Đề thi thử Hóa Tốt nghiệp THPT 2025-2026 Cụm 13 trường THPT (Hải Phòng)
Bài viết đề thi thử Hóa Tốt nghiệp THPT 2025-2026 Cụm 13 trường THPT, Hải Phòng. Qua bài viết này sẽ giúp Giáo viên có thêm tài liệu giảng dạy, giúp học sinh có thêm đề ôn thi tốt nghiệp THPT Hóa 2025-2026.
Đề thi thử Hóa Tốt nghiệp THPT 2025-2026 Cụm 13 trường THPT (Hải Phòng)
Chỉ từ 500k mua trọn bộ Đề thi thử tốt nghiệp THPT 2026 Hóa học (từ Trường/Sở) theo cấu trúc mới bản word có lời giải chi tiết:
- B1: gửi phí vào tk:
1133836868- CT TNHH DAU TU VA DV GD VIETJACK - Ngân hàng MB (QR) - B2: Nhắn tin tới Zalo VietJack Official - nhấn vào đây để thông báo và nhận đề thi
|
SỞ GD & ĐT HẢI PHÒNG CỤM 13 TRƯỜNG THPT MÃ ĐỀ THI: 1301
|
ĐỀ THI THỬ TN THPT LẦN I, NĂM HỌC 2025-2026 Môn thi: HOÁ HỌC Ngày thi: 18/01/2026 Thời gian làm bài: 50 phút (không tính thời gian phát đề) Số trang: 06 trang |
Cho KLNT (amu) của H = 1; C = 12; N = 14; O = 16; Na = 23, S = 32; K = 39; Cl = 35,5; Fe = 56; Cu = 64; Ag = 108; Sn = 119.
Phần 1: Câu hỏi trắc nghiệm nhiều lựa chọn. Thí sinh trả lời các câu hỏi từ câu 1 đến câu 18. Mỗi câu chỉ chọn một phương án đúng.
Câu 1: Benzyl salicylate được sử dụng làm chất cố định nước hoa, các sản phẩm khử mùi, kem chống nắng,… Benzyl salicylate được điều chế bằng phản ứng giữa salicylic acid và benzyl alcohol theo phản ứng sau:
Từ m kg salicylic acid và V (L) benzyl alcohol (D = 1,04 g/mL) đã điều chế được 25,0 (L) benzyl salicylate (D = 1,17 g/mL), biết hiệu suất phản ứng là 80%. Giá trị nhỏ nhất của m và V lần lượt là (làm tròn hàng phần mười):
A. 22,1 và 16,8
B. 22,2 và 16,7
C. 22,1 và 16,8
D. 22,1 và 16,7
Câu 2: Thực hiện thí nghiệm điện phân dung dịch CuSO4 với điện cực graphite (than chì), kết thúc điện phân dung dịch vẫn còn màu xanh. Cho các nhận định sau:
(1) Tại cathode xảy ra sự khử Cu2+.
(2) Tại anode chỉ xảy ra sự oxi hóa của nước tạo khí hydrogen.
(3) Sau điện phân, khối lượng cathode tăng lên.
(4) Sau điện phân, pH của dung dịch giảm so với ban đầu.
(5) Khi vừa bắt đầu điện phân, cả hai điện cực đều có khí thoát ra.
Số nhận định đúng trong các nhận định trên là:
A. 2
B. 3
C. 5
D. 4
Câu 3: Trong số các polymer sau:
(1) ; (2) ; (3) ; (4) [C6H7O2(OOCCH3)3]n; (5) ; (6) .
Polymer được dùng để sản xuất tơ là
A. (1), (2), (6).
B. (3), (4), (1), (6).
C. (1), (2), (3).
D. (1), (2), (3), (4).
Câu 4: Insulin là hormon có tác dụng điều tiết lượng đường trong máu. Thủy phân một phần insulin thu được heptapeptide X mạch hở. Khi thủy phân không hoàn toàn X, thu được hỗn hợp có chứa các peptide: Val-Glu-Gln, Glu- Gln-Cys, Gly-Ile-Val, Gln-Cys-Cys. Nếu đánh số thứ tự amino acid đầu N là số 1 thì amino acid ở vị trí số 2 trong X là:
A. Val.
B. Cys.
C. Gln.
D. Ile.
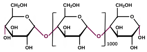
Câu 5: Carbohydrate nào có cấu trúc phân tử được biểu diễn như hình bên dưới:
A. Cellulose.
B. Amylose.
C. Amylopectin.
D. Maltose.
Câu 6: Phát biểu nào sau đây không đúng?
A. Khi dính HNO3 đặc vào da thì chỗ da đó có màu vàng.
B. Khi sử dụng thức ăn, nước uống có lẫn muối kim loại nặng như Pb2+; Hg2+ thì bị ngộ độc.
C. Khi làm sữa chua, đậu nành, trứng muối có sự đông tụ protein.
D. Tất cả các loại protein đều không tan trong nước.
Câu 7: Amine X phản ứng với nitrous acid (HNO2) thu được propan-1-ol. Tên gọi của X là
A. propan-2-amine.
B. methylamine.
C. ethylamine.
D. propan-1-amine.
Câu 8: Điện phân dung dịch AgNO3 với anode bằng silver (anode tan) và điện phân dung dịch AgNO3 với anode bằng graphite (điện cực trơ) đều có đặc điểm chung là:
A. ở cathode xảy ra sự oxi hoá: 2H2O + 2e → 2OH- + H2.
B. ở anode xảy ra sự oxi hoá: Ag → Ag+ + 1e.
C. ở cathode xảy ra sự khử: Ag+ + 1e → Ag.
D. ở anode xảy ra sự khử: 2H2O → O2 + 4H+ + 4e.
Câu 9: Phát biểu nào sau đây không đúng:
A. Trong môi trường acid, glucose và fructose có thể chuyển hoá lẫn nhau.
B. Trong dung dịch, glucose tồn tại chủ yếu ở dạng vòng 6 cạnh (dạng α và β).
C. Có thể dùng nước bromine để phân biệt hai dung dịch glucose và fructose.
D. Không thể phân biệt glucose và fructose bằng phản ứng với dung dịch [Ag(NH3)2]OH.
Câu 10: Trong thí nghiệm điều chế ethyl acetate từ acetic acid và ethyl alcohol, các chất hữu cơ sau khi ngưng tụ thu được hỗn hợp gồm ethyl acetate, ethyl alcohol và nước. Biết nhiệt độ sôi của ethyl acetate, ethyl alcohol và nước lần lượt là 77,10C; 78,30C và 1000C. Để tách được ethyl acetate từ hỗn hợp trên người ta dùng phương pháp nào sau đây:
A. chiết lỏng – rắn
B. chiết lỏng – lỏng
C. sắc kí cột
D. chưng cất
Xem thêm đề thi thử Hóa năm 2025-2026 tốt nghiệp THPT trên cả nước khác:
Đề thi thử Hóa Tốt nghiệp THPT 2025-2026 Cụm trường THPT TT1-QV1-LVT (Bắc Ninh)
Đề thi thử Hóa Tốt nghiệp THPT 2025-2026 Liên trường THPT (Bắc Ninh)
Đề thi thử Hóa Tốt nghiệp THPT 2025-2026 trường THPT Chuyên Bắc Ninh (Bắc Ninh)
Đề thi thử Hóa Tốt nghiệp THPT 2025-2026 trường THPT Đồng Đậu (Phú Thọ)
Đề thi thử Hóa Tốt nghiệp THPT 2025-2026 trường THPT Hàn Thuyên (Bắc Ninh)
Đề thi thử Hóa Tốt nghiệp THPT 2025-2026 trường THPT Thuận Thành Số 1 (Bắc Ninh)
Đề thi thử Hóa Tốt nghiệp THPT 2025-2026 trường THPT Hàm Rồng (Thanh Hóa)
Đề thi thử Hóa Tốt nghiệp THPT 2025-2026 trường THPT Bỉm Sơn (Thanh Hóa)
Đề thi thử Hóa Tốt nghiệp THPT 2025-2026 trường THPT Chuyên Trần Phú (Hải Phòng)
Đề thi thử Hóa Tốt nghiệp THPT 2025-2026 trường THPT Bạch Đằng (Hải Phòng)
Đề thi thử Hóa Tốt nghiệp THPT 2025-2026 trường THPT Lương Tài Số 2 (Bắc Ninh)
Đề thi thử Hóa Tốt nghiệp THPT 2025-2026 trường THPT Võ Thị Sáu (Phú Thọ)
Đề thi thử Hóa Tốt nghiệp THPT 2025-2026 Cụm các trường THPT (Bắc Ninh)
Đã có app VietJack trên điện thoại, giải bài tập SGK, SBT Soạn văn, Văn mẫu, Thi online, Bài giảng....miễn phí. Tải ngay ứng dụng trên Android và iOS.
Theo dõi chúng tôi miễn phí trên mạng xã hội facebook và youtube:Nếu thấy hay, hãy động viên và chia sẻ nhé! Các bình luận không phù hợp với nội quy bình luận trang web sẽ bị cấm bình luận vĩnh viễn.
- Giải Tiếng Anh 12 Global Success
- Giải sgk Tiếng Anh 12 Smart World
- Giải sgk Tiếng Anh 12 Friends Global
- Lớp 12 Kết nối tri thức
- Soạn văn 12 (hay nhất) - KNTT
- Soạn văn 12 (ngắn nhất) - KNTT
- Giải sgk Toán 12 - KNTT
- Giải sgk Vật Lí 12 - KNTT
- Giải sgk Hóa học 12 - KNTT
- Giải sgk Sinh học 12 - KNTT
- Giải sgk Lịch Sử 12 - KNTT
- Giải sgk Địa Lí 12 - KNTT
- Giải sgk Giáo dục KTPL 12 - KNTT
- Giải sgk Tin học 12 - KNTT
- Giải sgk Công nghệ 12 - KNTT
- Giải sgk Hoạt động trải nghiệm 12 - KNTT
- Giải sgk Giáo dục quốc phòng 12 - KNTT
- Giải sgk Âm nhạc 12 - KNTT
- Giải sgk Mĩ thuật 12 - KNTT
- Lớp 12 Chân trời sáng tạo
- Soạn văn 12 (hay nhất) - CTST
- Soạn văn 12 (ngắn nhất) - CTST
- Giải sgk Toán 12 - CTST
- Giải sgk Vật Lí 12 - CTST
- Giải sgk Hóa học 12 - CTST
- Giải sgk Sinh học 12 - CTST
- Giải sgk Lịch Sử 12 - CTST
- Giải sgk Địa Lí 12 - CTST
- Giải sgk Giáo dục KTPL 12 - CTST
- Giải sgk Tin học 12 - CTST
- Giải sgk Hoạt động trải nghiệm 12 - CTST
- Giải sgk Âm nhạc 12 - CTST
- Lớp 12 Cánh diều
- Soạn văn 12 Cánh diều (hay nhất)
- Soạn văn 12 Cánh diều (ngắn nhất)
- Giải sgk Toán 12 Cánh diều
- Giải sgk Vật Lí 12 - Cánh diều
- Giải sgk Hóa học 12 - Cánh diều
- Giải sgk Sinh học 12 - Cánh diều
- Giải sgk Lịch Sử 12 - Cánh diều
- Giải sgk Địa Lí 12 - Cánh diều
- Giải sgk Giáo dục KTPL 12 - Cánh diều
- Giải sgk Tin học 12 - Cánh diều
- Giải sgk Công nghệ 12 - Cánh diều
- Giải sgk Hoạt động trải nghiệm 12 - Cánh diều
- Giải sgk Giáo dục quốc phòng 12 - Cánh diều
- Giải sgk Âm nhạc 12 - Cánh diều


Giải bài tập SGK & SBT
Tài liệu giáo viên
Sách
Khóa học
Thi online
Hỏi đáp

