Giải Toán 9 VNEN Bài 2: Các tính chất của căn bậc hai số học
MỤC TIÊU
- Hiểu nội dung và cách chứng minh định lí về căn bậc hai của một tích và một lũy thừa của số không âm.
- Biết vận dụng các quy tắc khai phương một tích trong tính căn thức.
A.B. Hoạt động khởi động và hình thành kiến thức
a) Tính và dự đoán:
+) Tính: * √4.25 và √4.√25 ;
* √9.0,36 và √9.√0,36
+ Dự đoán (>, <, =): √(a.b)
√a.√b với a ≥ 0; b ≥ 0.
Hướng dẫn:
+) Tính:
√4.25 = √100 = 10; √4.√25 = 2.5 = 10. Vậy: √4.25 = √4.√25
√9.0,36 = √3,24 = 1,8; √9.√0,36 = 3.0,6 = 1,8
Vậy √9.0,36 = √9. √0,36
+) Dự đoán: √(a.b) = √a. √b, với a ≥ 0, b ≥ 0.
b) Chứng minh:
Vì a ≥ 0, b ≥ 0 nên √a.√b xác định và không âm.
Ta có: (√a.√b)2 = (√a)2.(√b)2 = a.b.
Vậy √a.√b là căn bậc hai số học của a.b, tức là: √(a.b)= √a.√b
c) Đọc kĩ nội dung sau:
Với a ≥ 0, b ≥ 0 thì √(a.b) = √a.√b
Chú ý:
Định lí trên có thể mở rộng cho tích của nhiều thừa số không âm.
Có thể áp dụng định lí trên theo chiều từ phải sang trái, nghĩa là với các số a ≥ 0, b ≥0 ta có √a.√b = √a.√b
d) Tính:
√(81.0,49); √(0,64.144); √(25.121.0,04); √5.√20
Hướng dẫn:
+) √(81.0,49) = √(81). √(0,49) = 9.0,7 = 6,3
+) √(0,64.144) = √(0,64). √(144) = 0,8.12 = 9,6
+) √(25.121.0,04) = √(25). √(121). √(0,04) = 5.11.0,2 = 11
+) √5. √20 = √(5.20) = √(100) = 10.
C. Hoạt động luyện tập
1. Tính:
Lời giải:
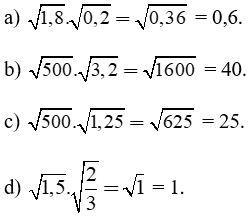
2. Tính:
Bài làm
3. Tính:
Bài làm
a) Ta có:
b) Ta có:
4. Tính:
Bài làm
Giải câu a)
Giải câu b)
Giải câu c)
Giải câu d)
D.E. Hoạt động vận dụng, tìm tòi và mở rộng
1. a) Đọc sơ đồ sau rồi phát biểu các quy tắc “Khai phương một tích” và “Nhân hai căn bậc hai”:
Bài làm:
Quy tắc "Khai phương một tích" : Muốn khai phương một tích của những số không âm, ta có thể khai phương từng thừa số rồi nhân các kết quả với nhau.
Quy tắc "Nhân hai căn bậc hai" : Muốn nhân các căn bậc hai của những số không âm, ta có thể nhân các số dưới dấu căn với nhau rồi khai phương kết quả đó
2.
a) Tìm số m ≥ 0 biết
b) Tìm số n ≥ 2 biết
Bài làm:
Giải câu a)
Giải câu b)
3. Tính độ dài cạnh y trong hình sau:
Theo định lý Py-ta-go ta có:
122 + y2 = 202
⇔ y2 = 202 – 122
⇔ y2 = 256
⇔ y = √256 = 16
Vậy y = 16.
Xem thêm các bài Giải bài tập Toán lớp 9 chương trình VNEN hay khác:
- Bài 3: Luyện tập về phép nhân và phép khai phương
- Bài 4: Các tính chất của căn bậc hai số học (tiếp theo)
- Bài 5: Luyện tập về phép chia và phép khai phương
- Bài 6: Các căn thức bậc hai và các tính chất
- Bài 7: Biến đổi đơn giản biểu thức chứa căn thức bậc hai
Xem thêm các loạt bài Để học tốt Toán lớp 9 hay khác:
- Giải sách bài tập Toán 9
- Chuyên đề Toán 9 (có đáp án - cực hay)
- Lý thuyết & 500 Bài tập Toán 9 (có đáp án)
- Các dạng bài tập Toán 9 cực hay
- Đề thi Toán 9
- Đề thi vào 10 môn Toán
Tủ sách VIETJACK luyện thi vào 10 cho 2k11 (2026):
Đã có app VietJack trên điện thoại, giải bài tập SGK, SBT Soạn văn, Văn mẫu, Thi online, Bài giảng....miễn phí. Tải ngay ứng dụng trên Android và iOS.
Theo dõi chúng tôi miễn phí trên mạng xã hội facebook và youtube:Loạt bài Giải bài tập Toán lớp 9 VNEN của chúng tôi được biên soạn bám sát theo chương trình Hướng dẫn học Toán 9 chương trình mới VNEN Tập 1 & Tập 2.
Nếu thấy hay, hãy động viên và chia sẻ nhé! Các bình luận không phù hợp với nội quy bình luận trang web sẽ bị cấm bình luận vĩnh viễn.
- Giải Tiếng Anh 9 Global Success
- Giải sgk Tiếng Anh 9 Smart World
- Giải sgk Tiếng Anh 9 Friends plus
- Lớp 9 Kết nối tri thức
- Soạn văn 9 (hay nhất) - KNTT
- Soạn văn 9 (ngắn nhất) - KNTT
- Giải sgk Toán 9 - KNTT
- Giải sgk Khoa học tự nhiên 9 - KNTT
- Giải sgk Lịch Sử 9 - KNTT
- Giải sgk Địa Lí 9 - KNTT
- Giải sgk Giáo dục công dân 9 - KNTT
- Giải sgk Tin học 9 - KNTT
- Giải sgk Công nghệ 9 - KNTT
- Giải sgk Hoạt động trải nghiệm 9 - KNTT
- Giải sgk Âm nhạc 9 - KNTT
- Giải sgk Mĩ thuật 9 - KNTT
- Lớp 9 Chân trời sáng tạo
- Soạn văn 9 (hay nhất) - CTST
- Soạn văn 9 (ngắn nhất) - CTST
- Giải sgk Toán 9 - CTST
- Giải sgk Khoa học tự nhiên 9 - CTST
- Giải sgk Lịch Sử 9 - CTST
- Giải sgk Địa Lí 9 - CTST
- Giải sgk Giáo dục công dân 9 - CTST
- Giải sgk Tin học 9 - CTST
- Giải sgk Công nghệ 9 - CTST
- Giải sgk Hoạt động trải nghiệm 9 - CTST
- Giải sgk Âm nhạc 9 - CTST
- Giải sgk Mĩ thuật 9 - CTST
- Lớp 9 Cánh diều
- Soạn văn 9 Cánh diều (hay nhất)
- Soạn văn 9 Cánh diều (ngắn nhất)
- Giải sgk Toán 9 - Cánh diều
- Giải sgk Khoa học tự nhiên 9 - Cánh diều
- Giải sgk Lịch Sử 9 - Cánh diều
- Giải sgk Địa Lí 9 - Cánh diều
- Giải sgk Giáo dục công dân 9 - Cánh diều
- Giải sgk Tin học 9 - Cánh diều
- Giải sgk Công nghệ 9 - Cánh diều
- Giải sgk Hoạt động trải nghiệm 9 - Cánh diều
- Giải sgk Âm nhạc 9 - Cánh diều
- Giải sgk Mĩ thuật 9 - Cánh diều


Giải bài tập SGK & SBT
Tài liệu giáo viên
Sách
Khóa học
Thi online
Hỏi đáp

