễn phí. Tải ngay ứng dụng trên Android và iOS.
Theo dõi chúng tôi miễn phí trên mạng xã hội facebook và youtube:Loạt bài Đề thi vào lớp 10 môn Toán (có đáp án) được các Giáo viên hàng đầu biên soạn theo cấu trúc ra đề thi Trắc nghiệm, Tự luận mới giúp bạn ôn luyện và giành được điểm cao trong kì thi vào lớp 10 môn Toán.
Nếu thấy hay, hãy động viên và chia sẻ nhé! Các bình luận không phù hợp với nội quy bình luận trang web sẽ bị cấm bình luận vĩnh viễn.
- Giáo án lớp 9 (các môn học)
- Giáo án điện tử lớp 9 (các môn học)
- Giáo án Toán 9
- Giáo án Ngữ văn 9
- Giáo án Tiếng Anh 9
- Giáo án Khoa học tự nhiên 9
- Giáo án Vật Lí 9
- Giáo án Hóa học 9
- Giáo án Sinh học 9
- Giáo án Địa Lí 9
- Giáo án Lịch Sử 9
- Giáo án GDCD 9
- Giáo án Tin học 9
- Giáo án Công nghệ 9
- Đề thi lớp 9 (các môn học)
- Đề thi Ngữ Văn 9 (có đáp án)
- Đề thi Toán 9 (có đáp án)
- Đề thi Tiếng Anh 9 mới (có đáp án)
- Đề thi Tiếng Anh 9 (có đáp án)
- Đề thi Khoa học tự nhiên 9 (có đáp án)
- Đề thi Lịch Sử và Địa Lí 9 (có đáp án)
- Đề thi GDCD 9 (có đáp án)
- Đề thi Tin học 9 (có đáp án)
- Đề thi Công nghệ 9 (có đáp án)


Giải bài tập SGK & SBT
Tài liệu giáo viên
Sách
Khóa học
Thi online
Hỏi đáp

