Giải bài 38 trang 127 SGK Đại Số 10 nâng cao
Luyện tập (trang 127)
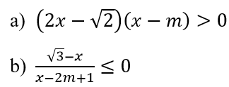
Bài 38 (trang 127 sgk Đại Số 10 nâng cao): Giải và biện luận các bất phương trình:
Lời giải:
a) (2x-√2)(x-m)>0 =>(x-√2/2)(x-m)>0
Nếu m<√2/2, thì lập bảng xét dấu vế trái của bất phương trình, từ đó ta có tập nghiệm là T=(-∞;m)∪(√2/2;+∞).
Nếu m=√2/2 thì tập nghiệm : T=R/{√2/2 }
Nếu m>√2/2 thì ;ập bảng xét dấu vế trái của bất phương trình, từ đó suy ra tập nghiệm là T=(-∞;√2/2)∪(m;+∞)
b) Tương tự cách làm câu a) ta có các kết quả sau của sự biện luận
m<(√3+1)/2, tập nghiệm của bất phương trình là: T=(-∞;2m-1) ∪ (√3; +∞)
m=(√3+1)/2, tập nghiệm của bất phương trình là : T=R \ {√3}
m>(√3+1)/2, tập nghiệm của bất phương trình là:
T=(-∞;√3]∪(2m-1;+∞)
Các bài giải bài tập Đại số 10 nâng cao bài luyện tập (trang 127) chương 4 khác:
Bài 36 (trang 127 SGK Đại Số 10 nâng cao): Giải và biện luận các ...
Bài 37 (trang 127 SGK Đại Số 10 nâng cao): Giải các bất phương trình :...
Bài 38 (trang 127 SGK Đại Số 10 nâng cao): Giải và biện luận các...
Bài 39 (trang 127 SGK Đại Số 10 nâng cao): Tìm nghiệm nguyên của ...
Bài 40 (trang 127 SGK Đại Số 10 nâng cao): Giải các phương trình và ...
Bài 41 (trang 127 SGK Đại Số 10 nâng cao): Giải và biện luận các ...
Để học tốt lớp 10 các môn học sách mới:
- Giải bài tập Lớp 10 Kết nối tri thức
- Giải bài tập Lớp 10 Chân trời sáng tạo
- Giải bài tập Lớp 10 Cánh diều
Tủ sách VIETJACK shopee lớp 10-11 (cả 3 bộ sách):
Đã có app VietJack trên điện thoại, giải bài tập SGK, SBT Soạn văn, Văn mẫu, Thi online, Bài giảng....miễn phí. Tải ngay ứng dụng trên Android và iOS.
Theo dõi chúng tôi miễn phí trên mạng xã hội facebook và youtube:Nếu thấy hay, hãy động viên và chia sẻ nhé! Các bình luận không phù hợp với nội quy bình luận trang web sẽ bị cấm bình luận vĩnh viễn.
- Giải Tiếng Anh 10 Global Success
- Giải Tiếng Anh 10 Friends Global
- Giải sgk Tiếng Anh 10 iLearn Smart World
- Giải sgk Tiếng Anh 10 Explore New Worlds
- Lớp 10 - Kết nối tri thức
- Soạn văn 10 (hay nhất) - KNTT
- Soạn văn 10 (ngắn nhất) - KNTT
- Soạn văn 10 (siêu ngắn) - KNTT
- Giải sgk Toán 10 - KNTT
- Giải sgk Vật lí 10 - KNTT
- Giải sgk Hóa học 10 - KNTT
- Giải sgk Sinh học 10 - KNTT
- Giải sgk Địa lí 10 - KNTT
- Giải sgk Lịch sử 10 - KNTT
- Giải sgk Kinh tế và Pháp luật 10 - KNTT
- Giải sgk Tin học 10 - KNTT
- Giải sgk Công nghệ 10 - KNTT
- Giải sgk Hoạt động trải nghiệm 10 - KNTT
- Giải sgk Giáo dục quốc phòng 10 - KNTT
- Lớp 10 - Chân trời sáng tạo
- Soạn văn 10 (hay nhất) - CTST
- Soạn văn 10 (ngắn nhất) - CTST
- Soạn văn 10 (siêu ngắn) - CTST
- Giải Toán 10 - CTST
- Giải sgk Vật lí 10 - CTST
- Giải sgk Hóa học 10 - CTST
- Giải sgk Sinh học 10 - CTST
- Giải sgk Địa lí 10 - CTST
- Giải sgk Lịch sử 10 - CTST
- Giải sgk Kinh tế và Pháp luật 10 - CTST
- Giải sgk Hoạt động trải nghiệm 10 - CTST
- Lớp 10 - Cánh diều
- Soạn văn 10 (hay nhất) - Cánh diều
- Soạn văn 10 (ngắn nhất) - Cánh diều
- Soạn văn 10 (siêu ngắn) - Cánh diều
- Giải sgk Toán 10 - Cánh diều
- Giải sgk Vật lí 10 - Cánh diều
- Giải sgk Hóa học 10 - Cánh diều
- Giải sgk Sinh học 10 - Cánh diều
- Giải sgk Địa lí 10 - Cánh diều
- Giải sgk Lịch sử 10 - Cánh diều
- Giải sgk Kinh tế và Pháp luật 10 - Cánh diều
- Giải sgk Tin học 10 - Cánh diều
- Giải sgk Công nghệ 10 - Cánh diều
- Giải sgk Hoạt động trải nghiệm 10 - Cánh diều
- Giải sgk Giáo dục quốc phòng 10 - Cánh diều


Giải bài tập SGK & SBT
Tài liệu giáo viên
Sách
Khóa học
Thi online
Hỏi đáp

