Bài 12 trang 42 Toán 11 Tập 1 Cánh diều
Giải Toán 11 Bài tập cuối chương 1 - Cánh diều
Bài 12 trang 42 Toán 11 Tập 1: Giải các phương trình sau:
a) sin;
b) cos;
c) sin3x – cos5x = 0;
d) ;
e) sinx - cosx = 0;
g) sinx + cosx = 0.
Lời giải:
a) sin
Vậy phương trình đã cho có các nghiệm là và với k ∈ ℤ
b) cos
Vậy phương trình đã cho có các nghiệm là và với k ∈ ℤ
c) sin3x – cos5x = 0
sin3x = cos5x
cos = cos5x
Vậy phương trình đã cho có các nghiệm là và với k ∈ ℤ
d)
cos2x = cos
Vậy phương trình đã cho có các nghiệm là với k ∈ ℤ
e) sinx - cosx = 0
sinxcos - cosxsin = 0 (do cos= và sin=)
.
Vậy phương trình đã cho có các nghiệm là với k ∈ ℤ
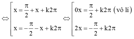
g) sinx + cosx = 0
cosx = ‒sinx
cosx = sin(‒x)
cosx = cos
cosx = cos
Vậy phương trình đã cho có các nghiệm là với k ∈ ℤ.
Lời giải bài tập Toán 11 Bài tập cuối chương 1 hay, chi tiết khác:
Bài 1 trang 41 Toán 11 Tập 1: Hàm số y = sinx đồng biến trên khoảng ....
Bài 2 trang 41 Toán 11 Tập 1: Hàm số nghịch biến trên khoảng (π; 2π) là ....
Bài 3 trang 41 Toán 11 Tập 1: Nếu tan(a + b) = 3, tan(a – b) = ‒3 thì tan2a bằng ....
Bài 4 trang 41 Toán 11 Tập 1: Nếu cosa = thì cos2a bằng ....
Bài 7 trang 41 Toán 11 Tập 1: Số nghiệm của phương trình cosx = 0 trên đoạn [0; 10π] là ....
Bài 8 trang 41 Toán 11 Tập 1: Số nghiệm của phương trình sinx = 0 trên đoạn [0; 10π] là ....
Bài 9 trang 41 Toán 11 Tập 1: Nghiệm của phương trình cotx = ‒1 là ....
Bài 10 trang 41 Toán 11 Tập 1: Số nghiệm của phương trình sin trên đoạn [0; π] là ....
Bài 11 trang 42 Toán 11 Tập 1: Vẽ đồ thị hàm số y = cosx trên đoạn
....
Bài 13 trang 42 Toán 11 Tập 1: Hằng ngày, mực nước của một con kênh lên xuống theo thuỷ triều ....
Bài 14 trang 42 Toán 11 Tập 1: Một cây cầu có dạng cung OA của đồ thị hàm số y = 4,8.sin ....
Các bài học để học tốt Toán 11 Bài tập cuối chương 1:
Xem thêm lời giải bài tập Toán lớp 11 Cánh diều hay, chi tiết khác:
Xem thêm các tài liệu học tốt lớp 11 hay khác:
- Giải sgk Toán 11 Cánh diều
- Giải Chuyên đề học tập Toán 11 Cánh diều
- Giải SBT Toán 11 Cánh diều
- Giải lớp 11 Cánh diều (các môn học)
- Giải lớp 11 Kết nối tri thức (các môn học)
- Giải lớp 11 Chân trời sáng tạo (các môn học)
Tủ sách VIETJACK shopee lớp 10-11 (cả 3 bộ sách):
Đã có app VietJack trên điện thoại, giải bài tập SGK, SBT Soạn văn, Văn mẫu, Thi online, Bài giảng....miễn phí. Tải ngay ứng dụng trên Android và iOS.
Theo dõi chúng tôi miễn phí trên mạng xã hội facebook và youtube:Nếu thấy hay, hãy động viên và chia sẻ nhé! Các bình luận không phù hợp với nội quy bình luận trang web sẽ bị cấm bình luận vĩnh viễn.
- Soạn văn 11 Cánh diều (hay nhất)
- Soạn văn 11 Cánh diều (ngắn nhất)
- Giải sgk Toán 11 - Cánh diều
- Giải Tiếng Anh 11 Global Success
- Giải sgk Tiếng Anh 11 Smart World
- Giải sgk Tiếng Anh 11 Friends Global
- Giải sgk Vật Lí 11 - Cánh diều
- Giải sgk Hóa học 11 - Cánh diều
- Giải sgk Sinh học 11 - Cánh diều
- Giải sgk Lịch Sử 11 - Cánh diều
- Giải sgk Địa Lí 11 - Cánh diều
- Giải sgk Giáo dục KTPL 11 - Cánh diều
- Giải sgk Tin học 11 - Cánh diều
- Giải sgk Công nghệ 11 - Cánh diều
- Giải sgk Hoạt động trải nghiệm 11 - Cánh diều
- Giải sgk Giáo dục quốc phòng 11 - Cánh diều
- Giải sgk Âm nhạc 11 - Cánh diều


Giải bài tập SGK & SBT
Tài liệu giáo viên
Sách
Khóa học
Thi online
Hỏi đáp

