Đề thi thử Sinh Tốt nghiệp THPT 2025-2026 trường TH-THCS-THPT Lê Thánh Tông (TP.HCM)
Bài viết đề thi thử Sinh Tốt nghiệp THPT 2025-2026 trường TH-THCS-THPT Lê Thánh Tông, TP.HCM. Qua bài viết này sẽ giúp Giáo viên có thêm tài liệu giảng dạy, giúp học sinh có thêm đề ôn thi tốt nghiệp THPT Sinh 2025-2026.
Đề thi thử Sinh Tốt nghiệp THPT 2025-2026 trường TH-THCS-THPT Lê Thánh Tông (TP.HCM)
Chỉ từ 500k mua trọn bộ Đề thi thử tốt nghiệp THPT 2026 Sinh học (từ Trường/Sở) bản word có lời giải chi tiết:
- B1: gửi phí vào tk:
1133836868- CT TNHH DAU TU VA DV GD VIETJACK - Ngân hàng MB (QR) - B2: Nhắn tin tới Zalo VietJack Official - nhấn vào đây để thông báo và nhận đề thi
|
SỞ GD & ĐT THÀNH PHỐ HỔ CHÍ MINH TRƯỜNG TH, THCS, THPT LÊ THÁNH TÔNG (Đề có 4 trang) |
ĐỀ KIỂM TRA THƯỜNG XUYÊN NĂM HỌC 2025-2026 Môn: SINH HỌC 12 Ngày 24/12/2025 Thời gian làm bài: 50 phút, không kể thời gian phát đề |
Mã đề 1224
PHẦN I. Câu trắc nghiệm nhiều phương án lựa chọn. Thí sinh trả lời từ câu 1 đến câu 18. Mỗi câu hỏi thí sinh chỉ chọn một phương án.
Câu 1: Thí nghiệm nghiên cứu di truyền nào sau đây đã được bố trí sai?
A. Ở đậu hà lan, lai giữa cây hạt vàng, hoa tím với cây hạt nhăn, hoa trắng.
B. Ở chuột, lai giữa chuột lông đen và chuột lông trắng.
C. Ở ruồi giấm, lai giữa ruồi đực mắt đỏ với ruồi cái mắt trắng.
D. Ở cây hoa phấn, lấy hạt phấn cành lá xanh thụ phấn cho noãn cành lá đốm.
Câu 2: Xét bộ ba 3'TCT5' trên mạch gốc của gene, đột biến nào sau đây xảy ra sẽ biến bộ ba này trở thành bộ ba kết thúc?
A. Thay cặp nucleotide C-G thành cặp nucleotide A-T.
B. Thay cặp nucleotide T-A ở đầu 5¢ thành cặp nucleotide A-T.
C. Thay cặp nucleotide T-A ở đầu 3' thành cặp nucleotide A-T.
D. Thay cặp nucleotide T-A ở đầu 3' thành cặp nucleotide C-G.
Câu 3: Sơ đồ bên mô tả cặp nhiễm sắc thể giới tính ở một cặp vợ chồng và vị trí của các allele về một locus gene. Biết rằng allele A trội hoàn toàn so với allele a. Xác suất cặp vợ chồng này sinh con gái đầu lòng biểu hiện kiểu hình lặn là bao nhiêu phần trăm?
A. 25%.
B. 12, 5%.
C. 0%.
D. 50%.
Câu 4: Ở người, gene SRY nằm ở vùng không tương đồng của nhiễm sắc thể giới tính Y. Theo lý thuyết, phát biểu nào sau đây không đúng?
A. Sự thụ tinh giữa trứng mang nhiễm sắc thể giới tính X bình thường và tinh trùng mang nhiễm sắc thể giới tính Y đột biến không có gene SRY sẽ hình thành nên hợp tử XY nhưng phát triển thành bé gái.
B. Sự thụ tinh giữa tinh trùng mang nhiễm sắc thể giới tính X bình thường và trứng mang nhiễm sắc thể giới tính X đột biến chứa gene SRY sẽ hình thành nên hợp tử XX nhưng phát triển thành bé trai.
C. Hợp tử XX bình thường không có gene SRY.
D. Tinh trùng mang nhiễm sắc thể giới tính X bình thường không có gene SRY.
Câu 5: Hai codon khác nhau nhưng có thể cùng quy định cho một loại amino acid. Đây là tính chất gì của mã di truyền?
A. Bán bảo tồn.
B. Thoái hóa.
C. Phổ biến.
D. Đặc hiệu.
Câu 6: Công nghệ gene được ứng dụng để sản xuất insulin của người trong tế bào vi khuẩn. Các nhà khoa học đã đưa vào tế bào vi khuẩn cái gì để nó sản xuất insulin người?
A. Plasmid tái tổ hợp.
B. Plasmid của người.
C. Nhân tế bào người.
D. Insulin tái tổ hợp.
Câu 7: Ở người, tinh trùng đóng góp vật chất di truyền cho hợp tử như thế nào?
A. Chỉ nhiễm sắc thể giới tính X hoặc Y.
B. Một nửa số nhiễm sắc thể của hợp tử.
C. Toàn bộ các gene ngoài nhân của hợp tử.
D. Toàn bộ các nhiễm sắc thể trong nhân hợp tử.
Câu 8: Trong thành phần cấu tạo RNA không có nucleotide loại gì?
A. C.
B. T.
C. A.
D. U.
Câu 9: Phát biểu nào sau đây mô tả đúng cấu trúc của DNA?
A. Hai mạch liên kết với nhau bằng liên kết hydrogen.
B. Mỗi mạch gồm các đơn phân là acid béo.
C. Mỗi nucleotide quy định một amino acid.
D. Mỗi mạch là một phân tử mRNA.
Câu 10: Sơ đồ bên mô tả một giai đoạn trong quá trình gì?
A. Dịch mã.
B. Phiên mã.
C. Phiên mã ngược.
D. Tái bản DNA.
Câu 11: Ở người, gene quy định nhóm máu có 3 allele IA, IB và IO. Phát biểu nào sau đây đúng?
A. Gene này là gene đa hiệu.
B. Gene này là gene đa allele.
C. Sự biểu hiện của gene này chịu ảnh hưởng lớn của điều kiện môi trường.
D. Từ kiểu hình nhóm máu luôn có thể xác định chính xác được kiểu gene.
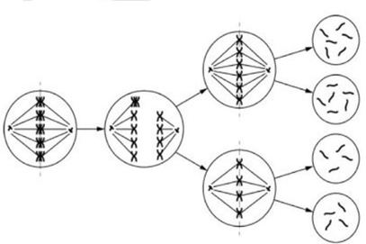
Câu 12: Sơ đồ bên mô tả một giai đoạn trong quá trình phân bào. Phát biểu nào sau đây mô tả đúng quá trình đang diễn ra bên trong tế bào?
A. Các chromatid chị em phân li ở kỳ sau nguyên phân.
B. Các nhiễm sắc thể kép đang phân li ở kỳ sau I.
C. Các nhiễm sắc thể xếp hàng ở mặt phẳng xích đạo của tế bào trong nguyên phân.
D. Rối loạn phân li của nhiễm sắc thể xảy ra trong giảm phân.
Câu 13: Một quần thể thực vật có tỉ lệ các kiểu gene là 0, 2AABB : 0, 5AaBb : 0, 2aaBb : 0,1aabb. Tần số allele A và B của quần thể lần lượt là
A. 0,55 và 0,45.
B. 0,45 và 0,55.
C. 0,45 và 0,45.
D. 0,55 và 0,55.
Câu 14: Phát biểu nào sau đây đúng về nguyên phân?
A. Nguyên phân luôn tạo ra tế bào con có kiểu gene đồng hợp.
B. Nguyên phân trực tiếp tạo ra các giao tử ở động vật.
C. Nguyên phân chỉ tạo ra các tế bào đơn bội.
D. Nguyên phân giúp tạo ra các tế bào giống nhau về mặt di truyền.
Câu 15: Ở loài hoa rồng (Pachystachys lutea), màu sắc hoa do một gene mã hóa enzyme sinh tổng hợp sắc tố đỏ quy định. Allele đột biến của gene này bị mất chức năng, không tổng hợp được sắc tố đỏ. Cây có kiểu gene dị hợp biểu hiện màu hoa hồng. Theo lý thuyết, phát biểu nào sau đây không đúng?
A. Cây có 2 allele đột biến không tổng hợp được sắc tố đỏ.
B. Màu hoa hồng là kết quả của sự tương tác giữa sản phẩm của các gene không allele.
C. Phép lai giữa cây hoa đỏ và cây hoa trắng tạo ra F1 toàn cây hoa hồng.
D. Cây dị hợp tử tạo ra lượng sắc tố đỏ thấp hơn so với cây hoa đỏ.
Câu 16: Tính trạng màu lông ở loài chó M được mô tả bằng sơ đồ hóa sinh bên. Biết rằng các gene đang xét thuộc các nhóm gene liên kết khác nhau. Theo lý thuyết, phát biểu nào sau đây không đúng?
A. Phép lai giữa hai cá thể bố mẹ lông nâu có thể cho F1 toàn chó lông đen.
B. Cá thể có kiểu gene aabb có màu lông vàng.
C. Trong quần thể, có tối đa 4 kiểu gene quy định màu lông nâu.
D. Màu lông ở loài chó M là kết quả của tương tác cộng gộp.
Câu 17: Ở vi khuẩn E. coli sống trong môi trường chỉ có đường lactose, đột biến nào sau đây xảy ra ở operon lac sẽ gây hậu quả nghiêm trọng nhất?
A. Đột biến ở vùng khởi động làm enzyme phiên mã không thể nhận biết và bám vào.
B. Đột biến thay thế xảy ra ở gene cấu trúc Z.
C. Đột biến ở vùng vận hành làm protein ức chế không thể nhận biết và bám vào.
D. Đột biến thay thế xảy ra ở gene cấu trúc Y.
Câu 18: Sơ đồ bên mô tả kết quả của một phép lai giữa một con thỏ lông sẫm màu và một con thỏ lông trắng. Biết rằng ở thỏ, allele R quy định lông sẫm màu trội hoàn toàn so với allele r quy định lông trắng. Theo lý thuyết, kiểu gene của cặp thỏ bố mẹ là gì?
A. R và r.
B. RR và rr.
C. RR và Rr.
D. Rr và rr.
PHẦN II. Câu trắc nghiệm đúng sai. Thí sinh trả lời từ câu 1 đến câu 4. Trong mỗi ý a), b), c), d) ở mỗi câu, thí sinh chọn đúng hoặc sai.
Câu 1: Khi nghiên cứu tính trạng màu hoa của một loài thực vật, các nhà nghiên cứu đã tìm được ra được quy luật di truyền tính trạng này theo tương tác bổ sung, được quy ước về kiểu gene như sau: A - B - quy định hoa đỏ, A - bb quy định hoa vàng, aaB- quy định hoa hồng và aabb quy định hoa trắng. Để xác định kiểu gene của một cây (T) liên quan đến tính trạng này, các nhà nghiên cứu đã cho cây (T) giao phấn với 4 nhóm cây (1), (2), (3) và (4) được chia tương ứng với 4 loại kiểu hình (hoa đỏ, hoa vàng, hoa hồng và hoa trắng) thu được kết quả như hình bên. Biết rằng, không có đột biến xảy ra và số lượng từng loại cây trong mỗi nhóm là ngẫu nhiên.
|
Phép lai |
Tỷ lệ kiểu hình đời con F1 (%) |
|||
|
Đỏ |
Vàng |
Hồng |
Trắng |
|
|
(T ) × (1) |
68,75 |
6,25 |
18,75 |
6,25 |
|
(T ) × (2) |
43,75 |
43,75 |
6,25 |
6,25 |
|
(T ) × (3) |
|
|
100 |
|
|
(T ) × (4) |
|
|
50 |
50 |
a) Cây (T) có một cặp gene đồng hợp trội.
b) Trong nhóm cây (2), số lượng cây mang kiểu gene AAbb gấp 3 lần cây mang kiểu gen Aabb.
c) Trong nhóm cây (3), tất cả các cây đều có kiểu gene giống nhau về hai locus gene đang xét.
d) Cho những cây hoa vàng thu được ở phép lai (T ) × (1) tụ thụ phấn có thể thu được đời con có tỷ lệ phân li kiểu hình là 3 : 1.
Câu 2: Rối loạn phân li trong giảm phân có thể làm ảnh hưởng đến quá trình tạo giao tử. Sơ đồ bên mô tả một trường hợp rối loạn có thể xảy ra trong giảm phân và hậu quả của nó đối với số lượng các nhiễm sắc thể trong giao tử. Biết rằng ngoài rối loạn được mô tả trong sơ đồ, quá trình hình thành giao tử này không xảy ra trao đổi chéo, không phát sinh đột biến khác.
a) Sơ đồ trên minh họa hiện tượng rối loạn phân li xảy ra ở giảm phân I.
b) Tế bào ban đầu có bộ nhiễm sắc thể lưỡng bội 2n = 10.
c) Nếu tế bào ban đầu có kiểu gene Aa thì có thể tạo ra giao tử đột biến AA và aa.
d) Nếu tế bào ban đầu là tế bào sinh trứng thì chỉ có thể tạo ra tối đa một loại trứng.
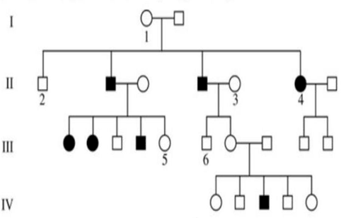
Câu 3: Phả hệ sau đây mô tả sự di truyền của một bệnh ở một dòng họ. Hình vuông tượng trưng cho nam và hình tròn tượng trưng cho nữ. Các hình được tô đen đại diện cho các người bị bệnh. Biết rằng không có đột biến phát sinh ở tất cả các thế hệ trong phả hệ này.
a) Bệnh này do allele lặn nằm trên nhiễm sắc thể thường quy định.
b) Người số 1 có kiểu gene dị hợp còn người số 4 có kiểu gene đồng hợp.
c) Người số 2 và số 3 có thể không mang allele gây bệnh trong kiểu gene.
d) Người số 5 và số 6 có kiểu gene giống nhau.
Câu 4: Sơ đồ bên minh họa các quá trình liên quan đến việc kiểm soát phiên mã và dịch mã trong tế bào.
a) Gene X là gene cấu trúc.
b) Yếu tố phiên mã do gene X mã hóa cần thiết cho sự phiên mã của gene D.
c) Sự phiên mã của gene A, B và C cần thiết cho sự phiên mã của gene E.
d) Các gene khác nhau có thể được điều hòa bởi cùng một yếu tố phiên mã.
PHẦN III. Câu trắc nghiệm trả lời ngắn. Thí sinh trả lời từ câu 1 đến câu 6.
Câu 1: Cho biết tính trạng màu hoa do 3 cặp gene Aa, Bb, Dd nằm trên 3 cặp NST khác nhau tương tác theo kiểu bổ sung, trong đó khi có mặt cả 3 allele trội A, B, D thì quy định hoa đỏ, các trường hợp còn lại đều có hoa trắng. Một quần thể đang cân bằng di truyền có tần số các alelle trội A, B, D lần lượt là 0,3; 0,3; 0,5. Kiểu hình hoa đỏ trong quần thể chiếm tỉ lệ bao nhiêu phần trăm? (Kết quả làm tròn đến hàng phần mười)
Câu 2: Ở cừu, kiểu gen DD quy định có sừng, kiểu gen dd quy định không sừng, kiểu gen Dd quy định có sừng ở con đực và không sừng ở con cái. Trong một quần thể cân bằng di truyền có 30% số cừu có sừng. Biết rằng số cá thể cừu đực bằng số cá thể cừu cái và không xảy ra đột biến. Tần số allele d trong quần thể bằng bao nhiêu? (Kết quả làm tròn đến hàng phần mười)
Câu 3: Trong quá trình giảm phân ở cơ thể có kiểu gene đã xảy ra hoán vị gene giữa các allele D và d với tần số 18%. Tính theo lí thuyết, cứ 1000 tế bào sinh tinh của cơ thể này giảm phân thì số tế bào không xảy ra hoán vị gene giữa các allele D và d là bao nhiêu?
Câu 4: Quan sát sơ đồ về quá trình dịch mã và cho biết các chú thích lần lượt cho: bộ ba mở đầu, anticodon, ribosome, liên kết peptide. Trình bày đáp án bằng cách sắp xếp số thứ tự các lựa chọn theo thứ tự tăng dần.
Câu 5: Trong công nghệ gene, để tạo ra DNA tái tổ hợp cần sử dụng enzyme gì?
(1) DNA polymerase; (2) RNA polymerase; (3) DNA ligase; (4) Primase; (5) Restriction endonuclease; (6) Exonuclease; (7) Protease; (8) Lipase.
Trình bày đáp án bằng cách sắp xếp số thứ tự các lựa chọn theo thứ tự tăng dần.
Câu 6: Trong tế bào động vật, những bào quan hoặc cấu trúc nào sau đây có chứa nucleic acid?
(1) Nhiễm sắc thể; (2) Ti thể; (3) Lục lạp; (4) Màng sinh chất
(5) Ribosome; (6) Protein xuyên màng; (7) Không bào; (8) Trung thể.
Trình bày đáp án bằng cách sắp xếp số thứ tự các lựa chọn theo thứ tự tăng dần.
-----------------HẾT-----------------
Xem thêm đề thi thử Sinh năm 2025-2026 tốt nghiệp THPT trên cả nước khác:
Đề thi thử Sinh Tốt nghiệp THPT 2025-2026 trường THPT Hậu Lộc 4 (Thanh Hóa)
Đề thi thử Sinh Tốt nghiệp THPT 2025-2026 trường THPT Chuyên Thoại Ngọc Hầu (An Giang)
Đề thi thử Sinh Tốt nghiệp THPT 2025-2026 Sở GD&ĐT Ninh Bình
Đề thi thử Sinh Tốt nghiệp THPT 2025-2026 Khối THPT Cụm Cẩm Xuyên (Hà Tĩnh)
Đề thi thử Sinh Tốt nghiệp THPT 2025-2026 trường THCS - THPT Nguyễn Khuyến (TP. HCM)
Đề thi thử Sinh Tốt nghiệp THPT 2025-2026 trường THPT Hàn Thuyên (Bắc Ninh)
Đề thi thử Sinh Tốt nghiệp THPT 2025-2026 Cụm 13 trường THPT (Hải Phòng)
Đề thi thử Sinh Tốt nghiệp THPT 2025-2026 trường THPT Số 2 Nguyễn Bỉnh Khiêm (Gia Lai)
Đề thi thử Sinh Tốt nghiệp THPT 2025-2026 trường THPT Hàm Rồng (Thanh Hóa)
Đề thi thử Sinh Tốt nghiệp THPT 2025-2026 trường THPT Chuyên Hạ Long (Quảng Ninh)
Đề thi thử Sinh Tốt nghiệp THPT 2025-2026 trường THPT Việt Yên Số 1 (Bắc Ninh)
Đề thi thử Sinh Tốt nghiệp THPT 2025-2026 trường THPT Triệu Sơn 1 (Thanh Hóa)
Đề thi thử Sinh Tốt nghiệp THPT 2025-2026 trường THPT Tĩnh Gia 4 (Thanh Hóa)
Đã có app VietJack trên điện thoại, giải bài tập SGK, SBT Soạn văn, Văn mẫu, Thi online, Bài giảng....miễn phí. Tải ngay ứng dụng trên Android và iOS.
Theo dõi chúng tôi miễn phí trên mạng xã hội facebook và youtube:Nếu thấy hay, hãy động viên và chia sẻ nhé! Các bình luận không phù hợp với nội quy bình luận trang web sẽ bị cấm bình luận vĩnh viễn.
- Giải Tiếng Anh 12 Global Success
- Giải sgk Tiếng Anh 12 Smart World
- Giải sgk Tiếng Anh 12 Friends Global
- Lớp 12 Kết nối tri thức
- Soạn văn 12 (hay nhất) - KNTT
- Soạn văn 12 (ngắn nhất) - KNTT
- Giải sgk Toán 12 - KNTT
- Giải sgk Vật Lí 12 - KNTT
- Giải sgk Hóa học 12 - KNTT
- Giải sgk Sinh học 12 - KNTT
- Giải sgk Lịch Sử 12 - KNTT
- Giải sgk Địa Lí 12 - KNTT
- Giải sgk Giáo dục KTPL 12 - KNTT
- Giải sgk Tin học 12 - KNTT
- Giải sgk Công nghệ 12 - KNTT
- Giải sgk Hoạt động trải nghiệm 12 - KNTT
- Giải sgk Giáo dục quốc phòng 12 - KNTT
- Giải sgk Âm nhạc 12 - KNTT
- Giải sgk Mĩ thuật 12 - KNTT
- Lớp 12 Chân trời sáng tạo
- Soạn văn 12 (hay nhất) - CTST
- Soạn văn 12 (ngắn nhất) - CTST
- Giải sgk Toán 12 - CTST
- Giải sgk Vật Lí 12 - CTST
- Giải sgk Hóa học 12 - CTST
- Giải sgk Sinh học 12 - CTST
- Giải sgk Lịch Sử 12 - CTST
- Giải sgk Địa Lí 12 - CTST
- Giải sgk Giáo dục KTPL 12 - CTST
- Giải sgk Tin học 12 - CTST
- Giải sgk Hoạt động trải nghiệm 12 - CTST
- Giải sgk Âm nhạc 12 - CTST
- Lớp 12 Cánh diều
- Soạn văn 12 Cánh diều (hay nhất)
- Soạn văn 12 Cánh diều (ngắn nhất)
- Giải sgk Toán 12 Cánh diều
- Giải sgk Vật Lí 12 - Cánh diều
- Giải sgk Hóa học 12 - Cánh diều
- Giải sgk Sinh học 12 - Cánh diều
- Giải sgk Lịch Sử 12 - Cánh diều
- Giải sgk Địa Lí 12 - Cánh diều
- Giải sgk Giáo dục KTPL 12 - Cánh diều
- Giải sgk Tin học 12 - Cánh diều
- Giải sgk Công nghệ 12 - Cánh diều
- Giải sgk Hoạt động trải nghiệm 12 - Cánh diều
- Giải sgk Giáo dục quốc phòng 12 - Cánh diều
- Giải sgk Âm nhạc 12 - Cánh diều


Giải bài tập SGK & SBT
Tài liệu giáo viên
Sách
Khóa học
Thi online
Hỏi đáp

