Bài 5.26 trang 124 Toán 11 Tập 1 - Kết nối tri thức
Giải Toán 11 Bài tập cuối Chương 5 - Kết nối tri thức
Bài 5.26 trang 124 Toán 11 Tập 1: Tìm giới hạn của các dãy số có số hạng tổng quát cho bởi công thức sau:
a) ;
b) ;
c) .
Lời giải:
a)
Ta có:
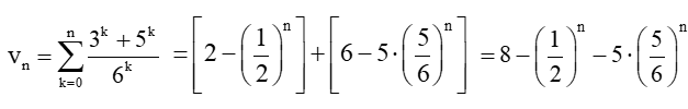
b)
Vì là tổng n số hạng đầu của cấp số nhân với số hạng đầu là và công bội là nên
.
Tương tự, ta tính được:
.
Do đó,
Vậy
c)
Ta có:
Do đó, .
Lời giải bài tập Toán 11 Bài tập cuối Chương 5 hay, chi tiết khác:
Bài 5.18 trang 123 Toán 11 Tập 1: Cho dãy số (un) với . Mệnh đề đúng là ....
Bài 5.19 trang 123 Toán 11 Tập 1: Cho . Giới hạn của dãy số (un) bằng ....
Bài 5.21 trang 123 Toán 11 Tập 1: Cho hàm số . Mệnh đề đúng là ....
Bài 5.25 trang 124 Toán 11 Tập 1: Cho dãy số (un) có tính chất ....
Bài 5.28 trang 124 Toán 11 Tập 1: Tính các giới hạn sau: ....
Bài 5.29 trang 124 Toán 11 Tập 1: Tính các giới hạn một bên: ....
Bài 5.30 trang 124 Toán 11 Tập 1: Chứng minh rằng giới hạn ....
Bài 5.34 trang 124 Toán 11 Tập 1: Tìm các giá trị của a để hàm số ....
Các bài học để học tốt Toán 11 Bài tập cuối chương 5:
Trắc nghiệm Toán 11 Bài tập trắc nghiệm tổng hợp Toán 11 Chương 5
Xem thêm lời giải bài tập Toán lớp 11 Kết nối tri thức hay, chi tiết khác:
Xem thêm các tài liệu học tốt lớp 11 hay khác:
- Giải sgk Toán 11 Kết nối tri thức
- Giải Chuyên đề học tập Toán 11 Kết nối tri thức
- Giải SBT Toán 11 Kết nối tri thức
- Giải lớp 11 Kết nối tri thức (các môn học)
- Giải lớp 11 Chân trời sáng tạo (các môn học)
- Giải lớp 11 Cánh diều (các môn học)
Tủ sách VIETJACK shopee lớp 10-11 (cả 3 bộ sách):
Đã có app VietJack trên điện thoại, giải bài tập SGK, SBT Soạn văn, Văn mẫu, Thi online, Bài giảng....miễn phí. Tải ngay ứng dụng trên Android và iOS.
Theo dõi chúng tôi miễn phí trên mạng xã hội facebook và youtube:Nếu thấy hay, hãy động viên và chia sẻ nhé! Các bình luận không phù hợp với nội quy bình luận trang web sẽ bị cấm bình luận vĩnh viễn.
- Soạn văn 11 (hay nhất) - KNTT
- Soạn văn 11 (ngắn nhất) - KNTT
- Giải sgk Toán 11 - KNTT
- Giải Tiếng Anh 11 Global Success
- Giải sgk Tiếng Anh 11 Smart World
- Giải sgk Tiếng Anh 11 Friends Global
- Giải sgk Vật Lí 11 - KNTT
- Giải sgk Hóa học 11 - KNTT
- Giải sgk Sinh học 11 - KNTT
- Giải sgk Lịch Sử 11 - KNTT
- Giải sgk Địa Lí 11 - KNTT
- Giải sgk Giáo dục KTPL 11 - KNTT
- Giải sgk Tin học 11 - KNTT
- Giải sgk Công nghệ 11 - KNTT
- Giải sgk Hoạt động trải nghiệm 11 - KNTT
- Giải sgk Giáo dục quốc phòng 11 - KNTT
- Giải sgk Âm nhạc 11 - KNTT


Giải bài tập SGK & SBT
Tài liệu giáo viên
Sách
Khóa học
Thi online
Hỏi đáp

