Giải Toán 9 VNEN Bài 7: Biến đổi đơn giản biểu thức chứa căn thức bậc hai
MỤC TIÊU
- Biết các thực hiện các phép đổi: đưa thừa số ra ngoài dấu căn và đưa thừa số vào trong dấu căn.
- Biết cách khử mẫu của biểu thức lấy căn và trục căn thức ở mẫu.
- Bước đầu biết cách phối hợp và sử dụng các phép biến đổi đơn giản đó.
A.B. Hoạt động khởi động và hình thành kiến thức
1. a) Đọc hiểu nội dung sau:
Phép biến đổi
(với a ≥ 0, b ≥ 0) được gọi là đưa thừa số ra ngoài dấu căn.
Ví dụ 1:
Ví dụ 2:
Rút gọn biểu thức
Giải:
Các biểu thức 2√5 và √5 được gọi là đồng dạng với nhau.
b) Đọc kỹ nội dung sau:
Với hai biểu thức A, B mà B ≥ 0, ta có
, tức là:
Nếu A ≥ 0 và B ≥ 0 thì
Nếu A < 0 và B ≥ 0 thì
Ví dụ: Đưa thừa số ra ngoài dấu căn:
Mẫu:
Trả lời:
b) Ta có:
c) Ta có:
d) Ta có:
2. a) Đọc kĩ nội dung sau:
Phép đưa thừa số ra ngoài dấu căn có phép biến đổi ngược với nó là đưa phép thừa số vào trong dấu căn.
Với A ≥ 0 và B ≥ 0 ta có
Với A < 0 và B ≥ 0 ta có
b) So sánh:
Mẫu:
Trả lời:
c) Đưa thừa số vào trong dấu căn:
Hướng dẫn:
3. a) Đọc kĩ nội dung sau:
Khi biến đổi biểu thức chứa căn thức bậc hai, người ta có thể sử dụng phép khử mẫu của biểu thức lấy căn.
b) Trục căn thức ở mẫu:
Hướng dẫn:
Trong ví dụ trên ở câu c) để trục căn thức ở mẫu, ta nhân cả tử và mẫu với biểu thức √7 - 1. Ta gọi biểu thức √7 + 1 và biểu thức √7 - 1 là hai biểu thức liên hợp với nhau. Tương tự, ở câu d) ta nhân cả tử và mẫu với biểu thức liên hợp của √5 - √3 là √5 + √3
4. a) Đọc kĩ nội dung sau:
- Với các biểu thức A, B mà A.B ≥ 0 và B ≠ 0 ta có:
- Với các biểu thức A, B mà B > 0 ta có:
- Với các biểu thức A, B, C mà A ≥ 0 và A2 ≠ B2, ta có:
- Với các biểu thức A, B, C mà A ≥ 0, B ≥ 0 và A ≠ B ta có:
b) Khử mẫu của biểu thức lấy căn:
Trả lời:
a) Ta có:
b) Ta có:
c) Ta có:
c) Trục căn thức ở mẫu:
Trả lời:
C. Hoạt động luyện tập
1. Khẳng định nào sau đây là đúng?
Lời giải:
Ta có:
Suy ra khẳng định C đúng
2. Khẳng định nào sau đây là sai?
Lời giải:
Ta có:
suy ra a sai. b đúng
Ta có: với
vì -3x > 0 và (−3x)2 = 9x2 suy ra c đúng
Ta có: x ≤ 3
và (3 − x)2 = (x − 3)2 suy ra d đúng
Vậy a và b sai.
3. Khoanh vào chữ đặt trước câu trả lời đúng:
Giá trị của biểu thức
bằng:
A. 0 B. 4
C. 2√2 D. -2√2
Lời giải:
Ta có:
Suy ra đáp án là D.
4. Khoanh vào chữ đặt trước câu trả lời đúng:
Trục căn thức ở mẫu của
ta được:
A. 4 B. 1/4
C. √17 (4 - √17) D. √17 (√17 - 4)
Lời giải:
Ta có:
Suy ra đáp án là D.
5. Rút gọn các biểu thức (giả sử các biểu thức đều có nghĩa):
Lời giải:
a) Ta có:
b) Ta có:
c) Ta có:
d) Ta có:
6. So sánh (không dùng bảng số hay máy tính cầm tay):
7. Thực hiện phép tính:
Lời giải:
Giải câu a)
Giải câu b)
Giải câu c)
Giải câu d)
8. Tìm x, biết:
Lời giải:
Giải câu a)
Giải câu b)
Giải câu c)
Giải câu d)
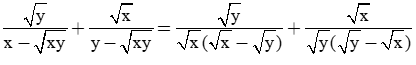
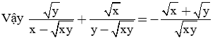
9. Chứng minh đẳng thức:
Lời giải:
Giải câu a)
Giải câu b)
Giải câu c)
10. Cho biểu thức:
a) Tìm giá trị của P khi x = 64.
b) Rút gọn biểu thức P
c) Tìm các giá trị của x để biểu thức 2P nhận giá trị nguyên.
Bài làm:
a) Với x = 64 thì
Để 2P nguyên thì
phải nguyên hay √x + 2 là ước của 2
Vì √x ≥ 0 nên √x + 2 ≥ 2
Suy ra √x + 2 = 2 ⇔ x = 0
Vậy x = 0.
D. Hoạt động vận dụng
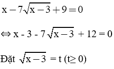
1. Giải phương trình:
Bài làm:
2. Chỉ ra chố sai trong các biến đổi sau:
Bài làm:
Biến đổi trên sai trong trường hợp x < 0
b) Biến đổi trên sai trong trường hợp b < 0
3. Chứng minh giá trị của các biểu thức sau là nguyên:
Bài làm:
E. Hoạt động tìm tòi, hoạt động
Em có biết?
1: Biết diện tích Trái Đất khoảng 510 triệu km2, em hãy tính ước lượng bán kính Trái Đất và độ dài đường tròn xích đạo.
Lời giải:
Gọi bán kính của Trái Đất là R (km) (R > 0).
Diện tích Trái Đất là 510 triệu km2 tức là πR2 = 510 ⇔ R = 12,7 km
Độ dài đường tròn xích đạo chính là chu vi của Trái Đất C = 2πR = 80.1 km
Vậy bán kính Trái Đất là 12,7km, độ dài đường tròn xích đạo là 80,1km.
2.Cho một số tự nhiên a. Nếu a là số chính phương thì √a là một số tự nhiên. Nếu a không là số chính phương thì √a là số vô tỉ.
Chứng minh:
Gọi a là số không chính phương mà √a là một số hữu tỉ.
Do √a là số hữu tỉ nên
(m,n ∈ N, n > 1 và (m, n) = 1).
Ta có:
⇔ m2 = an2. Gọi p là một ước nguyên tố của n thì n
p ⇒ m2
p ⇒ m
p ⇒ và (m,n) = p trái với (m,n) = 1. Vậy √a là số vô tỉ.
Xem thêm các bài Giải bài tập Toán lớp 9 chương trình VNEN hay khác:
- Bài 6: Các căn thức bậc hai và các tính chất
- Bài 7: Biến đổi đơn giản biểu thức chứa căn thức bậc hai
- Bài 8: Rút gọn biểu thức chứa căn bậc hai
- Bài 9: Căn bậc ba
- Bài 10: Ôn tập chương I
Xem thêm các loạt bài Để học tốt Toán lớp 9 hay khác:
- Giải sách bài tập Toán 9
- Chuyên đề Toán 9 (có đáp án - cực hay)
- Lý thuyết & 500 Bài tập Toán 9 (có đáp án)
- Các dạng bài tập Toán 9 cực hay
- Đề thi Toán 9
- Đề thi vào 10 môn Toán
Tủ sách VIETJACK luyện thi vào 10 cho 2k11 (2026):
Đã có app VietJack trên điện thoại, giải bài tập SGK, SBT Soạn văn, Văn mẫu, Thi online, Bài giảng....miễn phí. Tải ngay ứng dụng trên Android và iOS.
Theo dõi chúng tôi miễn phí trên mạng xã hội facebook và youtube:Loạt bài Giải bài tập Toán lớp 9 VNEN của chúng tôi được biên soạn bám sát theo chương trình Hướng dẫn học Toán 9 chương trình mới VNEN Tập 1 & Tập 2.
Nếu thấy hay, hãy động viên và chia sẻ nhé! Các bình luận không phù hợp với nội quy bình luận trang web sẽ bị cấm bình luận vĩnh viễn.
- Giải Tiếng Anh 9 Global Success
- Giải sgk Tiếng Anh 9 Smart World
- Giải sgk Tiếng Anh 9 Friends plus
- Lớp 9 Kết nối tri thức
- Soạn văn 9 (hay nhất) - KNTT
- Soạn văn 9 (ngắn nhất) - KNTT
- Giải sgk Toán 9 - KNTT
- Giải sgk Khoa học tự nhiên 9 - KNTT
- Giải sgk Lịch Sử 9 - KNTT
- Giải sgk Địa Lí 9 - KNTT
- Giải sgk Giáo dục công dân 9 - KNTT
- Giải sgk Tin học 9 - KNTT
- Giải sgk Công nghệ 9 - KNTT
- Giải sgk Hoạt động trải nghiệm 9 - KNTT
- Giải sgk Âm nhạc 9 - KNTT
- Giải sgk Mĩ thuật 9 - KNTT
- Lớp 9 Chân trời sáng tạo
- Soạn văn 9 (hay nhất) - CTST
- Soạn văn 9 (ngắn nhất) - CTST
- Giải sgk Toán 9 - CTST
- Giải sgk Khoa học tự nhiên 9 - CTST
- Giải sgk Lịch Sử 9 - CTST
- Giải sgk Địa Lí 9 - CTST
- Giải sgk Giáo dục công dân 9 - CTST
- Giải sgk Tin học 9 - CTST
- Giải sgk Công nghệ 9 - CTST
- Giải sgk Hoạt động trải nghiệm 9 - CTST
- Giải sgk Âm nhạc 9 - CTST
- Giải sgk Mĩ thuật 9 - CTST
- Lớp 9 Cánh diều
- Soạn văn 9 Cánh diều (hay nhất)
- Soạn văn 9 Cánh diều (ngắn nhất)
- Giải sgk Toán 9 - Cánh diều
- Giải sgk Khoa học tự nhiên 9 - Cánh diều
- Giải sgk Lịch Sử 9 - Cánh diều
- Giải sgk Địa Lí 9 - Cánh diều
- Giải sgk Giáo dục công dân 9 - Cánh diều
- Giải sgk Tin học 9 - Cánh diều
- Giải sgk Công nghệ 9 - Cánh diều
- Giải sgk Hoạt động trải nghiệm 9 - Cánh diều
- Giải sgk Âm nhạc 9 - Cánh diều
- Giải sgk Mĩ thuật 9 - Cánh diều


Giải bài tập SGK & SBT
Tài liệu giáo viên
Sách
Khóa học
Thi online
Hỏi đáp

