Đề thi thử Toán 2023 Quảng Nam | Đề thi thử Toán tốt nghiệp THPT
Bài viết đề thi thử môn Toán năm 2023 tỉnh Quảng Nam. Qua bài viết này sẽ giúp Giáo viên có thêm tài liệu giảng dạy, giúp học sinh lớp 12 có thêm đề ôn thi tốt nghiệp THPT môn Toán 2023.
Đề thi thử Toán 2023 Quảng Nam | Đề thi thử Toán tốt nghiệp THPT
Xem thử Đề thi Tốt nghiệp THPT Toán 2025 Xem thử Đề thi Tốt nghiệp THPT Văn 2025 Xem thử Đề thi Tốt nghiệp Anh 2025 Xem thử Đề thi Tốt nghiệp THPT Vật Lí 2025 Xem thử Đề thi Tốt nghiệp THPT Hóa 2025 Xem thử Đề thi Tốt nghiệp THPT Sinh 2025 Xem thử Đề thi Tốt nghiệp Sử 2025 Xem thử Đề thi Tốt nghiệp THPT Địa 2025 Xem thử Đề thi Tốt nghiệp THPT KTPL 2025
Chỉ từ 300k mua trọn bộ đề thi Tốt nghiệp THPT năm 2025 các môn học theo cấu trúc mới bản word có lời giải chi tiết:
- B1: gửi phí vào tk:
1133836868- CT TNHH DAU TU VA DV GD VIETJACK - Ngân hàng MB (QR) - B2: Nhắn tin tới Zalo VietJack Official - nhấn vào đây để thông báo và nhận đề thi
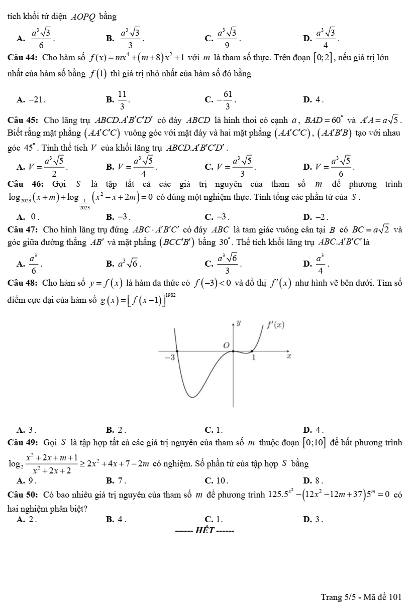
Đề thi thử Toán 2023 Sở GD&ĐT Quảng Nam
................................
................................
................................
Trên đây tóm tắt một số nội dung miễn phí trong đề thi thử môn Toán năm 2023 Quảng Nam. Xem PDF miễn phí:
Quí Thầy/Cô có nhu cầu mua tài liệu Đề thi thử Tốt nghiệp THPT 2024, mời xem thử:
Xem thử Đề thi Tốt nghiệp THPT Toán 2025 Xem thử Đề thi Tốt nghiệp THPT Văn 2025 Xem thử Đề thi Tốt nghiệp Anh 2025 Xem thử Đề thi Tốt nghiệp THPT Vật Lí 2025 Xem thử Đề thi Tốt nghiệp THPT Hóa 2025 Xem thử Đề thi Tốt nghiệp THPT Sinh 2025 Xem thử Đề thi Tốt nghiệp Sử 2025 Xem thử Đề thi Tốt nghiệp THPT Địa 2025 Xem thử Đề thi Tốt nghiệp THPT KTPL 2025
Xem thêm đề thi thử Toán năm 2023 tốt nghiệp THPT trên cả nước khác:
Đề thi thử Toán 2023 liên trường THPT huyện Thuận Thành – Bắc Ninh
Đề thi thử Toán 2023 trường THPT huyện Mỹ Lộc & Vụ Bản – Nam Định
Đề thi thử Toán 2023 cụm trường THPT huyện Nam Trực – Nam Định
Đề thi thử Toán 2023 trường THPT Đinh Tiên Hoàng – Ninh Bình
Đã có app VietJack trên điện thoại, giải bài tập SGK, SBT Soạn văn, Văn mẫu, Thi online, Bài giảng....miễn phí. Tải ngay ứng dụng trên Android và iOS.
Theo dõi chúng tôi miễn phí trên mạng xã hội facebook và youtube:Nếu thấy hay, hãy động viên và chia sẻ nhé! Các bình luận không phù hợp với nội quy bình luận trang web sẽ bị cấm bình luận vĩnh viễn.
- Giải Tiếng Anh 12 Global Success
- Giải sgk Tiếng Anh 12 Smart World
- Giải sgk Tiếng Anh 12 Friends Global
- Lớp 12 Kết nối tri thức
- Soạn văn 12 (hay nhất) - KNTT
- Soạn văn 12 (ngắn nhất) - KNTT
- Giải sgk Toán 12 - KNTT
- Giải sgk Vật Lí 12 - KNTT
- Giải sgk Hóa học 12 - KNTT
- Giải sgk Sinh học 12 - KNTT
- Giải sgk Lịch Sử 12 - KNTT
- Giải sgk Địa Lí 12 - KNTT
- Giải sgk Giáo dục KTPL 12 - KNTT
- Giải sgk Tin học 12 - KNTT
- Giải sgk Công nghệ 12 - KNTT
- Giải sgk Hoạt động trải nghiệm 12 - KNTT
- Giải sgk Giáo dục quốc phòng 12 - KNTT
- Giải sgk Âm nhạc 12 - KNTT
- Giải sgk Mĩ thuật 12 - KNTT
- Lớp 12 Chân trời sáng tạo
- Soạn văn 12 (hay nhất) - CTST
- Soạn văn 12 (ngắn nhất) - CTST
- Giải sgk Toán 12 - CTST
- Giải sgk Vật Lí 12 - CTST
- Giải sgk Hóa học 12 - CTST
- Giải sgk Sinh học 12 - CTST
- Giải sgk Lịch Sử 12 - CTST
- Giải sgk Địa Lí 12 - CTST
- Giải sgk Giáo dục KTPL 12 - CTST
- Giải sgk Tin học 12 - CTST
- Giải sgk Hoạt động trải nghiệm 12 - CTST
- Giải sgk Âm nhạc 12 - CTST
- Lớp 12 Cánh diều
- Soạn văn 12 Cánh diều (hay nhất)
- Soạn văn 12 Cánh diều (ngắn nhất)
- Giải sgk Toán 12 Cánh diều
- Giải sgk Vật Lí 12 - Cánh diều
- Giải sgk Hóa học 12 - Cánh diều
- Giải sgk Sinh học 12 - Cánh diều
- Giải sgk Lịch Sử 12 - Cánh diều
- Giải sgk Địa Lí 12 - Cánh diều
- Giải sgk Giáo dục KTPL 12 - Cánh diều
- Giải sgk Tin học 12 - Cánh diều
- Giải sgk Công nghệ 12 - Cánh diều
- Giải sgk Hoạt động trải nghiệm 12 - Cánh diều
- Giải sgk Giáo dục quốc phòng 12 - Cánh diều
- Giải sgk Âm nhạc 12 - Cánh diều


Giải bài tập SGK & SBT
Tài liệu giáo viên
Sách
Khóa học
Thi online
Hỏi đáp

