Bài 3.3 trang 56 Sách bài tập Đại số 10
Bài 1: Đại cương về phương trình
Bài 3.3 trang 56 Sách bài tập Đại số 10: Giải các phương trình:
Lời giải:
a) Điều kiện của phương trình là x > 1. Ta có
Cả hai giá trị x = 1, x = -1 đều không thỏa mãn điều kiện x > 1.
Vậy phương trình đã cho vô nghiệm.
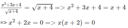
b) Điều kiện của phương trình là x > -4. Ta có
Phương trình cuối có hai nghiệm x1 = 0 và x2 = -2
Cả hai giá trị x1 = 0 và x2 = -2 đều thỏa mãn điều kiện x > -4 và nghiệm đúng phương trình đã cho.
c) Điều kiện của phương trình là x > 2/3. Ta có
Chỉ có giá trị x = 4/3 thỏa mãn điều kiện x > 2/3 và nghiệm đúng phương trình đã cho.
Vậy phương trình có nghiệm duy nhất x = 4/3
d) Điều kiện của phương trình là x ≠ 1, ta có
Giá trị x = 1 bị loại do vi phậm điều kiện x ≠ 1 và giá trị x = -2 nghiệm đúng phương trình đã cho.
Vậy nghiệm của phương trình đã cho là x = -2.
Các bài giải sách bài tập Đại số 10 khác:
Bài 3.2 trang 56 Sách bài tập Đại số 10: Xác định tham số m để các cặp phương....
Bài 3.3 trang 56 Sách bài tập Đại số 10: Giải các phương trình....
Bài 3.4 trang 57 Sách bài tập Đại số 10: Xác định m để mỗi cặp phương....
Bài tập trắc nghiệm trang 57, 58 Sách bài tập Đại số 10: Bài 3.5: Điều kiện của phương trình....
- Giải bài tập Lớp 10 Kết nối tri thức
- Giải bài tập Lớp 10 Chân trời sáng tạo
- Giải bài tập Lớp 10 Cánh diều
- Giải Tiếng Anh 10 Global Success
- Giải Tiếng Anh 10 Friends Global
- Giải sgk Tiếng Anh 10 iLearn Smart World
- Giải sgk Tiếng Anh 10 Explore New Worlds
- Lớp 10 - Kết nối tri thức
- Soạn văn 10 (hay nhất) - KNTT
- Soạn văn 10 (ngắn nhất) - KNTT
- Soạn văn 10 (siêu ngắn) - KNTT
- Giải sgk Toán 10 - KNTT
- Giải sgk Vật lí 10 - KNTT
- Giải sgk Hóa học 10 - KNTT
- Giải sgk Sinh học 10 - KNTT
- Giải sgk Địa lí 10 - KNTT
- Giải sgk Lịch sử 10 - KNTT
- Giải sgk Kinh tế và Pháp luật 10 - KNTT
- Giải sgk Tin học 10 - KNTT
- Giải sgk Công nghệ 10 - KNTT
- Giải sgk Hoạt động trải nghiệm 10 - KNTT
- Giải sgk Giáo dục quốc phòng 10 - KNTT
- Lớp 10 - Chân trời sáng tạo
- Soạn văn 10 (hay nhất) - CTST
- Soạn văn 10 (ngắn nhất) - CTST
- Soạn văn 10 (siêu ngắn) - CTST
- Giải Toán 10 - CTST
- Giải sgk Vật lí 10 - CTST
- Giải sgk Hóa học 10 - CTST
- Giải sgk Sinh học 10 - CTST
- Giải sgk Địa lí 10 - CTST
- Giải sgk Lịch sử 10 - CTST
- Giải sgk Kinh tế và Pháp luật 10 - CTST
- Giải sgk Hoạt động trải nghiệm 10 - CTST
- Lớp 10 - Cánh diều
- Soạn văn 10 (hay nhất) - Cánh diều
- Soạn văn 10 (ngắn nhất) - Cánh diều
- Soạn văn 10 (siêu ngắn) - Cánh diều
- Giải sgk Toán 10 - Cánh diều
- Giải sgk Vật lí 10 - Cánh diều
- Giải sgk Hóa học 10 - Cánh diều
- Giải sgk Sinh học 10 - Cánh diều
- Giải sgk Địa lí 10 - Cánh diều
- Giải sgk Lịch sử 10 - Cánh diều
- Giải sgk Kinh tế và Pháp luật 10 - Cánh diều
- Giải sgk Tin học 10 - Cánh diều
- Giải sgk Công nghệ 10 - Cánh diều
- Giải sgk Hoạt động trải nghiệm 10 - Cánh diều
- Giải sgk Giáo dục quốc phòng 10 - Cánh diều
Để học tốt lớp 10 các môn học sách mới:
Tủ sách VIETJACK shopee lớp 10-11 (cả 3 bộ sách):
Đã có app VietJack trên điện thoại, giải bài tập SGK, SBT Soạn văn, Văn mẫu, Thi online, Bài giảng....miễn phí. Tải ngay ứng dụng trên Android và iOS.
Theo dõi chúng tôi miễn phí trên mạng xã hội facebook và youtube:Nếu thấy hay, hãy động viên và chia sẻ nhé! Các bình luận không phù hợp với nội quy bình luận trang web sẽ bị cấm bình luận vĩnh viễn.


Giải bài tập SGK & SBT
Tài liệu giáo viên
Sách
Khóa học
Thi online
Hỏi đáp

