Công thức tính đường sinh của hình nón (siêu hay)
Công thức tính đường sinh của hình nón hay nhất sẽ giúp học sinh lớp 12 nắm vững công thức, biết cách làm bài tập từ đó có kế hoạch ôn tập hiệu quả để đạt kết quả cao trong các bài thi Toán 12.
Công thức tính đường sinh của hình nón (siêu hay)
1. Công thức tính đường sinh của hình nón
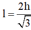
Cho hình nón có bán kính đáy r và chiều cao h.

Khi đó độ dài đường sinh l= 

2. Các dạng bài tập tính đường sinh của hình nón
a. Tính độ dài đường sinh khi biết chiều cao và bán kính đáy
Ví dụ 1. Cho hình nón có bán kính đáy bằng 6 và đường cao bằng 8. Tính độ dài đường sinh của hình nón.
Lời giải:
Độ dài đường sinh là l =
=10
Ví dụ 2. Cho tam giác ABC vuông tại A đường cao AH. Biết AB: AC = 3:4 và độ dài AH là 12. Hình nón tạo thành khi quay tam giác ABC quanh trục AB có đường sinh bằng?
Lời giải:

Đặt AB= 3x; AC= 4x => BC =5x
Ta có: AB.AC = AH.AB => AH = 2,4x =12 => x=5
Do đó độ dài đường sinh là BC=5x= 25
b. Hình nón có đường sinh tạo với trục góc
Khi đó:
hoặc 

Ví dụ. Cho tam giác ABC vuông tại A có AB=a và ∠ABC=30°. Tính độ dài đường sinh l của hình nón nhận được khi quay tam giác ABC quanh trục AB.
Lời giải:

Độ dài đường sinh 
c. Hình nón có đường sinh tạo với đáy góc

a= ∠OMI => 
Ví dụ. Tính độ dài đường sinh của hình nón có chu vi đáy là 6π và góc giữa đường sinh với đáy bằng 45° .
Lời giải:
Chu vi đáy C= 2πr = 6π => r=3
Suy ra độ dài đường sinh là 
d. Thiết diện qua trục là tam giác đặc biệt
- Tam giác vuông: l = r√2 = h√2
- Tam giác đều: l=2r hoặc 
Ví dụ. Cho hình nón có chiều cao bằng 3. Tính độ dài đường sinh trong các trường hợp sau:
a. Thiết diện qua trục là một tam giác vuông
b. Thiết diện qua trục là một tam giác đều
Lời giải:
a. Do thiết diện qua trục là tam giác vuông nên
l= r√2 = h√2
b. Do thiết diện qua trục là tam giác đều nên

Xem thêm các Công thức Toán lớp 12 quan trọng hay khác:
Đã có app VietJack trên điện thoại, giải bài tập SGK, SBT Soạn văn, Văn mẫu, Thi online, Bài giảng....miễn phí. Tải ngay ứng dụng trên Android và iOS.
Theo dõi chúng tôi miễn phí trên mạng xã hội facebook và youtube:Nếu thấy hay, hãy động viên và chia sẻ nhé! Các bình luận không phù hợp với nội quy bình luận trang web sẽ bị cấm bình luận vĩnh viễn.
- Đề thi lớp 1 (các môn học)
- Đề thi lớp 2 (các môn học)
- Đề thi lớp 3 (các môn học)
- Đề thi lớp 4 (các môn học)
- Đề thi lớp 5 (các môn học)
- Đề thi lớp 6 (các môn học)
- Đề thi lớp 7 (các môn học)
- Đề thi lớp 8 (các môn học)
- Đề thi lớp 9 (các môn học)
- Đề thi lớp 10 (các môn học)
- Đề thi lớp 11 (các môn học)
- Đề thi lớp 12 (các môn học)
- Giáo án lớp 1 (các môn học)
- Giáo án lớp 2 (các môn học)
- Giáo án lớp 3 (các môn học)
- Giáo án lớp 4 (các môn học)
- Giáo án lớp 5 (các môn học)
- Giáo án lớp 6 (các môn học)
- Giáo án lớp 7 (các môn học)
- Giáo án lớp 8 (các môn học)
- Giáo án lớp 9 (các môn học)
- Giáo án lớp 10 (các môn học)
- Giáo án lớp 11 (các môn học)
- Giáo án lớp 12 (các môn học)


Giải bài tập SGK & SBT
Tài liệu giáo viên
Sách
Khóa học
Thi online
Hỏi đáp

