Vở bài tập Vật Lí 9 Bài 43 trang 116-117-118
Bài 43: Ảnh của một vật tạo bởi thấu kính hội tụ
A - HỌC THEO SGK
I - ĐẶC ĐIỂM CỦA ẢNH CỦA MỘT VẬT TẠO BỞI THẤU KÍNH HỘI TỤ
1.Thí nghiệm
a) Đặt vật ngoài khoảng tiêu cự
C1. Từ thí nghiệm ta thấy: Ảnh thật ngược chiều so với vật.
C2. Dịch vật vào gần thấu kính hơn ta không còn thu được ảnh thật ngược chiều với vật trên man nữa, mà ta sẽ quan sát thấy một ảnh ảo, cùng chiều với vật và lớn hơn vật.
b) Đặt vật vào trong khoảng tiêu cự
C3. Đặt vật trong khoảng tiêu cự, màn ở sát thấu kính. Từ từ dịch chuyến màn ra xa thấu kính, không hứng được ảnh ở trên màn. Đặt mắt trên đường truyền của chùm tia ló, ta quan sát thấy ảnh cùng chiều, lớn hơn vật. Đó là ảnh ảo và không hứng được trên màn.
2. Hãy ghi các nhận xét ở trên vào bảng 1
BẢNG 1
Chú ý:
- Một điểm sáng nằm ngay trên trục chính ở rất xa thấu kính cho ảnh tại tiêu điểm của thấu kính.
- Vật đặt vuông góc với trục chính của thấu kính cho ảnh cùng vuông góc với trục chính.
II - CÁCH DỰNG ẢNH
1. Dựng ảnh của điểm sáng S tạo bởi thấu kính hội tụ
Chú ý: Ảnh của một điểm sáng là một điểm sáng.
C4. Ảnh S’ của điếm sáng S được vẽ trên hình 43.1
+ Tia tới SI là tia đi song song với trục chính nên cho tia ló đi qua tiêu điểm F’
+ Tia tới SO là tia đi quang tâm O nên cho tia ló đi thẳng
Hai tia ló trên giao nhau tại S’, ta thu được ảnh thật S’ của S qua thấu kính.
2. Dựng ảnh của một vật sáng AB tạo bởi thấu kính hội tụ
C5. Dựng ảnh:
- Vật AB cách thấu kính một khoảng d = 36cm (hình 43.2a).
- Vật AB cách thấu kính một khoảng d = 8cm (hình 43.2b).
III - VẬN DỤNG
C6.
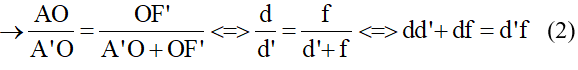
Ta đặt: OA = d; OA’ = d’; OF = OF’ = f
+) Vật AB cách thấu kính d = 36 cm, vật ngoài khoảng OF.
Trên hình 43.4a, xét hai cặp tam giác đồng dạng:
ΔABO và ΔA’B’O; ΔA’B’F’ và ΔOIF’.
Từ hệ thức đồng dạng được:
Vì AB = OI (tứ giác BIOA là hình chữ nhật)
Chia cả hai vế của (1) cho tích d.d’.f ta được:
(đây được gọi là công thức thấu kính cho trường hợp ảnh thật)
Thay d = 36 cm, f = 12 cm ta tính được: OA’ = d’ = 18 cm
Thay vào (*) ta được:
+) Vật AB cách thấu kính d = 8 cm, vật nằm trong khoảng OF
Trên hình 43.4b, xét hai cặp tam giác đồng dạng:
ΔA’B’F’ và ΔOIF’; ΔOAB và ΔOA’B’.
Từ hệ thức đồng dạng ta có:
Vì AB = OI (tứ giác BIOA là hình chữ nhật)
Chia cả hai vế của (2) cho tích d.d’.f ta được:
(đây được gọi là công thức thấu kính cho trường hợp ảnh ảo)
Thay d = 8 cm, f = 12 cm ta tính được: OA’ = d’ = 24 cm
Thay vào (**) ta được:
C7.
Dịch chuyển thấu kính hội tụ ra xa trang sách, ảnh của dòng chữ quan sát qua thấu kính cùng chiều và to hơn dòng chữ quan sát trực tiếp. Đó là ảnh ảo của dòng chữ tạo bởi thấu kính hội tụ khi dòng chữ nằm trong khoảng tiêu cự của thấu kính.
Đến một vị trí nào đó, ảnh của dòng chữ ngược chiều với vật. Đó là ảnh thật của dòng chữ tạo bởi thấu kính hội tụ, khi dòng chữ nằm ngoài khoảng tiêu cự của thấu kính, và ảnh thật đó nằm ở trước mắt.
Các bài giải bài tập vở bài tập Vật Lí 9 (VBT Vật Lí 9) khác:
- Vở bài tập Vật Lí 9 Bài 43 trang 116-117-118: C1. Từ thí nghiệm ta thấy:....
- Vở bài tập Vật Lí 9 Bài 43 trang 119-120: I - Bài tập trong sách bài tập....
- Bài 43a trang 121 Vở bài tập Vật Lí 9: 43.a. Hãy ghép mỗi nội dung ở bên....
- Bài 43b trang 121 Vở bài tập Vật Lí 9: 43.b Hình 43.8 cho biết Δ là trục chính....
Xem thêm các loạt bài Để học tốt Vật Lí lớp 9 hay khác:
- Giải bài tập Vật lý 9
- Lý thuyết & 500 bài tập Vật Lí 9 có đáp án
- Giải sách bài tập Vật Lí 9
- Chuyên đề Vật Lí 9 (có đáp án)
- Đề thi Vật Lí 9
Tủ sách VIETJACK luyện thi vào 10 cho 2k11 (2026):
Đã có app VietJack trên điện thoại, giải bài tập SGK, SBT Soạn văn, Văn mẫu, Thi online, Bài giảng....miễn phí. Tải ngay ứng dụng trên Android và iOS.
Theo dõi chúng tôi miễn phí trên mạng xã hội facebook và youtube:Loạt bài Giải vở bài tập Vật Lí lớp 9 | Giải VBT Vật Lí 9 được biên soạn bám sát nội dung VBT Vật Lí lớp 9.
Nếu thấy hay, hãy động viên và chia sẻ nhé! Các bình luận không phù hợp với nội quy bình luận trang web sẽ bị cấm bình luận vĩnh viễn.
- Giải Tiếng Anh 9 Global Success
- Giải sgk Tiếng Anh 9 Smart World
- Giải sgk Tiếng Anh 9 Friends plus
- Lớp 9 Kết nối tri thức
- Soạn văn 9 (hay nhất) - KNTT
- Soạn văn 9 (ngắn nhất) - KNTT
- Giải sgk Toán 9 - KNTT
- Giải sgk Khoa học tự nhiên 9 - KNTT
- Giải sgk Lịch Sử 9 - KNTT
- Giải sgk Địa Lí 9 - KNTT
- Giải sgk Giáo dục công dân 9 - KNTT
- Giải sgk Tin học 9 - KNTT
- Giải sgk Công nghệ 9 - KNTT
- Giải sgk Hoạt động trải nghiệm 9 - KNTT
- Giải sgk Âm nhạc 9 - KNTT
- Giải sgk Mĩ thuật 9 - KNTT
- Lớp 9 Chân trời sáng tạo
- Soạn văn 9 (hay nhất) - CTST
- Soạn văn 9 (ngắn nhất) - CTST
- Giải sgk Toán 9 - CTST
- Giải sgk Khoa học tự nhiên 9 - CTST
- Giải sgk Lịch Sử 9 - CTST
- Giải sgk Địa Lí 9 - CTST
- Giải sgk Giáo dục công dân 9 - CTST
- Giải sgk Tin học 9 - CTST
- Giải sgk Công nghệ 9 - CTST
- Giải sgk Hoạt động trải nghiệm 9 - CTST
- Giải sgk Âm nhạc 9 - CTST
- Giải sgk Mĩ thuật 9 - CTST
- Lớp 9 Cánh diều
- Soạn văn 9 Cánh diều (hay nhất)
- Soạn văn 9 Cánh diều (ngắn nhất)
- Giải sgk Toán 9 - Cánh diều
- Giải sgk Khoa học tự nhiên 9 - Cánh diều
- Giải sgk Lịch Sử 9 - Cánh diều
- Giải sgk Địa Lí 9 - Cánh diều
- Giải sgk Giáo dục công dân 9 - Cánh diều
- Giải sgk Tin học 9 - Cánh diều
- Giải sgk Công nghệ 9 - Cánh diều
- Giải sgk Hoạt động trải nghiệm 9 - Cánh diều
- Giải sgk Âm nhạc 9 - Cánh diều
- Giải sgk Mĩ thuật 9 - Cánh diều


Giải bài tập SGK & SBT
Tài liệu giáo viên
Sách
Khóa học
Thi online
Hỏi đáp

