100+ câu hỏi trắc nghiệm Nhiễm sắc thể và các quy luật di truyền (có đáp án)
Bộ 100+ câu hỏi Nhiễm sắc thể và các quy luật di truyền có đáp án trong bộ 1000+ Câu hỏi ôn thi Tốt nghiệp THPT Sinh học (tách từ đề thi 2025) đầy đủ các dạng thức: trắc nghiệm nhiều phương án lựa chọn, câu hỏi có đúng sai, trả lời ngắn giúp giúp Giáo viên có thêm tài liệu giảng dạy, giúp học sinh có thêm đề ôn thi Tốt nghiệp THPT môn Sinh học năm 2026.
100+ câu hỏi trắc nghiệm Nhiễm sắc thể và các quy luật di truyền (có đáp án)
Chỉ từ 300k mua trọn bộ Câu hỏi ôn thi Tốt nghiệp THPT Sinh học (tách từ đề thi 2025) bản word có lời giải chi tiết:
- B1: gửi phí vào tk:
1133836868- CT TNHH DAU TU VA DV GD VIETJACK - Ngân hàng MB (QR) - B2: Nhắn tin tới Zalo VietJack Official - nhấn vào đây để thông báo và nhận đề thi
DẠNG 1: NHIỄM SẮC THỂ. ĐỘT BIẾN NHIỄM SẮC THỂ
Phần I. Trắc nghiệm nhiều lựa chọn
Câu 1: (NB – Đề THPT Lam Kinh – Thanh Hóa) Trong cấu trúc siêu hiển vi của NST, sợi chromatin (cấu trúc bậc ba) có đường kính
A. 10 nm.
B. 30 nm.
C. 300nm.
D. 700 nm.
Câu 2: (NB – Đề THPT Lam Kinh – Thanh Hóa) Thể ba nhiễm có thể được hình thành do sự thụ tinh giữa giao tử
A. n với n+1.
B. n với n-1.
C. n-1 với n+1.
D. n với 3n.
Câu 3: (NB – Đề THPT Lam Kinh – Thanh Hóa) Hiện tượng thay đổi màu sắc hoa của một cây phù dung ở các thời điểm khác nhau trong ngày (Hình 1) được gọi là gì?
A. Đột biến.
B. Thường biến.
C. Mức phản ứng.
D. Di truyền không đồng nhất.
Câu 4: (NB – Đề Sở Bạc Liêu) Khi nói về NST ở tế bào nhân thực, phát biểu nào sau đây đúng?
A. Cấu trúc cuộn xoắn tạo điều kiện cho sự nhân đôi NST.
B. NST là vật chất di truyền ở cấp độ phân tử.
C. Thành phần hóa học chủ yếu của NST là RNA và protein.
D. Đơn vị cấu trúc cơ bản của NST là nucleosome.
Câu 5: (NB – Đề Sở Yên Bái) Phân tử DNA liên kết với protein mà chủ yếu là histone đã tạo nên cấu trúc đặc biệt gọi là
A. Sợi nhiễm sắc.
B. Nhiễm sắc thể.
C. Vùng xếp cuộn.
D. Sợi cơ bản.
Câu 6: (NB – Đề Sở Yên Bái) Trong cấu trúc siêu hiển vi của nhiễm sắc thể nhân thực, chromatid có đường kính là
A. 30nm.
B. 10nm.
C. 300nm.
D. 700nm.
Câu 7: (NB – Đề Sở Yên Bái) Hình 1 dưới đây thể hiện dạng biến cấu trúc nhiễm sắc thể nào?
A. Chuyển đoạn tương hỗ.
B. Chuyển đoạn không tương hỗ.
C. Đảo đoạn.
D. Lặp đoạn.
Câu 8: (NB – Đề Sở Phú Thọ) Hình bên mô tả số lượng NST ở các tế bào của cơ thể bình thường và số lượng NST ở các tế bào của cơ thể đột biến thì tế bào cơ thể đột biến thuộc thể đột biến nào sau đây?
A. Thể tam bội.
B. Thể ba.
C. Thể đa bội.
D. Thể một.
Câu 9. (NB – Đề THPT Thường Xuân) Dạng đột biến nào sau đây làm tăng số lượng alelle của 1 gene trong tế bào nhưng không làm xuất hiện alelle mới?
A. Đột biến gene.
B. Đột biến đa bội cùng nguồn.
C. Đột biến đảo đoạn NST.
D. Đột biến chuyển đoạn trong 1 NST.
Câu 10: (NB – Đề THPT Hà Trung Thanh Hóa) Dạng đột biến cấu trúc NST nào sau đây làm giảm số lượng gene trên 1 NST?
A. Mất đoạn.
B. Lặp đoạn
C. Đảo đoạn
D. Chuyển đoạn trong 1 NST.
Câu 11: (NB – Đề THPT Hà Trung Thanh Hóa) Một loài thực vật có bộ NST 2n = 14. Số NST trong tế bào sinh dưỡng của thể ba thuộc loài này là
A. 7.
B. 15.
C. 13.
D. 21.
Câu 12: (NB – Đề THPT Vũ Văn Hiếu)Từ sơ đồ kiểu nhân sau. Hãy cho biết dạng đột biến số lượng nhiễm sắc thể đã xảy ra?
A. Thể một nhiễm kép.
B. Thể ba nhiễm kép.
C. Thể tam bội.
D. Thể tứ bội
Câu 13. (NB – Đề THPT Hàm Rồng) Từ sơ đồ kiểu nhân ở hình sau, hãy cho biết dạng đột biến số lượng nhiễm sắc thể nào đã xảy ra?
A. Thể ba.
B. Thể bốn.
C. Thể không.
D. Thể một.
Câu 14: (NB – Đề Chuyên Lê Quý Đôn) Một tế bào có kiểu NST là AaBb. Ở kì đầu của nguyên phân thì kí hiệu kiểu NST của tế bào là
A. AAaaBBbb.
B. AAAAbbbb.
C. aabb.
D. AABB.
................................
................................
................................
Phần II. Trắc nghiệm đúng sai
Câu 1: (TH – Đề THPT Nguyễn Huệ) Hình ảnh dưới đây mô tả cấu trúc siêu hiển vi của nhiễm sắc thể ở sinh vật nhân thực. Mỗi nhận định sau đây Đúng hay Sai về hình ảnh này?
a) Cấu trúc (1) có chứa 8 phân tử histon và được gọi là nucleosome.
b) Cấu trúc (2) được gọi là chromatid với đường kính 700 nm.
c) Trong quá trình nguyên phân của tế bào sinh vật nhân thực, cấu trúc (4) xuất hiện trong nhân vào kỳ giữa.
d) Khi ở dạng cấu trúc 4, mỗi nhiễm sắc thể chứa một phân tử DNA kép, mạch thẳng.
Câu 2: (TH – Đề Liên trường Nghệ An) Trong một thí nghiệm, các nhà khoa học đã xử lý phôi của một loài côn trùng gây đột biến mất đoạn NST ở 6 vị trí khác nhau (từ 1 đến 6 như Hình a). Theo dõi thời gian sống của các phôi mang đột biến mất đoạn tương ứng các vị trí thể hiện qua đồ thị Hình b. Kích thước đoạn bị mất tính theo đơn vị nghìn cặp nucleotide (kb). Biết sự phân bố các gene trên NST là tương đối đều nhau, phôi mang đột biến mất đoạn ở vị trí 6 vẫn sống và phát triển thành cơ thể bình thường.
a) Thời gian sống của phôi giảm dần theo thứ tự các đột biến 6 → 3 → 4 → 2; 5 → 1.
b) Các gene cần thiết cho sự phát triển của phôi phân bố tập trung ở vùng gần tâm động của NST.
c) Đột biến mất đoạn ở vị trí 6 trên NST chứa vùng gene có hại hoặc không có chức năng đối với loài côn trùng này.
d) Kích thước đoạn NST bị mất càng nhỏ thì thời gian sống của phôi càng giảm.
................................
................................
................................
Phần III. Trắc nghiệm trả lời ngắn
Câu 1: (NB – Đề THPT Vũ Văn Hiếu – Nam Định) Ong mật (Apis mellifera) có bộ NST 2n=32, là loài có hình thức sinh sản trinh sinh, những trứng không được thụ tinh sẽ nở thành ong đực, ong đực có bao nhiêu NST?
Câu 2: (NB – Đề Sở Yên Bái) Một loài sinh vật có bộ nhiễm sắc thể lưỡng bội 2n = 32. Tế bào sinh dưỡng của thể tam bội thuộc loài này có số lượng nhiễm sắc thể là bao nhiêu?
................................
................................
................................
DẠNG 2: BÀI TẬP CÁC QUY LUẬT DI TRUYỀN
Phần I. Trắc nghiệm nhiều lựa chọn
Câu 1: (NB – Đề THPT Nguyễn Huệ) Nhà khoa học nào sau đây đưa ra giả thuyết các nhân tố di truyền của bố và mẹ tồn tại trong tế bào của cơ thể con một cách riêng rẽ, không hòa trộn vào nhau?
A. F.Jacob.
B. G.J.Mendel.
C. C.Correns.
D. T.H.Morgan.
Câu 2: (NB – Đề Sở Bạc Liêu) Đối tượng chủ yếu được Mendel sử dụng để nghiên cứu di truyền là:
A. cà chua.
B. bí ngô.
C. đậu Hà Lan.
D. ruồi giấm.
Câu 3: (NB – Đề THPT Thường Xuân) Phép lai nào sau đây không phải là phép lai hữu tính?
A. Lai xa.
B. Tự thụ phấn hoặc giao phối cận huyết.
C. Lai thuận nghịch.
D. Lai tế bào.
Câu 4: (NB – Đề Sở Phú Thọ) Loài sinh vật nào sau đây có kiểu nhiễm sắc thể giới tính ZZ - ZW?
A. Ruồi giấm.
B. Châu chấu.
C. Tinh tinh.
D. Gà.
Câu 5: (NB – Đề Sở Phú Thọ) Một cơ thể thực vật có kiểu gene AaBB tự thụ phấn. Theo lí thuyết, ở đời con tạo ra tối đa bao nhiêu loại dòng thuần?
A. 2.
B. 1.
C. 4.
D. 8.
Câu 6. (NB – Đề THPT Hàm Rồng) Ở ruồi giấm, allele A quy định thân xám là trội hoàn toàn so với allele a quy định thân đen; allele B quy định cánh dài là trội hoàn toàn so với allele b quy định cánh cụt. Kiểu gene nào sau đây quy định kiểu hình thânxám, cánh cụt?
A.
B.
C.
D.
Câu 7: (NB – Đề Sở Yên Bái) Ở 1 loài thực vật, allele A quy định thân cao trội hoàn toàn so với allele a quy định thân thấp, allele B quy định hoa đỏ trội hoàn toàn so với allele b quy định hoa trắng. Kiểu gene nào sau đây quy định kiểu hình thân cao, hoa trắng?
A. aabb.
B. aaBb.
C. AABB.
D. Aabb.
Câu 8: (NB – Đề Sở Yên Bái) Cơ thể có kiểu gene nào sau đây là cơ thể thuần chủng?
A. Aabb.
B. AaBb.
C. AABb.
D. AAbb.
Câu 9. (NB – Đề THPT Hàm Rồng) Ở đậu Hà Lan, allele A quy định thân cao là trội hoàn toàn so với allele a quy định thân thấp. Theo lí thuyết, phép lai nào sau đây cho đời con có hai loại kiểu hình?
A. Aa x aa.
B. AA x AA.
C. aa x aa.
D. AA x aa.
Câu 10: (NB – Đề Sở Bạc Liêu) Phép lai nào dưới đây là phép lai thuận nghịch?
A. ♂ AA × ♀ aa và ♀ Aa × ♂ Aa.
B. ♂ AA × ♀ aa và ♀ AA × ♂ aa.
C. ♂ Aa × ♀ Aa và ♂ aa × ♀ AA.
D. ♂ AA × ♀ AA và ♀ aa × ♂ aa.
Câu 11: (NB – Đề Sở Bạc Liêu) Quá trình giảm phân ở cơ thể có kiểu gene đã xảy ra hoán vị gene . Theo lí thuyết, 2 loại giao tử mang gene hoán vị là
A. Ab và aB.
B. AB và aB.
C. Ab và ab.
D. AB và ab.
Câu 12: (NB – Đề THPT Hà Trung) Một loài thực vật, allele A quy định hoa đỏ trội hoàn toàn so với allele a quy định hoa trắng. Theo lí thuyết, phép lai nào sau đây tạo ra đời con gồm toàn cây hoa trắng?
A. Aa × Aa.
B. Aa × aa.
C. AA × AA.
D. aa × aa.
Câu 13: (NB – Đề Sở Bạc Liêu) Trong y học, dựa vào … (1) … cho phép xác định vị trí các gene, có ý nghĩa trong việc tìm ra gene gây bệnh và trong công tác chẩn đoán, điều trị bệnh. Cụm từ (1) là:
A. Quy luật di truyền
B. Tần số tái tổ hợp
C. Liên kết gene.
D. Bản đồ di truyền.
Câu 14: (NB – Đề THPT Lê Quý Đôn) Ở cà chua, allele A quy định quả đỏ trội hoàn toàn so với allele a quy định quả vàng. Cho biết quá trình giảm phân không xảy ra đột biến. Theo lí thuyết, những phép lai nào sau đây cho đời con có cả cây quả đỏ và cây quả vàng?
A. Aa × Aa và Aa × aa.
B. Aa × Aa và AA × Aa.
C. AA × aa và AA × Aa.
D. Aa × aa và AA × Aa.
................................
................................
................................
Phần II. Trắc nghiệm đúng sai
Câu 1. (VD- Đề THPT Hàm Rồng) Ở một loài thực vật, tính trạng màu hoa gồm có 1 dòng hoa đỏ và 4 dòng đột biến hoa trắng. Người ta tiến hành thí nghiệm cho các dòng hoa trắng lai với nhau, thu được kết quả như sau:
Biết rằng các locus gene nằm trên các cặp NST khác nhau.
a) Trong quần thể có tối đa 30 loại kiểu gene.
b) F1 của chủng lai giữa A với D có kiểu gene dị hợp về 2 cặp gene.
c) Các chủng A, B, C đột biến ở cùng 1 gene.
d) Các gene đột biến nói trên nằm trên 2 cặp NST khác nhau.
Câu 2: (VD – Đề THPT Hà Trung – Thanh Hóa) Ở một loài thực vật, tính trạng chiều cao cây do 3 cặp gene Aa, Bb và Dd nằm trên 3 cặp NST thường khác nhau tương tác theo kiểu cộng gộp. Cây có kiểu gene đồng hợp lặn có chiều cao 120cm;
Trong kiểu gene, cứ có thêm một allele trội thì cây cao thêm 10cm. Cho cây thấp nhất giao phấn với cây cao nhất (P) tạo ra F1 gồm tất cả các cây có kiểu gene giống nhau, F1 tự thụ phấn thu được F2. Biết không xảy ra hiện tượng đột biến. Theo lí thuyết, các phát biểu sau đây đúng hay sai?
a) Cây cao nhất có chiều cao 180cm.
b) Ở F2, loại cây có chiều cao 130cm chiếm tỉ lệ là 9/32.
c) Ở F2, loại cây có chiều cao 150cm chiếm tỉ lệ là 5/16.
d) Ở F2, loại cây cao nhất chiếm tỉ lệ 1/64.
................................
................................
................................
Phần III. Trắc nghiệm trả lời ngắn
Câu 1. (TH – Đề THPT Hoàng Lê Kha – Thanh Hóa) Ở cây đậu Hà Lan, xét gene quy định màu hoa có 2 allele nằm trên NST thường, allele A quy định hoa tím trội hoàn toàn so với allele a quy định hoa trắng. Để tạo dòng thuần chủng một nhà khoa học lấy cây hoa tím dị hợp tự thụ qua nhiều thế hệ. Ở thế hệ thứ 2 tỉ lệ kiểu gene cây hoa tím dị hợp chiếm tỉ lệ bao nhiêu? (Hãy thể hiện kết quả bằng số thập phân và làm tròn đến 2 chữ số sau dấu phẩy).
Câu 2: (VD – Đề THPT Hà Trung – Thanh Hóa) Allele A quy định thân cao trội hoàn toàn so với allele a quy định thân thấp; allele B quy định hoa đỏ trội hoàn toàn so với allele b quy định hoa trắng. Thế hệ P: Cây thân cao, hoa đỏ tự thụ phấn, tu được F1 gồm 4 loại kiểu hình, trong đó có 4% số cây thân thấp, hoa đỏ thuần chủng. Cho biết quá trình phát sinh giao tử đực và giao tử cái đều xảy ra hoán vị gene với tần số bằng nhau. Theo lí thuyết, số cây thân cao, hoa đỏ dị hợp 2 cặp gene ở F chiếm tỉ lệ bao nhiêu %?
................................
................................
................................
DẠNG 3: DI TRUYỀN HỌC QUẦN THỂ
Phần I. Trắc nghiệm nhiều lựa chọn
Câu 1: (TH – Đề THPT Hà Trung – Thanh Hóa) Một quần thể thực vật, xét 1 gene có 2 alelle là D và d, tần số allele D bằng 0,3. Theo lí thuyết tần số allele d của quần thể này là:
A. 0,6.
B. 0.4.
C. 0,7.
D. 0,3.
Câu 2: (VD – Đề THPT Nguyễn Huệ) Ở một loài thực vật, allele B quy định quả đỏ là trội hoàn toàn so với allele b quy định quả vàng. Tần số alen B được biểu diễn qua biểu đồ bên, biết các quần thể được biểu diễn trong biểu đồ đã cân bằng di truyền. Hãy sắp xếp các quần thể này theo thứ tự tăng dần tần số kiểu gene thể dị hợp tử?
A. 4→3→1→2.
B. 3→2→1→4.
C. 2→3→1→4.
D. 4→1→3→2.
Câu 3: (TH – Đề THPT Lam Kinh – Thanh Hóa) Theo dõi các thế hệ của một quần thể thực vật tự thụ phấn có thành phần kiểu gene là 0,6AA : 0,2Aa : 0,2aa. Theo lí thuyết, nhận xét nào sau đây đúng?
A. Tần số kiểu gene Aa tăng dần.
B. Tần số allele A giảm dần
C. Tần số allele A và a tiến tới bằng với tần số kiểu gene AA và aa.
D. Tỉ lệ các dòng thuần giảm dần.
Câu 4: (TH – Đề Sở Phú Thọ) Hình 3 thể hiện tỉ lệ các loại kiểu gene quy định màu lông của một quần thể ở một loài động vật; allele A quy định lông trắng trội hoàn toàn so với allele a quy định lông đen, gene nằm trên nhiễm sắc thể thường. Tần số allele A của quần thể là
A. 0,48.
B. 0,70.
C. 0,30.
D. 0,52.
Câu 5: đề 22 Quần thể giao phối nào sau đây đang ở trạng thái cân bằng Hardy - Weinberg?
A. 0,09AA : 0,42Aa : 0,49aa.
B. 0,25AA : 0,59Aa : 0,16aa.
C. 0,01AA : 0,95Aa : 0,04aa.
D. 0,04AA : 0,64Aa : 0,32aa.
Câu 6: (TH – Đề Sở Vĩnh Phúc) Một quần thể ngẫu phối có thành phần kiểu gene là 0,6 Aa : 0,4 aa. Theo lí thuyết, tần số allele a của quần thể này là bao nhiêu?
A. 0,4.
B. 0,3.
C. 0,6.
D. 0,7.
Câu 7: (VD – Đề THPT Triệu Sơn – Thanh Hóa) Ở một loài thực vật, cho biết A quy định hoa đỏ trội hoàn toàn so với allele a quy định hoa trắng, gene nằm trên NST thường, không xảy ra đột biến. Cho các quần thể có tỉ lệ kiểu hình sau đây:
I. 100% hoa đỏ.
II. 100% hoa trắng.
III. 50% hoa đỏ : 50% hoa trắng.
IV. 75% hoa đỏ : 25% hoa trắng.
Có bao nhiêu quần thể chắc chắn đang ở trạng thái cân bằng di truyền?
A. 1.
B. 2.
C. 3.
D. 4.
Câu 8. (VD – Đề Sở Nghệ An) Ở người, bệnh Z do allele a gây ra, allele A quy định không bị bệnh. Khảo sát bệnh này trong 2 quần thể người, thu được kết quả sau:
Quần thể 1: 0,64AA + 0,32Aa + 0,04aa = 1.
Quần thể 2: 0,81AA + 0,18Aa + 0,01aa = 1.
Một cặp vợ chồng đều bình thường, trong đó người chồng thuộc quần thể 1, người vợ thuộc quần thể 2. Xác suất sinh con đầu lòng bị bệnh của cặp vợ chồng này là
A. 1/4.
B. 2/33.
C. 1/66.
D. 1/132.
Câu 9: (NB – Đề Sở Hà Tĩnh) Ở một loài cá nhỏ, gene A quy định cơ thể có màu nâu nhạt nằm trên NST thường trội hoàn toàn so với allele a quy định màu đốm trắng. Một quần thể của loài này sống trong hồ nước có nền cát màu nâu có thành phần kiểu gene là 0,81 AA + 0,18 Aa + 0,01 aa. Một công ty xây dựng rải một lớp sỏi xuống hồ, làm mặt hồ trở nên có nền đốm trắng. Từ khi đáy hồ được rải sỏi, xu hướng biến đổi tần số allele A của quần thể ở các thế hệ cá con tiếp theo có thể được mô tả rút gọn bằng sơ đồ nào sau đây?
A. 0,8 A → 0,9 A → 0,7 A → 0,6 A → 0,5 A → 0,4 A → 0,3 A → 0,2 A → 0,1 A.
B. 0,9 A → 0,8 A → 0,7 A → 0,6 A → 0,5 A → 0,4 A → 0,3 A → 0,2 A → 0,1 A.
C. 0,1 A → 0,2 A → 0,3 A → 0,4 A → 0,5 A → 0,6 A → 0,7 A → 0,8 A → 0,9 A.
D. 0,9 A → 0,8 A → 0,7 A → 0,6 A → 0,5 A → 0,6 A → 0,7 A → 0,8 A → 0.9 A.
Câu 10: (NB – Đề THPT Chuyên Lê Quý Đôn) Xét một quần thể ngẫu phối đang cân bằng di truyền có 2 alen A và a, trong đó có 4% gene aa. Tần số tương đối của allele A và allele a trong quần thể đó là:
A. 0,6 A ; 0,4 a.
B. 0,8 A ; 0,2 a.
C. 0,84 A ; 0,16 a.
D. 0,64 A ; 0,36 a.
Câu 11: (TH – Đề THPT Hoàng Hóa) Một quần thể có cấu trúc di truyền là 0,04AA + 0,32Aa + 0,64aa = 1. Tần số tương đối của các allele A, a lần lượt là
A. 0,3; 0,7.
B. 0,8; 0,2.
C. 0,7; 0,3.
D. 0,2; 0,8.
Câu 12: (NB – Đề THPT Chuyên Nguyễn Tất Thành) Tần số allele quy định lông mượt là bao nhiêu?
A. 0,7.
B. 0,3.
C. 0,09.
D. 0,91.
Câu 13: (TH – Đề THPT Chuyên Nguyễn Tất Thành) Tỷ lệ chồn có lông mượt mà ông ta nhận được trong thế hệ F1 theo lý thuyết là bao nhiêu %?
A. 94,7%.
B. 5,3%.
C. 91%.
D. 94,5%.
Câu 14: (TH – Đề THPT Triệu Sơn) Đồ thị trên mô tả sự biến động tần số allele, tần số kiểu gene (gene quy định một tính trạng có 2 allele là A và a, allele trội là trội hoàn toàn, thuộc NST thường) qua các thế hệ của một quần thể sinh vật trong điều kiện không có đột biến, khả năng sống của các kiểu gene là như nhau, các cá thể có khả năng sinh sản như nhau và quần thể được cách li với các quần thể khác. Các đường I, II, III, a, b là biểu thị cho tần số kiểu gene, allele qua các thế hệ.
Có bao nhiêu kết luận sau đây đúng?
(1) Đường cong [I] biểu thị tỉ lệ kiểu gene Aa qua các thế hệ.
(2) Đường cong [a] và [b] biểu thị cho tần số allele qua các thế hệ.
(3) Đây là quần thể tự phối.
(4) F1, F2 quần thể có tỉ lệ kiểu hình trội là 84%.
A. 3.
B. 1.
C. 2.
D. 4.
................................
................................
................................
Phần II. Trắc nghiệm đúng sai
Câu 1. (VD – Đề THPT Hàm Rồng – Thanh Hóa) Hình bên mô tả sự biến đổi tần số ba kiểu gene AA, Aa, aa ở một quần thể thực vật. Biết quần thể không chịu tác động của chọn lọc tự nhiên và yếu tố ngẫu nhiên. Mỗi phát biểu sau đây đúng hay sai về cấu trúc các quần thể này?
a) Ở quần thể trên, tần số allele thay đổi qua các thể hệ.
b) Ở thế hệ 0, quần thể có thể có cấu trúc di truyền là 0,36AA + 0,48Aa + 0,16aa = 1.
c) Hình thức sinh sản của quần thể trên là tự thụ phấn.
d) Quần thể trên thích nghi và phát triển tốt trong điều kiện môi trường sống ổn định.
Câu 2: (VD – Đề THPT Lam Kinh – Thanh Hóa) Hình 5 thể hiện tỉ lệ các loại kiểu gene qui định màu lông của hai quần thể động vật thuộc cùng một loài, allele A qui định lông trắng trội hoàn toàn so với allele a qui định lông đen, gene nằm trên nhiễm sắc thể thường.
a) Cấu trúc di truyền của quần thể I đang ở trạng thái cân bằng.
b) Tần số allele a của quần thể II là 0,7.
c) Ở quần thể II, số cá thể mang tính trạng trội lớn hơn số cá thể mang tính trạng lặn.
d) Nếu ở quần thể I, chỉ các cá thể có cùng màu lông mới giao phối với nhau. Theo lý thuyết, tỉ lệ cá thể lông trắng ở đời con là 36/85.
................................
................................
................................
Phần III. Trắc nghiệm trả lời ngắn
Câu 1: (VD – Đề THPT Vũ Văn Hiếu – Nam Định) Nghiên cứu một quần thể sóc ở rừng Cúc Phương. Tính trạng màu sắc bụng do một gene có 2 alen nằm trên NST thường quy định, trong đó alen A quy định kiểu hình bụng đỏ trội hoàn toàn so với alen a quy định kiểu hình bụng trắng. Tại thế hệ đang khảo sát, quần thể đang cân bằng di truyền có đầy đủ các loại kiểu gene và tần số alen A gấp đôi alen a. Nếu tất cả các cá thể dị hợp đều không sinh sản, thế hệ sau sẽ có kiểu hình bụng đỏ chiểm tỉ lệ bao nhiêu?
Câu 2: (TH – Đề Sở Bắc Ninh) Loài hoa mõm sói (Antirrhinum majus) là loài giao phối ngẫu nhiên, gene quy định màu sắc có 2 allele (allele A quy định tổng hợp sắc tố đỏ cho hoa và allele a không có khả năng tổng hợp sắc tố đỏ). Khi quan sát sự di truyền về màu sắc hoa nhóm học sinh nhận thấy: Khi lai các cây hoa đỏ × cây hoa trắng đều cho kết quả con 100% các cây con có hoa màu hồng. Khi đếm số lượng các cây hoa ở 1 vườn hoa 1 nhóm nghiên cứu đã ghi nhận lại số lượng hoa qua bảng sau:
Hoa đỏ |
Hoa hồng |
Hoa trắng |
42 |
128 |
30 |
Hãy xác định tần số allele a trong quần thể này (tính làm tròn đến 2 chữ số sau dấu phẩy).
................................
................................
................................
DẠNG 4: DI TRUYỀN HỌC NGƯỜI. BÀI TẬP PHẢ HỆ
Phần I. Trắc nghiệm nhiều lựa chọn
Câu 1: (TH – Đề Chuyên Sơn La) Hình bên mô tả cặp NST giới tính ở vợ và chồng và bốn người con A, B, C, D, các kí hiệu hình học tượng trưng cho các allele nằm trên NST.
Nếu vợ chồng này sinh con giả sử không xảy ra hiện tượng đột biến và trao đổi chéo thì tổ hợp nhiễm sắc thể giới tính nào sau đây không thể được tìm thấy ở con của họ?
A. Hình C.
B. Hình D.
C. Hình B.
D. Hình A.
Câu 2. (NB – Đề THPT Hàm Rồng) Ở người, bệnh mù màu đỏ - lục do gene đột biến lặn nằm trên X và không có allele tương ứng trên Y. Trong một gia đình có mẹ nhìn màu bình thường, bố bị mù màu, họ đã sinh một người con trai bị mù màu. Người con trai bị bệnh đã nhận allele đột biến lặn từ
A. người bố
B. người mẹ.
C. ông nội.
D. bà nội.
Câu 3: (NB- Đề THPT Nguyễn Huệ) Phương pháp nghiên cứu di truyền nào dưới đây cho phép phát hiện hội chứng klinefelter?
A. Nghiên cứu trẻ đồng sinh.
B. Nghiên cứu tế bào.
C. Di truyền hóa sinh.
D. Nghiên cứu phả hệ.
Câu 4. (VD – Đề THPT Thường Xuân) Cho sơ đồ phả hệ sau đây về bệnh mù màu và máu khó không. Biết rằng bệnh mù màu do gene lặn a gây ra, còn bệnh máu khó đông do gene lặn b gây ra. Các gene trội tương ứng là A, B quy định mắt nhìn màu bình thường.Các gene này nằm trên vùng không tương đồng của nhiễm sắc thể giới tính X với khoảng cách 20cm. Theo lí thuyết, nhận định nào sau đây sai?
A. Trong số 17 người, có tối đa 10 người xác định được kiểu gene.
B. Có ít nhất 2 người phụ nữ trong phả hệ dị hợp tử về cả hai cặp gene.
C. Cặp vợ chồng 15-16 có khả năng sinh đứa con đầu lòng bị bệnh mù màu là 25%.
D. Cặp vợ chồng 15-16 có khả năng sinh đứa con đầu lòng bị máu khó đông là 20%.
Câu 5: (TH – Đề THPT Vũ Văn Hiếu – Nam Định) Thalassemia (còn được gọị là bệnh tan máu bẩm sinh), là một bệnh lí huyết học di truyền liên quan đến sự bất thường của hemoglobin (một cấu trúc protein trong hồng cầu có chức năng vận chuyển oxygene). Ở bệnh nhân Thalassemia, các hồng cầu bị phá huỷ quá mức dẫn đến tình trạng thiếu máu. Thalassemia là một bệnh di truyền lặn ở gene a-globin hoặc b-globin gây ra trên NST thường. Do đó, Thalassemia gây ra những hậu quả nghiêm trọng đến giống nòi, ảnh hưởng đến cuộc sống của bệnh nhân và cả cộng đồng. Trong thực tiễn, một số gia đình có bố mẹ bình thường, nhưng con sinh ra mắc bệnh tan máu bẩm sinh. Khi nói về bệnh Thalassemia, phát biểu nào sau đây đúng?
A. Bệnh được phát hiện dựa trên xét nghiệm NST lấy từ dịch ối hoặc nhau thai.
B. Nếu bố hoặc mẹ bị bệnh Thalassemia thì không được sinh con vì con sẽ bị bệnh.
C. Bệnh được phát hiện dựa trên các kĩ thuật phân tử giúp xác định gene gây bệnh.
D. Bệnh chỉ biểu hiện ở nữ.
Câu 6: (NB– Đề THPT Vũ Văn Hiếu – Nam Định) Ở người, tính trạng tóc xoăn là trội hoàn toàn so với tính trạng tóc thẳng. Một gia đình có bố, mẹ tóc xoăn đã sinh ra hai người con, trong đó có một người con trai tóc thẳng, 1 con gái bình thường. Phả hệ nào sau đây phản ánh đúng sự di truyền tính trạng dạng tóc ở gia đình này?
A.
B.
C.
D.
Câu 7: (NB – Đề Sở Bắc Ninh) Phenylketone niệu (PKU) là rối loạn chuyển hóa Phenylalanyl, gây tích tụ Phenylalanyl trong cơ thể. Sơ đồ phả hệ của một gia đình sau đây bị bệnh này. Phả hệ bên cho thấy bệnh Phenylketone niệu (PKU) được quy định bởi:
A. gene trội trên nhiễm sắc thể giới tính X.
B. gene lặn trên nhiễm sắc thể thường.
C. gene trội trên nhiễm sắc thể thường.
D. gene lặn trên nhiễm sắc thể giới tính X.
Câu 8: (TH – Đề Sở Bắc Ninh) bẹ là một bệnh di truyền, người mang bệnh xơ nang là do nhận yếu tố di truyền gây bệnh xơ nang của cả bố và mẹ. Các nhà khoa học đã tìm được một số biến đổi ở gene CFTR là nguyên nhân chính gây bệnh xơ nang (CF). Một nhà tư vấn di truyền nghiên cứu một gia đình trong đó cả bố và mẹ đều là thể mang về một đột biến CFTR. Họ sinh con đầu tiên bị bệnh này và đang muốn kiểm tra thai để sinh đứa thứ hai xem đó là thai bị bệnh hay là thể mang hay hoàn toàn không mang gene bệnh. Các mẫu DNA từ các thành viên trong gia đình và thai nhi được xét nghiệm PCR và điện di trên gel, kết quả như hình bên. Phát biểu tư vấn di truyền nào dưới đây là phù hợp với kết quả ở hình bên
A. Allele gây bệnh là A3 (allele A3 trội hoàn toàn so với A1).
B. Thai nhi bị bệnh vì allele A3 trội hoàn toàn so với A4.
C. Thứ tự trội lặn các allele lần lượt là A4 > A3 > A2 > A1.
D. Thai nhi hoàn toàn khỏe mạnh.
Câu 9: (TH – Đề THPT Chu Văn An – Thanh Hóa)Hội chứng CFNS (Craniofrontonasal syndrome) là một dạng dị tật bẩm sinh ở người với phần đầu, mặt và mũi của người bệnh có hình dạng không bình thường như hình bên. Tiến hành nghiên cứu một số gia đình có con bị hội chứng CFNS, các nhà khoa học đã thu được kết quả như sau:
Phân tích kết quả ở bảng trên và cho biết phát biểu nào sau đây sai?
A. Ở 11 gia đình trên, con trai sinh ra từ những mẹ bình thường thì đều bình thường.
B. Ở 11 gia đình trên, bố bị CFNS thì con gái đều bị CFNS.
C. Gene gây ra CFNS nằm trên NST giới tính Y không có allele tương ứng trên X.
Câu 10 : (TH – Đề Sở Bắc Ninh) Bệnh bạch tạng ở người do đột biến gene, gây ra bởi rối loạn quá trình sinh và tổng hợp ra melanin. Người mắc bệnh bạch tạng thường có da. mắt, tóc mang màu sắc nhạt. Đặc biệt, da của người mắc bệnh bạch tạng dễ bị bỏng nắng và ung thư. Ngoài ra, người mắc bệnh bạch tạng còn bị sợ ánh sáng, rối loạn thị giác và giảm thị lực. Khi nói về đột biến này, phát biểu nào sau đây là chính xác?
A. gene này thuộc gene đa hiệu.
B. gene bình thường lặn so với gene đột biến.
C. gene đột biến trội hơn tất cả các gene khác quy định màu da, màu mắt, tóc của cơ thể.
D. gene bình thường tồn tại trong cơ thể người bệnh nhưng bị gene đột biến át đi sự biểu hiện.
Câu 11: (TH – Đề Sở Bắc Ninh) Một người phụ nữ bình thường (1) lấy chồng (2) bị bệnh máu khó đông sinh được một con trai (3) bị bệnh máu khó đông. Người con trai này lớn lên lấy vợ (4) bình thường sinh được một bé trai (5) cũng bị bệnh như bố. Hãy xác định kiểu gene của 5 người trong gia đình trên.
A. (1) XX; (2) XYA; (3) XYA; (4) XX; (5) XYA.
B. (1) XaXa; (2) XAY; (3) XAY; (4) XaXa; (5) XAY.
C. (1) XAXa; (2) XaY; (3) XaY; (4) XAXa; (5) XaY.
D. (1) XX; (2) XYa; (3) XYa; (4) XX; (5) XYa.
Câu 12: (VD – Đề Sở Bắc Ninh) Ở người, bệnh hói đầu (baldness) do allele trội H nằm trên NST thường quy định, kiểu gene dị hợp Hh biểu hiện hói đầu ở nam và không hói đầu ở người nữ. Một người chồng hói đầu lấy một người vợ không hói sinh được một người con trai bị hói đầu. Biết rằng bên người chồng có em gái không bị hói đầu, bố và mẹ của người chồng đều không có ai bị hói; bên vợ có em trai bị hói đầu; có bố không hói đầu và mẹ bị hói đầu. Họ đi tư vấn di truyền về khả năng mắc bệnh hói đầu của đứa con hộ sinh lần thứ 2. Phát biểu tư vấn di truyền nào sau đây là phù hợp?
A. Khả năng sinh con thứ 2 là con trai không mắc bệnh hói đầu là 100%.
B. Khả năng sinh con thứ 2 là con trai mắc bệnh hói đầu là 75%.
C. Khả năng sinh con thứ 2 là con gái mắc bệnh là 50%.
D. Khả năng sinh con thứ 2 là con gái không mắc bệnh là 25%.
Câu 13: (TH – Đề Sở Bắc Ninh) Một người phụ nữ bình thường (1) lấy chồng (2) bị bệnh máu khó đông sinh được một con trai (3) bị bệnh máu khó đông. Người con trai này lớn lên lấy vợ (4) bình thường sinh được một bé trai (5) cũng bị bệnh như bố. Hãy xác định kiểu gene của 5 người trong gia đình trên.
A. (1) XX; (2) XYa; (3) XYa; (4) XX; (5) XYa.
B. (1) XAXa; (2) XaY; (3) XaY; (4) XAXa; (5) XaY.
C. (1) XaXa; (2) XAY; (3) XAY; (4) XaXa; (5) XAY.
D. (1) XX; (2) XYA; (3) XYA; (4) XX; (5) XYA.
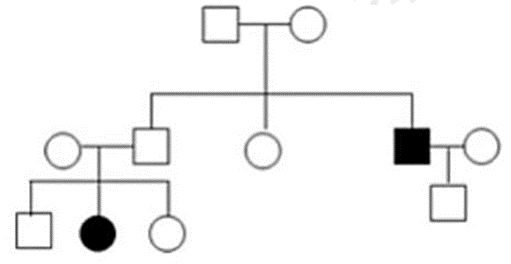
Câu 14. (VD – Đề THPT Hậu Lộc – Thanh Hóa) Sơ đồ phả hệ sau đây mô tả một bệnh di truyền ở người do một alen lặn nằm trên nhiễm sắc thể thường quy định, alen trội tương ứng quy định không bị bệnh.
Biết rằng không có các đột biến mới phát sinh ở tất cả các cá thể trong phả hệ. Xác suất sinh con đầu lòng không bị bệnh của cặp vợ chồng III.12 – III.13 trong phả hệ này là bao nhiêu phần trăm?
A. 83,33%.
B. 25%.
C. 75%.
D. 12,5%
................................
................................
................................
Phần II. Trắc nghiệm đúng sai
Câu 1: (TH – Đề THPT Vũ Văn Hiếu – Nam Định) Ở người, một trong các nguyên nhân gây ung thư võng mạc là do đột biến gene RB – mã hoá protein RB ức chế chuyển tiếp sang pha S của chu kỳ tế bào. Một bệnh di truyền khác là u xơ thần kinh, do đột biến gene NF1 mã hoá protein neurofibromin có khả năng tăng cường hoạt tính GTPaza của protein Ras – mã hoá bởi gene Ras và tham gia quá trình photphorin hoá nội bào trong đáp ứng với các yếu tố sinh trưởng. Mỗi nhận định dưới đây là Đúng hay Sai?
a) Ras là gene tiền ung thư, Rb và NF1 là các gene ức chế khối u.
b) Theo lí thuyết, bố mẹ đều dị hợp tử về gene Rb hoặc NF1, xác suất sinh con bình thường là ¼.
c) Một trong các hiện tượng biến đổi di truyền làm trẻ dị hợp tử biểu hiện kiểu hình ngược lại so với dự đoán lý thuyết là đột biến mất đoạn NST có chứa gene kiểu dại tương ứng.
d) Trên thực tế, ung thư võng mạc và u xơ thần kinh là các bệnh di truyền trội, nghĩa là trẻ mang một alen đột biến cũng sẽ biểu hiện ung thư.
Câu 2: (VD – Đề THPT Hà Trung – Thanh Hóa) Ở người, allele A quy định có kháng nguyên Xg trên bề mặt hồng cầu là trội hoàn toàn so với allele a quy định không có kháng nguyên Xg; allele B quy định da bình thường là trội hoàn toàn so với allele b quy định bệnh da vảy. Hai gene này cùng nằm trên vùng không tương đồng của NST giới tính X và cách nhau 10cM. Một người phụ nữ (H) có kháng nguyên Xg và da bình thường lấy một người đàn ông không có kháng nguyên Xg và bị bệnh da vảy sinh ra một người con gái (M) có kháng nguyên Xg và da bình thường. (M) kết hôn với người chồng (N) không có kháng nguyên Xg và da bình thường. Theo lí thuyết, những phát biểu nào sau đây về hai tính trạng này đúng hay sai?
a) Kiểu gene của người (H) và người (M) có thế giống nhau.
b) Cặp vợ chồng (M) – (N) có thể sinh con trai có kháng nguyên Xg và bệnh da vảy.
c) Người con gái (M) có thể tạo ra loại giao tử chiếm tỉ lệ 45%.
d) Trong quần thể có tối đa 10 loại kiểu gene về hai tính trạng này.
................................
................................
................................
Phần III. Trắc nghiệm trả lời ngắn
Câu 1. (VD – Đề 37 phát triển đề minh họa) Gene SRY trên vùng không tương đồng của nhiễm sắc thể giới tính Y ở người, được mô tả như Hình 10. Gene SRY hoạt động như “công tắc” khởi động chương trình phát triển sinh dục đực ngay từ giai đoạn phôi thai. Nếu có gene SRY sẽ kích hoạt các gene quy định mầm sinh dục phát triển thành tinh hoàn và ức chế các gene quy định mầm sinh dục phát triển thành buồng trứng.
Ngược lại, nếu không có gene SRY, các gene quy định mầm sinh dục phát triển thành buồng trứng sẽ được biểu hiện và đồng thời ức chế các gene quy định mầm sinh dục phát triển thành tinh hoàn. Tại một viện nghiên cứu di truyền lâm sàng, họ tiến hành thu thập các mẫu bệnh phẩm của những người mang những rối loạn liên quan đến sự thêm hoặc mất gene SRY trên nhiễm sắc thể giới tính, như sau:
- Bệnh nhân số 1: Mang bộ nhiễm sắc thể 44 + XX, nhưng một nhiễm sắc thể X mang gene SRY.
- Bệnh nhân số 2: Mang bộ nhiễm sắc thể 44 + XY, nhưng cả nhiễm sắc thể X và Y mang gene SRY.
- Bệnh nhân số 3: Mang bộ nhiễm sắc thể 44 + XY, nhưng nhiễm sắc thể Y mang hai gene SRY.
- Bệnh nhân số 4: Mang bộ nhiễm sắc thể 44 + XY, nhưng cả nhiễm sắc thể X và Y không mang gene SRY.
- Bệnh nhân số 5: Mang bộ nhiễm sắc thể 44 + XX, nhưng cả hai nhiễm sắc thể X mang gene SRY.
- Bệnh nhân số 6: Mang bộ nhiễm sắc thể 44 + XY, nhưng có một nhóm tế bào ở bàn tay trong bộ nhiễm sắc thể có nhiễm sắc thể X mang gene SRY và nhiễm sắc thể Y không mang gene SRY.
Theo lí thuyết, có bao nhiêu bệnh nhân mà biểu hiện đặc điểm cơ quan sinh dục trái ngược với nhiễm sắc thể giới tính trong tế bào (ví dụ: bộ nhiễm sắc thể 44 + XX nhưng cơ quan sinh dục nam)?
Câu 2: (VD – Đề THPT Vũ Văn Hiếu – Nam Định) Phả hệ dưới đây cho thấy sự di truyền của một tính trạng bệnh X do 1 gene có 2 alen là U và L trên NST thường quy định. Các số trong bảng dưới phả hệ thể hiện các cá thể (1→11); dấu ngang đậm thể hiện trong kiểu gene có alen tương ứng. Những người (1 → 11) có kiểu gene như dưới phả hệ. Xác suất để cặp vợ chồng số (10) và (11) sinh con trai đầu lòng bị bệnh X là bao nhiêu %? (Hãy thể hiện kết quả bằng số thập phân và làm tròn đến 2 chữ số sau dấu phẩy)
................................
................................
................................
DẠNG 5: CÔNG NGHỆ TẾ BÀO. THÀNH TỰU CHỌN GIỐNG
Phần I. Trắc nghiệm nhiều lựa chọn
Câu 1: (NB – Đề THPT Vũ Văn Hiếu – Nam Định) Trong hình thành loài nhờ cơ chế lai xa và đa bội hóa, lúa mì Triticum monococcum (hệ gene AA, 2n = 14) lai với lúa mì hoang dại Aegilops speltoides (hệ gene BB, 2n = 14) được con lai (hệ gene AB, 2n = 14), bị bất thụ; gấp đôi bộ NST của lúa lai tạo lúa mì Triticum dicoccum (hệ gene AABB, 4n = 28. Lúa mì Triticum dicoccum được gọi là
A. thể song nhị bội.
B. thể tam bội.
C. thể lục bội.
D. thể đa bội chẵn.
Câu 2: (TH – Đề Liên trường Nghệ An) Thành tựu nào sau đây là của phương pháp lai hữu tính ở thực vật?
A. Giống dưa hấu tam bội không hạt, hàm lượng đường cao.
B. Giống gà Đông Tảo ở Hưng Yên có kích thước cơ thể lớn, chân thô, da đỏ.
C. Giống lúa gạo vàng chuyển gene tổng hợp - carotene.
D. Giống lúa ST25 đạt 6,5 – 7 tấn/ha, gạo dẻo, thơm, ngon.
Câu 3: (NB – Đề THPT Lam Kinh – Thanh Hóa) Một trong những thành tựu của chọn, tạo giống bằng lai hữu tính là
A. tạo giống lúa nhiều năm PR23.
B. tạo giống xà lách mang gene sản xuất insuline người.
C. tạo lúa Golden rice 2 có hàm lượng β- Carotene và protein cao.
D. tạo ngô NK66Bt/GT có khả năng kháng sâu đục thân, thuốc diệt cỏ.
Câu 4: (TH – Đề THPT Triệu Sơn) Loài lúa mì lục bội (Triticum aestivum) hiện nay được hình thành theo con đường lai xa và đa bội nhiều lần từ ba loài khác nhau. Loài thứ nhất có hệ gene kí hiệu là AA với 2n = 14; loài thứ hai có hệ gene kí hiệu là BB với 2n =14, loài thứ ba có hệ gene kí hiệu là DD với 2n = 14. Theo lí thuyết, phát biểu nào sau đây về loại lúa mì hiện nay là đúng?
A. Các NST tồn tại thành 6 NST tương đồng trong tế bao sinh dưỡng của loài này.
B. Bộ NST của loài lúa mì hiện nay là 3n = 21.
C. Các cây lúa mì lục bội giảm phân không tạo giao tử bình thường.
D. Loài lúa mì lục bội này thể hiện một trong các vai trò của đột biến NST là tạo ra nguồn nguyên liệu cho quá trình hình thành loài mới nhờ lai xa và đa bội.
Câu 5: (TH – Đề cụm trường Hải Dương) Hình dưới đây mô tả một phương pháp tạo giống thực vật:
Trong số các nhận xét dưới đây, nhận xét nào là đúng?
A. Quá trình (1) và (2) là giảm phân tạo giao tử đột biến số lượng NST.
B. Hợp tử (3) là chứa bộ NST lưỡng bội của 2 loài khác nhau.
C. Quá trình (4) là gây đột biến đa bội và nuôi cấy tế bào để tạo cơ thể dị đa bội.
D. Cơ thể dị đa bội có hàm lượng DNA trong tế bào sinh dưỡng gấp đôi hàm lượng DNA trong tế bào sinh dưỡng của loài A và loài B.
Câu 6: (NB – Đề Sở Hà Tĩnh) Hàng nghìn năm qua, con người đã tạo ra nhiều dạng thực vật và động vật qua các quá trình chọn giống và lai tạo, làm biến đổi hệ gene của các loài sinh vật. Hãy cho biết quá trình chọn lọc và lai tạo này dựa trên nguồn nguyên liệu nào sau đây?
A. Đột biến.
B. Biến dị tổ hợp.
C. DNA tái tổ hợp.
D. Biến dị di truyền.
Câu 7: (NB – Đề THPT Bạch Đằng – Quảng Ninh) Trong quá trình cừu Dolly được nhân bản vô tính phương pháp nào sau đây đã được sử dụng?
A. Chuyển nhân của tế bào tuyến vú vào trứng cừu đã được loại bỏ nhân sau đó chuyển vào cừu mang thai hộ.
B. Tách phôi cừu ở giai đoạn đầu của phôi thai và tách riêng từng tế bào riêng biệt, mỗi tế bào được kích thích phát triển thành một phôi thai và chuyển vào cừu mang thai hộ.
C. Nuôi cấy tế bào tủy xương cừu đã biệt hóa và kích thích tế bào này phát triển thành phôi thai, sau đó chuyển phôi vào cừu mang thai hộ.
D. Phân lập tế bào gốc từ phôi cừu và tạo các hợp tử tương đương để chuyển vào cơ thể cừu mang thai hộ.
Câu 8: (TH – Đề THPT Hoàng Hóa) Xuất phát từ nhu cầu cần có những giống lúa thơm chất lượng cao, ngắn ngày nhằm mở rộng vùng chuyên canh lúa ở những vùng ngập lũ, nghiên cứu đã lựa chọnl sử dụng một giống lúa Amaroo nhập nội từ châu Úc có thời gian sinh trưởng ngắn (70 - 75 ngày) và thấp cây (70 - 80 cm) và một giống lúa thơm đang trồng phổ biến là Jasmine85-B3. Biện pháp tạo giống lúa mới này được thực hiện dựa trên phương pháp nào sau đây?
(Nguồn: Nguyễn Phúc Hào, Võ Công Thành, Trần Ngọc Quý, Phạm Văn Phượng. "Lai tạo và tuyển chọn giống lúa ngắn ngày theo hướng năng suất cao, phẩm chất tốt" tại Trường Đại học Cần Thơ, Tạp chí Khoa học 2009 11 98-108 Trường Đại học Cần Thơ)
A. Lai xa.
B. Lai hữu tính.
C. Đa bội hoá.
D. Tạo dòng thuần.
Câu 9: (TH – Đề THPT Triệu Sơn) Cho các dòng thuần chủng có kiểu gene như sau: (I): AAbb; (II): aaBB; (III): AABB; (IV): aabb. Theo lí thuyết, phép lai nào sau đây tạo ra đời con có ưu thế lai cao nhất?
A. Dòng (II) × dòng (IV).
B. Dòng (I) × dòng (II).
C. Dòng (II) × dòng (III).
D. Dòng (I) × dòng (III).
Câu 10: (NB – Đề Chuyên Lam Sơn – Thanh Hóa) Cây gai dầu (cây tầm ma, Galeopsis tetrahit) có bộ NST 2n = 32 bắt nguồn từ hai loài lưỡng bội G. pubescens (2n = 16) và G. specionsa (2n = 16) bằng lai xa kèm lưỡng bội hóa. Loài Galeopsis tetrahit đã được hình thành bằng cơ chế
A. tự đa bội.
B. dị đa bội.
C. cách li địa lí.
D. cách li sinh thái.
Câu 11: (NB – Đề Chuyên Lê Quý Đôn) Sơ đồ bên dưới mô tả các phép lai để tạo ra giống lợn ReHal (sinh trưởng nhanh, tỉ lệ nạc cao, không mẫn cảm với stress vận chuyển, chất lượng thịt được cải tiến) từ giống lợn Pietrain (sinh trưởng nhanh, tỉ lệ nạc cao nhưng mẫn cảm stress vận chuyển, chất lượng thịt kém nếu ở thể đồng hợp gene r) và giống lợn Large White (Đại bạch). Phân tích sơ đồ và cho biết phát biểu nào sau đây đúng?
A. Lợn Large White (Đại bạch) mẫn cảm với stress vận chuyển.
B. Các phép lai giữa các con lai và lợn Pietrain là các phép lai khác loài (lai xa).
C. Lợn ReHal có kiểu gene rr.
D. Để tạo ra giống lợn ReHal cần tiến hành 17 phép lai trở lại giữa con lai với giống lợn Pietrain.
Câu 12: (NB – Đề Nguyễn Trung Trực) Ví dụ nào sau đây là thành tựu tạo giống bằng phương pháp lai hữu tính giữa hai giống khác nhau trong nước?
A. Lợn đại bạch (con lai giữa lợn Yorkshire của Anh với các giống khác).
B. Lợn rừng lai (con lai giữa lợn Móng Cái và lợn rừng trong nước).
C. Bò BBB (con lai giữa nhiều giống bò địa phương của Bỉ với bò shorthorn của Pháp).
D. Lợn ba xuyên (con lai giữa lợn Bershire với lợn địa phương (lợn bồ xụ) ở Sóc Trăng).
Câu 13: (NB – Đề THPT Chiến Thắng) Trong quá trình nhân bản vô tính, tế bào nào được sử dụng để tạo ra một bản sao của sinh vật?
A. Tế bào trứng từ sinh vật nhận gene.
B. Tế bào soma của sinh vật cho gene.
C. Tế bào sinh dục của sinh vật cho gene.
D. Tế bào tinh trùng của sinh vật nhận gene.
Câu 14: (NB – Đề THPT Chiến Thắng) Ưu thế lai là hiện tượng con lai
A. Xuất hiện nhiều biến dị tổ hợp.
B. Được tạo ra do chọn lọc cá thể.
C. Có những đặc điểm vượt trội so với bố mẹ.
D. Xuất hiện những tính trạng lạ không có ở bố mẹ.
................................
................................
................................
Phần II. Trắc nghiệm đúng sai
Câu 1: (TH – Đề Sở Quảng Bình) Nghiên cứu sự di truyền của bốn giống ngô có kiểu gene như Bảng 1 dưới đây:
Quy ước: allele A quy định hạt to trội hoàn toàn so với allele a quy định hạt nhỏ; allele B quy định hạt đầy trội hoàn toàn so với allele b quy định hạt lép; allele D quy định khả năng chống sâu bệnh trội hoàn toàn so với allele d quy định không có khả năng chống chịu sâu bệnh. Các allele trội là trội hoàn toàn, các gene phân li độc lập.
a) Để tạo ưu thế lai cao nhất và sử dụng ở F, nhà chọn giống cho lai giữa giống (2) và (3) với nhau.
b) Trong số các giống trên, giống (2) và giống (4) là giống có đặc tính di truyền ổn định nhất.
c) Giả sử tính trạng hạt to, đầy và khả năng chống chịu sâu bệnh là tính trạng tốt. Để tạo các giống mang tính trạng tốt, các nhà chọn giống có thể tiến hành nuôi cấy hạt phấn của giống (1).
d) Sau khi tạo ưu thế lai giữa giống (2) và giống (3) các nhà khoa học có thể nhân giống nhanh và tránh hiện tượng thoái hóa giống ở F1 bằng phương pháp nuôi cấy mô tế bào.
................................
................................
................................
Phần III. Trắc nghiệm trả lời ngắn
Câu 1: (NB – Đề 16 phát triển đề minh họa) Bò được chuyển gene sản xuất r-protein của người, gene này được biểu hiện ở tuyến sữa, có thể cho sản phẩm với số lượng lớn và được dùng để chế biến sản xuất ra protein C chữa bệnh máu vón cục gây tắc mạch ở người. Tạo bò chuyển gene được thực hiện dựa trên nguyên lí chung tạo sinh vật biến đổi gene . Cho các bước chính trong quy trình tạo bò chuyển gene sau đây:
1. Thụ tinh in vitro (trong ống nghiệm).
2. Cấy phôi vào ống dẫn trứng của con bò mẹ.
3. Tiêm gene sản xuất r-protein của người vào hợp tử.
4. Cho hợp tử phát triển thành phôi.
Hãy viết liền các số tương ứng với các bước theo trình tự đúng của quy trình tạo bò chuyển gene bằng phương pháp vi tiêm.
Câu 2: (TH – Đề Chuyên Lam Sơn – Thanh Hóa) Em bé “ba bố mẹ” được sinh ra bằng phương pháp IVF (thụ tinh trong ống nghiệm). Em bé này được sinh ra từ hợp tử hoặc trứng đã được biến đổi gene và có DNA của mẹ ruột, cha ruột và một người hiến tặng trứng. Kỹ thuật này cho phép thay thế ti thể mang gene gây bệnh nan y về tim, gan, rối loạn não bộ, mù và loạn dưỡng cơ... của người mẹ ruột bằng ti thể lành mạnh của người hiến tặng.
Có hai phương thức có thể tạo ra em bé “ba bố mẹ”. Mỗi phương thức được tóm lược bằng 3 bước theo 2 sơ đồ sau:
(1) Em bé được tạo ra bằng cả hai phương thức trên đều không mang đặc điểm di truyền qua tế bào chất của mẹ ruột.
(2) Em bé có cặp NST giới tính là XX hoặc XY.
(3) Cả 2 phương thức tạo ra em bé “ba bố mẹ” đều phải tiêu huỷ một hợp tử.
(4) Em bé mang hệ gene của 3 người: bố, mẹ ruột và người hiến tặng.
Nhận định không đúng về em bé “ba bố mẹ” là nhận định số mấy?
................................
................................
................................
Xem thêm các câu hỏi ôn thi Tốt nghiệp THPT Sinh học có đáp án hay khác:
Trắc nghiệm Chủ đề: Trao đổi chất và chuyển hóa năng lượng ở thực vật
Trắc nghiệm Chủ đề: Trao đổi chất và chuyển hóa năng lượng ở động vật
Đã có app VietJack trên điện thoại, giải bài tập SGK, SBT Soạn văn, Văn mẫu, Thi online, Bài giảng....miễn phí. Tải ngay ứng dụng trên Android và iOS.
Theo dõi chúng tôi miễn phí trên mạng xã hội facebook và youtube:Nếu thấy hay, hãy động viên và chia sẻ nhé! Các bình luận không phù hợp với nội quy bình luận trang web sẽ bị cấm bình luận vĩnh viễn.
- Giải Tiếng Anh 12 Global Success
- Giải sgk Tiếng Anh 12 Smart World
- Giải sgk Tiếng Anh 12 Friends Global
- Lớp 12 Kết nối tri thức
- Soạn văn 12 (hay nhất) - KNTT
- Soạn văn 12 (ngắn nhất) - KNTT
- Giải sgk Toán 12 - KNTT
- Giải sgk Vật Lí 12 - KNTT
- Giải sgk Hóa học 12 - KNTT
- Giải sgk Sinh học 12 - KNTT
- Giải sgk Lịch Sử 12 - KNTT
- Giải sgk Địa Lí 12 - KNTT
- Giải sgk Giáo dục KTPL 12 - KNTT
- Giải sgk Tin học 12 - KNTT
- Giải sgk Công nghệ 12 - KNTT
- Giải sgk Hoạt động trải nghiệm 12 - KNTT
- Giải sgk Giáo dục quốc phòng 12 - KNTT
- Giải sgk Âm nhạc 12 - KNTT
- Giải sgk Mĩ thuật 12 - KNTT
- Lớp 12 Chân trời sáng tạo
- Soạn văn 12 (hay nhất) - CTST
- Soạn văn 12 (ngắn nhất) - CTST
- Giải sgk Toán 12 - CTST
- Giải sgk Vật Lí 12 - CTST
- Giải sgk Hóa học 12 - CTST
- Giải sgk Sinh học 12 - CTST
- Giải sgk Lịch Sử 12 - CTST
- Giải sgk Địa Lí 12 - CTST
- Giải sgk Giáo dục KTPL 12 - CTST
- Giải sgk Tin học 12 - CTST
- Giải sgk Hoạt động trải nghiệm 12 - CTST
- Giải sgk Âm nhạc 12 - CTST
- Lớp 12 Cánh diều
- Soạn văn 12 Cánh diều (hay nhất)
- Soạn văn 12 Cánh diều (ngắn nhất)
- Giải sgk Toán 12 Cánh diều
- Giải sgk Vật Lí 12 - Cánh diều
- Giải sgk Hóa học 12 - Cánh diều
- Giải sgk Sinh học 12 - Cánh diều
- Giải sgk Lịch Sử 12 - Cánh diều
- Giải sgk Địa Lí 12 - Cánh diều
- Giải sgk Giáo dục KTPL 12 - Cánh diều
- Giải sgk Tin học 12 - Cánh diều
- Giải sgk Công nghệ 12 - Cánh diều
- Giải sgk Hoạt động trải nghiệm 12 - Cánh diều
- Giải sgk Giáo dục quốc phòng 12 - Cánh diều
- Giải sgk Âm nhạc 12 - Cánh diều


Giải bài tập SGK & SBT
Tài liệu giáo viên
Sách
Khóa học
Thi online
Hỏi đáp

