Công thức giải phương trình mũ (siêu hay)
Công thức giải phương trình mũ hay nhất sẽ giúp học sinh lớp 12 nắm vững công thức, biết cách làm bài tập từ đó có kế hoạch ôn tập hiệu quả để đạt kết quả cao trong các bài thi Toán 12.
Công thức giải phương trình mũ (siêu hay)
1. Phương trình mũ cơ bản
- Phương trình mũ cơ bản có dạng: ax = b ( a > 0, a ≠ 1)
- Cách giải:
+ Cách 1: Sử dụng định nghĩa lôgarit:
Nếu b ≤ 0 phương trình vô nghiệm
Nếu b ≥ 0 phương trình có nghiệm duy nhất x = log a b
+ Cách 2: Sử dụng đồ thị hàm số mũ
Giao điểm của đồ thị hàm số y = ax và đường thẳng y = b là nghiệm của phương trình ax = b
- Nhìn vào đồ thị ta thấy rõ ràng:
Khi b ≤ 0 thì 2 đồ thị không cắt nhau tức phương trình vô nghiệm
Khi b > 0 hai đồ thị chỉ cắt nhau tại 1 điểm duy nhất x = log a b
2. Cách giải một số phương trình mũ đơn giản
a. Đưa về cùng cơ số
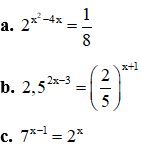
Ví dụ 1. Giải các phương trình sau:
Lời giải:
Vậy phương trình đã cho có 2 nghiệm x = 1; x = 3
Vậy phương trình đã cho có nghiệm x = 2/3
b. Đặt ẩn phụ
Ví dụ 2. Giải các phương trình sau:
a. 4x – 3.2x + 2 = 0
b. 9x+1 – 6. 3x – 1 – 7 = 0
c. 4.9x + 12x – 3.16x = 0
Lời giải:
a. 4x – 3.2x + 2 = 0 ⇒ (2x)2 – 3.2x + 2 = 0
Đặt t = 2x, (t > 0). Phương trình trở thành
Với t = 1 ⇒ 2x = 1 ⇒ x = 0
Với t = 2 ⇒ 2x = 2 ⇒ x = 1
Vậy phương trình đã cho có 2 nghiệm x = 0, x = 1
Đặt t = 3x, (t > 0). Phương trình trở thành:
Vậy phương trình đã cho có nghiệm x = 0
c. 4.9x + 1.2x - 3.16x = 0 ⇔ 4.x + 4.x - 3 = 0
⇔ - 3 = 0
Đặt t = , (t > 0). Phương trình trở thành:
4t2 + t – 3 = 0 ⇔ ⇔ t = .
Với t = ⇒ ⇔ x = 1.
Vậy phương trình đã cho có nghiệm x = 1.
Vậy phương trình đã cho có nghiệm x = 0
c. Lôgarit hóa (lôgarit 2 vế)
Ví dụ 3. Giải các phương trình sau
Lời giải:
a. Lấy logarit cơ số 2 hai vế ta được:
Vậy phương trình đã cho có hai nghiệm x = 0; x = - log3 2;
b. Điều kiện: x ≠ -2
Lấy lôgarit cơ số 2 hai vế ta được:
Vậy phương trình đã cho có hai nghiệm x = 4; x = -2 – log3 2
d. Đánh giá hàm số
Ví dụ 4. Giải các phương trình sau
Lời giải:
a. Xét hàm số:
Vậy phương trình có nghiệm duy nhất
b. 9x + 2(x – 2).3x + 2x – 5 = 0 ⇒ (3x)2 + 2(x – 2).3x + 2x – 5 = 0
Đặt t = 3x, (t > 0). Phương trình trở thành:
t2 + 2(x – 2)t + 2x – 5 = 0
a = 1; b = 2x – 4; c = 2x – 5 ⇒ a – b + c = 0
Do đó phương trình có nghiệm
,
Xét hàm số: f(x) = 3x + 2x - 5
Ta có: f’(x) = 3x.ln3 + 2 > 0 Do vậy f(x) đồng biến.
Do vậy với x < 1 ⇒ f(x) < f(1) = 0
Vậy phương trình có nghiệm duy nhất x = 1.
3. Luyện tập giải phương trình mũ
Bài 1. Giải các phương trình sau:
Bài 2. Giải các phương trình sau:
a. 32x – 1 + 9x = 108
b. 25x – 5x – 56 = 0
c. 52x – 7x + 7x.17 – 52x.17 = 0
Bài 3. Giải các phương trình sau:
Bài 4. Giải các phương trình sau:
a. 2-x = 3x + 10
b. 3x = 11 - x
Bài 5. Giải các phương trình sau:
a. 3.4x – 2.6x = 9x
b. 2x – 3.2-x = 2
c. -8x + 2.4x + 2x – 2 = 0
Xem thêm các Công thức Toán lớp 12 quan trọng hay khác:
Đã có app VietJack trên điện thoại, giải bài tập SGK, SBT Soạn văn, Văn mẫu, Thi online, Bài giảng....miễn phí. Tải ngay ứng dụng trên Android và iOS.
Theo dõi chúng tôi miễn phí trên mạng xã hội facebook và youtube:Nếu thấy hay, hãy động viên và chia sẻ nhé! Các bình luận không phù hợp với nội quy bình luận trang web sẽ bị cấm bình luận vĩnh viễn.
- Đề thi lớp 1 (các môn học)
- Đề thi lớp 2 (các môn học)
- Đề thi lớp 3 (các môn học)
- Đề thi lớp 4 (các môn học)
- Đề thi lớp 5 (các môn học)
- Đề thi lớp 6 (các môn học)
- Đề thi lớp 7 (các môn học)
- Đề thi lớp 8 (các môn học)
- Đề thi lớp 9 (các môn học)
- Đề thi lớp 10 (các môn học)
- Đề thi lớp 11 (các môn học)
- Đề thi lớp 12 (các môn học)
- Giáo án lớp 1 (các môn học)
- Giáo án lớp 2 (các môn học)
- Giáo án lớp 3 (các môn học)
- Giáo án lớp 4 (các môn học)
- Giáo án lớp 5 (các môn học)
- Giáo án lớp 6 (các môn học)
- Giáo án lớp 7 (các môn học)
- Giáo án lớp 8 (các môn học)
- Giáo án lớp 9 (các môn học)
- Giáo án lớp 10 (các môn học)
- Giáo án lớp 11 (các môn học)
- Giáo án lớp 12 (các môn học)


Giải bài tập SGK & SBT
Tài liệu giáo viên
Sách
Khóa học
Thi online
Hỏi đáp

