Đề thi môn Toán vào lớp 10 năm 2025 có đáp án (Tự luận - Đề 2)
Đề thi môn Toán vào lớp 10 năm 2025 có đáp án (Tự luận - Đề 2)
Xem thử Đề ôn vào 10 Xem thử Đề vào 10 Hà Nội Xem thử Đề vào 10 TP.HCM Xem thử Đề vào 10 Đà Nẵng
Chỉ từ 150k mua trọn bộ Đề ôn thi vào 10 môn Toán năm 2026 theo cấu trúc mới bản word có lời giải chi tiết:
- B1: gửi phí vào tk:
1133836868- CT TNHH DAU TU VA DV GD VIETJACK - Ngân hàng MB (QR) - B2: Nhắn tin tới Zalo VietJack Official - nhấn vào đây để thông báo và nhận đề thi
Sở Giáo dục và Đào tạo ....
Kì thi tuyển sinh vào lớp 10
Môn thi: Toán (hệ Công lập)
Thời gian làm bài: 120 phút
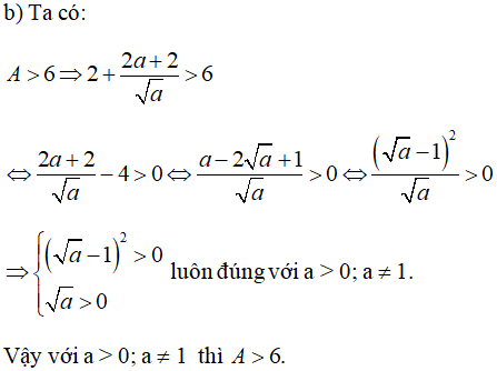
Bài 1 : ( 2 điểm)Cho biểu thức:
a) Rút gọn A
b) Tìm a để A > 6
Bài 2 : ( 1,5 điểm)Giải bài toán bằng cách lập phương trình hoặc hệ phương trình
Một ca nô xuôi từ bến A đến B cách nhau 40km, sau đó lại ngược trở về A. Hãy tính vận tốc riêng của ca nô biết rằng thời gian ca nô đi xuôi ít hơn thời gian ca nô đi ngược là 20 phút, vận tốc dòng nước là 3km/h và vận tốc riêng của ca nô không đổi.
Bài 3 : ( 2,5 điểm)
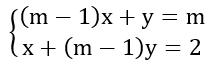
1) Cho hệ phương trình:
a) Giải hệ phương trình khi m = 3
b) Tìm m để hệ phương trình có nghiệm duy nhất (x; y) thỏa mãn 2x2 - 7y = 1
2) Cho parabol (P): y = x2 và đường thẳng y = - 2ax – 4a (với là tham số )
a) Tìm tọa độ giao điểm của (d) và (P) khi a = -1.
b) Tìm tất cả các giá trị của a để đường thẳng (d) cắt (P) tại hai điểm phân biệt có hoành độ x1; x2 thỏa mãn |x1| + |x2| = 3
Bài 4 : ( 3,5 điểm)Cho tam giác ABC nhọn, vẽ đường tròn (O) đường kính BC cắt AB, AC lần lượt tại F và E. CF cắt BE tại H.
a) Chứng minh tứ giác AEHF nội tiếp
b) Gọi I là tâm đường tròn ngoại tiếp tứ giác AEHF, Tính số đo cung EHF, diện tích hình quạt IEHF của đường tròn (I) nếu góc BAC = 60o, AH = 4 cm.
c) AH giao BC tại D. Chứng minh FH là tia phân giác của góc DFE
d) Chứng minh 2 tiếp tuyến của (O) tại E, F và AH đồng quy tại 1 điểm
Bài 5 : ( 0,5 điểm)
Cho các số a, b, c thỏa mãn điều kiện 0 < a < b và phương trình ax2 + bx + c =0 vô nghiệm. Chứng minh rằng:
Đáp án và Hướng dẫn giải
Bài 1 :
Điều kiện: a > 0; a ≠ 1
Bài 2 : Đổi: 20 phút = 1/3 giờ.
Gọi vận tốc riêng của cano là x (km/h) (x > 3)
Vận tốc của cano khi xuôi dòng là x + 3 (km/h)
Thời gian khi cano xuôi dòng là: (h)
Vận tốc cano khi ngược dòng là x – 3 (km/h)
Vận tốc cano khi ngược dòng là x – 3 (km/h)
Thời gian khi cano ngược dòng là: (h)
Do thời gian xuôi ít hơn thời gian ngược là 20 phút nên ta có phương trình
=> 120x + 360 - x2 + 9 = 120x - 360
=> x2 = 729 => x = ± 27
Do x > 0 nên x = 27
Vậy vận tốc riêng của cano là 27 km/h
Bài 3 : 1)
a) Khi m = 3, ta có hệ phương trình
Vậy nghiệm của hệ phương trình là:
b) Ta có hệ phương trình:
2) Cho parabol (P): y = x2 và đường thẳng (d) y = - 2ax – 4a (với là tham số )
a) Tìm tọa độ giao điểm của (d) và (P) khi a = -1.
Khi a = -1; đường thẳng (d): y = 2x + 4
Phương trình hoành độ giao điểm của (P) và (d) là:
x2 - 2x - 4 = 0
b) Tìm tất cả các giá trị của a để đường thẳng (d) cắt (P) tại hai điểm phân biệt có hoành độ x1; x2 thỏa mãn | x1|+|x2|=3
Phương trình hoành độ giao điểm của (P) và (d) là:
x2 = -2ax - 4a
>=< x2 + 2ax + 4a = 0
Δ' = a2 - 4a
Đường thẳng (d) cắt (P) tại hai điểm phân biệt khi và chỉ khi phương trình hoành độ giao điểm có 2 nghiệm phân biệt
<=> Δ' ≥ 0 <=> a2- 4a > 0
Vậy với a < 0 hoặc a > 4 thì phương trình (1) có hai nghiệm phân biệt x1, x2.
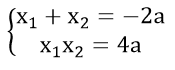
Áp dụng định lí Vi- et ta có:
Theo bài ra: | x1 | + |x2 | = 3
<=> x12 + x22 + 2|x1x2 | = 9
<=> (x1 + x2 )2 - 2x1x2 + 2|x1x2 | = 9
<=> 4a2 - 2.4a + 2|4a| = 9 (1)
Với a < 0, (1) trở thành: 4a2 - 8a - 8a = 9
<=> 4a2 - 16a - 9 = 0
Do a < 0 nên a =
Với a > 4, phương trình (1) trở thành:
4a2 - 8a + 8a = 9
<=> a =
Do a > 4 nên không có a thỏa mãn
Vậy với a = thì thỏa mãn yêu cầu đề bài.
Bài 4 :
a) Ta có:
c) Xét tam giác ABC có:
BE và CF là các đường cao
BE giao với CF tại H
=> H là trực tâm tam giác ABC
=>AH ⊥ BC hay ∠ADC = ∠ADB = 90o
Xét tứ giác BEFC có:
∠BFC = ∠BEC = 90o
=> 2 đỉnh E, F cùng nhìn cạnh BC dưới 1 góc bằng nhau
=> BEFC là tứ giác nội tiếp
=> ∠HFE = ∠BEC ( 2 góc nội tiếp cùng chắn cung EC) (1)
Xét tứ giác BFHD có:
∠BFH = ∠HDB = 90o
=>∠BFH + ∠HDB = 180o
=> Tứ giác BFHD là tứ giác nội tiếp ( tổng 2 góc đối bằng 180o)
=> ∠DFH = ∠BEC ( 2 góc nội tiếp cùng chắn cung HD) (2)
Từ (1) và (2) = > ∠HFE = ∠DFH
=> FH tia phân giác của góc ∠DFE
d) Tam giác OFB cân tại O => ∠OFB = ∠FBO
Tam giác BFC vuông tại F => ∠FBO + ∠HCD = 90o
=> ∠OFB + ∠HCD = 90o (*)
Từ (*) và (**) => ∠OFB = ∠IFH
=> ∠OFB + ∠OFH = ∠IFH + ∠OFH <=> ∠BFC = ∠FIO <=> ∠FIO) = 90o
Vậy FI là tiếp tuyến của (O)
Chứng minh tương tự EI là tiếp tuyến của (O)
Mà I là trung điểm của AH
=> Tiếp tuyến của (O) tại E và F và AH đồng quy tại 1 điểm.
Bài 5 :
Vì phương trình ax2 + bx + c = 0 vô nghiệm nên b2 – 4ac < 0
<=> b2 < 4ac <=> c > => c > 0 (vì 0 < a < b)
>3 <=> a + b + c > 3b - 3a (Do 0 < a < b)
<=> 4a - 2b + c > 0 <=> 4ac - 2bc + c2 > 0 (Vì c > 0)
<=> b2 - 2bc + c2 + 4ac - b2 > 0 <=> (b - c)2 + 4ac - b2 > 0
Bất đẳng thức trên đúng
Xem thử Đề ôn vào 10 Xem thử Đề vào 10 Hà Nội Xem thử Đề vào 10 TP.HCM Xem thử Đề vào 10 Đà Nẵng
Xem thêm các đề thi vào lớp 10 môn Toán có đáp án hay khác:
Đề thi môn Toán vào lớp 10 năm 2025 có đáp án (Tự luận - Đề 1)
Đề thi môn Toán vào lớp 10 năm 2025 có đáp án (Tự luận - Đề 3)
Đề thi môn Toán vào lớp 10 năm 2025 có đáp án (Tự luận - Đề 4)
Đề thi môn Toán vào lớp 10 năm 2025 có đáp án (Tự luận - Đề 5)
Đề thi môn Toán vào lớp 10 năm 2025 có đáp án (Tự luận - Đề 6)
Đề thi môn Toán vào lớp 10 năm 2025 có đáp án (Tự luận - Đề 7)
Đề thi môn Toán vào lớp 10 năm 2025 có đáp án (Tự luận - Đề 8)
Đề thi môn Toán vào lớp 10 năm 2025 có đáp án (Tự luận - Đề 9)
Đề thi môn Toán vào lớp 10 năm 2025 có đáp án (Tự luận - Đề 10)
Để học tốt lớp 10 các môn học sách mới:
- Giải bài tập Lớp 10 Kết nối tri thức
- Giải bài tập Lớp 10 Chân trời sáng tạo
- Giải bài tập Lớp 10 Cánh diều
Tủ sách VIETJACK luyện thi vào 10 cho 2k11 (2026):
Đã có app VietJack trên điện thoại, giải bài tập SGK, SBT Soạn văn, Văn mẫu, Thi online, Bài giảng....miễn phí. Tải ngay ứng dụng trên Android và iOS.
Theo dõi chúng tôi miễn phí trên mạng xã hội facebook và youtube:Loạt bài Đề thi vào lớp 10 môn Toán (có đáp án) được các Giáo viên hàng đầu biên soạn theo cấu trúc ra đề thi Trắc nghiệm, Tự luận mới giúp bạn ôn luyện và giành được điểm cao trong kì thi vào lớp 10 môn Toán.
Nếu thấy hay, hãy động viên và chia sẻ nhé! Các bình luận không phù hợp với nội quy bình luận trang web sẽ bị cấm bình luận vĩnh viễn.
- Giáo án lớp 9 (các môn học)
- Giáo án điện tử lớp 9 (các môn học)
- Giáo án Toán 9
- Giáo án Ngữ văn 9
- Giáo án Tiếng Anh 9
- Giáo án Khoa học tự nhiên 9
- Giáo án Vật Lí 9
- Giáo án Hóa học 9
- Giáo án Sinh học 9
- Giáo án Địa Lí 9
- Giáo án Lịch Sử 9
- Giáo án GDCD 9
- Giáo án Tin học 9
- Giáo án Công nghệ 9
- Đề thi lớp 9 (các môn học)
- Đề thi Ngữ Văn 9 (có đáp án)
- Đề thi Toán 9 (có đáp án)
- Đề thi Tiếng Anh 9 mới (có đáp án)
- Đề thi Tiếng Anh 9 (có đáp án)
- Đề thi Khoa học tự nhiên 9 (có đáp án)
- Đề thi Lịch Sử và Địa Lí 9 (có đáp án)
- Đề thi GDCD 9 (có đáp án)
- Đề thi Tin học 9 (có đáp án)
- Đề thi Công nghệ 9 (có đáp án)


Giải bài tập SGK & SBT
Tài liệu giáo viên
Sách
Khóa học
Thi online
Hỏi đáp

