Giải Toán 9 VNEN Bài 10: Ôn tập chương 1
MỤC TIÊU
- Vận dụng thành thạo các kiến thức cơ bản về căn bậc hai
- Vận dụng tổng hợp các kĩ năng đã có về tính toán biến đổi biểu thức số và biểu thức chữ có chứa căn bậc hai
C. Hoạt động luyện tập
Làm việc theo nhóm, tổng kết các kiến thức cơ bản về căn bậc hai rồi trình bày kết quả (vó thể vận dụng sơ đồ tư duy để trình bày):
1. Kết quả nào sau đây đúng?
Lời giải:
Ta có:
Suy ra A sai, B đúng
Ta có:
suy ra C sai
Ta có:
suy ra D sai
Vậy B đúng.
2. Rút gọn biểu thức
ta được kết quả là:
A. 6 B. √6
C. 2 D. 2√2
Bài làm
Ta có:
Suy ra D đúng.
3. Khẳng định nào sau đây đúng?
Lời giải:
4. Thực hiện phép tính:
Lời giải:
5. Giải phương trình:
Lời giải:
6. Chứng minh đẳng thức:
Lời giải:
a) Biến đôi vế trái ta được:
Sau khi biến đổi ta được vế trái bằng vế phải. Vậy đẳng thức được chứng minh.
b) Biến đổi vế trái ta được:
Sau khi biến đổi ta được vế trái bằng vế phải. Vậy đẳng thức được chứng minh.
7.
Cho biểu thức: P với x ≥ 0, x ≠ 1
a) Rút gọn biểu thức P
b) Tính giá trị của P với x = 4/9
c) Tìm giá trị của x để |P| = 1/3
Bài làm:
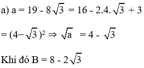
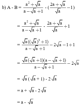
8.
Cho hai biểu thức: A và B với a > 0
a) Tính giá trị của biểu thức B khi a = 19 – 8√3
b) Rút gọn biểu thức A – B;
c) Tìm giá trị của a để A – B = 2
d) Tìm giá trị của a để biểu thức A – B đạt giá trị nhỏ nhất
Lời giải:
9.
Cho biểu thức:
a) Rút gọn P
b) Tính giá trị của P tại
c) Chứng minh P ≤ 1
Bài làm:
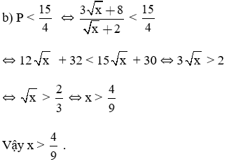
10.
Cho biểu thức: P với x ≥ 0, x ≠ 1
a) Rút gọn biểu thức P
b) Tìm x để P < 15/4
Bài làm:
D.E. Hoạt động vận dụng và tìm tòi, mở rộng
1. Tìm giá trị lớn nhất của
Lời giải:
Áp dụng bất đẳng thức Cô-si cho hai số ta có:
Dấu bằng khi x - 2 = 4 - x ⇔ x = 3
Vậy Max A = 1 khi x = 3.
2. Tìm các số hữu tỉ a sao cho biểu thức
có giá trị là số nguyên.
Lời giải:
Để B có giá trị nguyên thì
phải là số nguyên hay 2 chia hết cho √a - 1
*TH1: √a - 1 = - 2 ⇔ √a = - 1 (vô nghiệm)
*TH2: √a - 1 = - 1 ⇔ √a = 0 ⇔ x = 0
*TH3: √a - 1 = 1 ⇔ √a = 2 ⇔ x = 4
*TH4: √a - 1 = 2 ⇔ √a = 3 ⇔ x = 9
Vậy B nguyên khi x thuộc tập nghiệm S = {0; 4; 9}.
Xem thêm các bài Giải bài tập Toán lớp 9 chương trình VNEN hay khác:
- Bài 6: Các căn thức bậc hai và các tính chất
- Bài 7: Biến đổi đơn giản biểu thức chứa căn thức bậc hai
- Bài 8: Rút gọn biểu thức chứa căn bậc hai
- Bài 9: Căn bậc ba
- Bài 10: Ôn tập chương 1
Xem thêm các loạt bài Để học tốt Toán lớp 9 hay khác:
- Giải sách bài tập Toán 9
- Chuyên đề Toán 9 (có đáp án - cực hay)
- Lý thuyết & 500 Bài tập Toán 9 (có đáp án)
- Các dạng bài tập Toán 9 cực hay
- Đề thi Toán 9
- Đề thi vào 10 môn Toán
Tủ sách VIETJACK luyện thi vào 10 cho 2k11 (2026):
Đã có app VietJack trên điện thoại, giải bài tập SGK, SBT Soạn văn, Văn mẫu, Thi online, Bài giảng....miễn phí. Tải ngay ứng dụng trên Android và iOS.
Theo dõi chúng tôi miễn phí trên mạng xã hội facebook và youtube:Loạt bài Giải bài tập Toán lớp 9 VNEN của chúng tôi được biên soạn bám sát theo chương trình Hướng dẫn học Toán 9 chương trình mới VNEN Tập 1 & Tập 2.
Nếu thấy hay, hãy động viên và chia sẻ nhé! Các bình luận không phù hợp với nội quy bình luận trang web sẽ bị cấm bình luận vĩnh viễn.
- Giải Tiếng Anh 9 Global Success
- Giải sgk Tiếng Anh 9 Smart World
- Giải sgk Tiếng Anh 9 Friends plus
- Lớp 9 Kết nối tri thức
- Soạn văn 9 (hay nhất) - KNTT
- Soạn văn 9 (ngắn nhất) - KNTT
- Giải sgk Toán 9 - KNTT
- Giải sgk Khoa học tự nhiên 9 - KNTT
- Giải sgk Lịch Sử 9 - KNTT
- Giải sgk Địa Lí 9 - KNTT
- Giải sgk Giáo dục công dân 9 - KNTT
- Giải sgk Tin học 9 - KNTT
- Giải sgk Công nghệ 9 - KNTT
- Giải sgk Hoạt động trải nghiệm 9 - KNTT
- Giải sgk Âm nhạc 9 - KNTT
- Giải sgk Mĩ thuật 9 - KNTT
- Lớp 9 Chân trời sáng tạo
- Soạn văn 9 (hay nhất) - CTST
- Soạn văn 9 (ngắn nhất) - CTST
- Giải sgk Toán 9 - CTST
- Giải sgk Khoa học tự nhiên 9 - CTST
- Giải sgk Lịch Sử 9 - CTST
- Giải sgk Địa Lí 9 - CTST
- Giải sgk Giáo dục công dân 9 - CTST
- Giải sgk Tin học 9 - CTST
- Giải sgk Công nghệ 9 - CTST
- Giải sgk Hoạt động trải nghiệm 9 - CTST
- Giải sgk Âm nhạc 9 - CTST
- Giải sgk Mĩ thuật 9 - CTST
- Lớp 9 Cánh diều
- Soạn văn 9 Cánh diều (hay nhất)
- Soạn văn 9 Cánh diều (ngắn nhất)
- Giải sgk Toán 9 - Cánh diều
- Giải sgk Khoa học tự nhiên 9 - Cánh diều
- Giải sgk Lịch Sử 9 - Cánh diều
- Giải sgk Địa Lí 9 - Cánh diều
- Giải sgk Giáo dục công dân 9 - Cánh diều
- Giải sgk Tin học 9 - Cánh diều
- Giải sgk Công nghệ 9 - Cánh diều
- Giải sgk Hoạt động trải nghiệm 9 - Cánh diều
- Giải sgk Âm nhạc 9 - Cánh diều
- Giải sgk Mĩ thuật 9 - Cánh diều


Giải bài tập SGK & SBT
Tài liệu giáo viên
Sách
Khóa học
Thi online
Hỏi đáp

