Giải Toán 9 VNEN Bài 6: Các căn thức bậc hai và các tính chất
MỤC TIÊU
- Hiểu nội dung và cách chứng minh định lí √(A2) = |A|.
- Biết vận dụng quy tắc √(A2) = |A| trong tính căn thức.
A.B. Hoạt động khởi động và hình thành kiến thức
1. Tính và dự đoán:
+) Tính:
+) Dự đoán rồi điền dấu (<, >, =) thích hợp:
Ta có:
+) Tính:
+) Nếu a ≥ 0, ta có |a| = a, nên (|a|)2 = a2;
+) Nếu a < 0, ta có |a| = -a, nên (|a|)2 = (-a)2 = a2.
Do đó (|a|)2 = a2 với mọi a. Vậy |a| chính là căn bậc hai số học của a2, tức là
Kết luận: Với mọi số a, ta có
2. a) Đọc hiểu nội dung sau:
Ví dụ: √5x là căn thức bậc hai của 5x; √5x xác định khi 5x ≥ 0, tức là khi x ≥ 0.
Chẳng hạn với x = 2 thì √5x lấy giá trị √10; với x = 5 thì √5x lấy giá trị √25 = 5.
Một cách tổng quát:
Với A là một biểu thức đại số, người ta gọi √A là căn thức bậc hai của A, còn A được gọi là biểu thức lấy căn hay biểu thức dưới dấu căn.
√A xác định (hay có nghĩa) khi A lấy giá trị không âm.
b) Cũng như căn bậc hai số học, ta có:
Với mỗi biểu thức A thì:
Ví dụ: Rút gọn
Hướng dẫn:
c) Chú ý
- Với các biểu thức A và B không âm, ta có:
- Với các biểu thức A không âm và B dương ta có:
C. Hoạt động luyện tập
1. Tính:
Bài làm
2. Tính:
Lời giải:
Giải câu a)
Giải câu b)
Giải câu c)
Giải câu d)
Giải câu e)
Giải câu g)
3. Tính:
Bài làm
Giải câu a)
Giải câu b)
Giải câu c)
4. Tính:
Bài làm
Giải câu a)
Ta có:
Giải câu b)
Ta có:
Giải câu c)
Ta có:
Giải câu d)
Ta có:
5. Tính giá trị các biểu thức sau với b > 0:
Bài làm
Giải câu a)
Giải câu b)
Giải câu c)
Giải câu d)
Giải câu e)
Giải câu g)
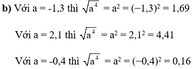
6. Tính giá trị các biểu thức sau với a < 0:
Bài làm
Giải câu a)
Giải câu b)
Giải câu c)
Giải câu d)
Giải câu e)
Giải câu g)
7. Với giá trị nào của x thì mỗi căn thức sau có nghĩa:
a)
Để căn thức có nghĩa thì x/3 ≥ 0 ⇔ x ≥ 0
b)
Để căn thức có nghĩa thì -5x ≥ 0 ⇔ x ≤ 0
c)
Để căn thức có nghĩa thì 4 - x ≥ 0 ⇔ x ≤ 4
d)
Để căn thức có nghĩa thì 3x + 7 ≥ 0 ⇔ x ≥ -7/3.
8. Tìm x để mỗi căn thức sau có nghĩa:
Bài làm
a)
Để căn thức có nghĩa thì 2x + 7 ≥ 0 ⇔ x ≥ -7/2
b)
Để căn thức có nghĩa thì - 3x + 4 ≥ 0 ⇔ x ≤ 4/3
c)
Để căn thức có nghĩa thì
⇔ -1 + x > 0 ⇔ x > 1.
D.E. Hoạt động vận dụng và tìm tòi, mở rộng
1. Khoanh vào chữ đặt trước kết quả đúng:
Kết quả của phép khai căn
là:
A. 2a – 1 B. 1 – 2a
C. 2a – 1 và 1 – 2a D. |2a – 1|
Bài làm
Theo tính chất ta có:
nên
suy ra đáp án D đúng.
2. Khẳng định nào sau đây đúng?
Bài làm
Theo tính chất ta có:
nên
Suy ra đáp án A đúng.
3. Em có biết?
Tại đỉnh tháp nghiêng Pi-da (Pisa), ở I-ta-li-a, nhà khoa học Ga-li-ê (G.Galilei) đã thực hiện một thí nghiệm vạt lí để nghiên cứu về sự rơi tự do. Ông khẳng định rằng vận tốc của vật rơi tự do tăng dần và không phụ thuộc vào trong lượng của vật. Quãng đường chuyển động s (mét) của vật rơi phụ thuộc vào thời gian t (giây) bởi công thức: s = 5t2
Cho biết một vật rơi ở độ cao so với mặt đất là 320m. Hỏi sau bao lâu vật tiếp đất?
Bài làm
Một vật rơi ở độ cao so với mặt đất là 320m tức là s = 320
Ta có công thức s = 5t2 ⇔ 5t2 = 320 ⇔ t = 8 (s)
Vậy sau 8s thì vật tiếp đất.
Xem thêm các bài Giải bài tập Toán lớp 9 chương trình VNEN hay khác:
- Bài 6: Các căn thức bậc hai và các tính chất
- Bài 7: Biến đổi đơn giản biểu thức chứa căn thức bậc hai
- Bài 8: Rút gọn biểu thức chứa căn bậc hai
- Bài 9: Căn bậc ba
- Bài 10: Ôn tập chương I
Xem thêm các loạt bài Để học tốt Toán lớp 9 hay khác:
- Giải sách bài tập Toán 9
- Chuyên đề Toán 9 (có đáp án - cực hay)
- Lý thuyết & 500 Bài tập Toán 9 (có đáp án)
- Các dạng bài tập Toán 9 cực hay
- Đề thi Toán 9
- Đề thi vào 10 môn Toán
Tủ sách VIETJACK luyện thi vào 10 cho 2k11 (2026):
Đã có app VietJack trên điện thoại, giải bài tập SGK, SBT Soạn văn, Văn mẫu, Thi online, Bài giảng....miễn phí. Tải ngay ứng dụng trên Android và iOS.
Theo dõi chúng tôi miễn phí trên mạng xã hội facebook và youtube:Loạt bài Giải bài tập Toán lớp 9 VNEN của chúng tôi được biên soạn bám sát theo chương trình Hướng dẫn học Toán 9 chương trình mới VNEN Tập 1 & Tập 2.
Nếu thấy hay, hãy động viên và chia sẻ nhé! Các bình luận không phù hợp với nội quy bình luận trang web sẽ bị cấm bình luận vĩnh viễn.
- Giải Tiếng Anh 9 Global Success
- Giải sgk Tiếng Anh 9 Smart World
- Giải sgk Tiếng Anh 9 Friends plus
- Lớp 9 Kết nối tri thức
- Soạn văn 9 (hay nhất) - KNTT
- Soạn văn 9 (ngắn nhất) - KNTT
- Giải sgk Toán 9 - KNTT
- Giải sgk Khoa học tự nhiên 9 - KNTT
- Giải sgk Lịch Sử 9 - KNTT
- Giải sgk Địa Lí 9 - KNTT
- Giải sgk Giáo dục công dân 9 - KNTT
- Giải sgk Tin học 9 - KNTT
- Giải sgk Công nghệ 9 - KNTT
- Giải sgk Hoạt động trải nghiệm 9 - KNTT
- Giải sgk Âm nhạc 9 - KNTT
- Giải sgk Mĩ thuật 9 - KNTT
- Lớp 9 Chân trời sáng tạo
- Soạn văn 9 (hay nhất) - CTST
- Soạn văn 9 (ngắn nhất) - CTST
- Giải sgk Toán 9 - CTST
- Giải sgk Khoa học tự nhiên 9 - CTST
- Giải sgk Lịch Sử 9 - CTST
- Giải sgk Địa Lí 9 - CTST
- Giải sgk Giáo dục công dân 9 - CTST
- Giải sgk Tin học 9 - CTST
- Giải sgk Công nghệ 9 - CTST
- Giải sgk Hoạt động trải nghiệm 9 - CTST
- Giải sgk Âm nhạc 9 - CTST
- Giải sgk Mĩ thuật 9 - CTST
- Lớp 9 Cánh diều
- Soạn văn 9 Cánh diều (hay nhất)
- Soạn văn 9 Cánh diều (ngắn nhất)
- Giải sgk Toán 9 - Cánh diều
- Giải sgk Khoa học tự nhiên 9 - Cánh diều
- Giải sgk Lịch Sử 9 - Cánh diều
- Giải sgk Địa Lí 9 - Cánh diều
- Giải sgk Giáo dục công dân 9 - Cánh diều
- Giải sgk Tin học 9 - Cánh diều
- Giải sgk Công nghệ 9 - Cánh diều
- Giải sgk Hoạt động trải nghiệm 9 - Cánh diều
- Giải sgk Âm nhạc 9 - Cánh diều
- Giải sgk Mĩ thuật 9 - Cánh diều


Giải bài tập SGK & SBT
Tài liệu giáo viên
Sách
Khóa học
Thi online
Hỏi đáp

