Lôgarit lớp 11 (Lý thuyết Toán 11 Kết nối tri thức)
Với tóm tắt lý thuyết Toán 11 Bài 19: Lôgarit sách Kết nối tri thức hay nhất, chi tiết sẽ giúp học sinh lớp 11 nắm vững kiến thức trọng tâm, ôn luyện để học tốt môn Toán 11.
Lôgarit lớp 11 (Lý thuyết Toán 11 Kết nối tri thức)
(199k) Xem Khóa học Toán 11 KNTT
Bài giảng: Bài 19: Lôgarit - Cô Trần Oanh (Giáo viên VietJack)
Lý thuyết Lôgarit
1. Khái niệm lôgarit
Cho a là một số thực dương khác 1 và M là một số thực dương. Số thực để được gọi là lôgarit cơ số a của M và kí hiệu là .
Chú ý. Không có lôgarit của số âm và số 0. Cơ số của lôgarit phải dương và khác 1.
Từ định nghĩa lôgarit, ta có các tính chất sau:
Với và là số thực tuỳ ý, ta có:
Ví dụ 1. Tính:
Hướng dẫn giải
a)
b)
2. Tính chất của lôgarit
2.1. Quy tắc tính lôgarit
Giả sử a là số thực dương khác 1, M và N là các số thực dương, là số thực tuỳ ý.
Khi đó:
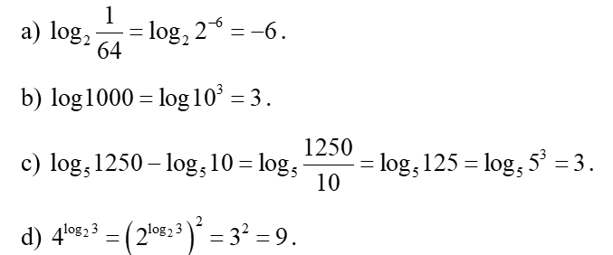
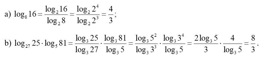
Ví dụ 2. Tính giá trị của các biểu thức sau:
Hướng dẫn giải
2.2. Đổi cơ số của lôgarit
Với các cơ số lôgarit a và b bất kì và M là số thực dương tuỳ ý, ta luôn có:
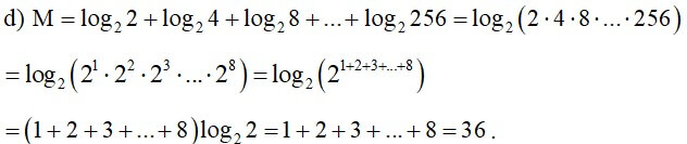
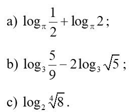
Ví dụ 3. Tính:
Hướng dẫn giải
3. Lôgarit thập phân và lôgarit tự nhiên
3.1. Lôgarit thập phân
Trong thực hành, ta hay dùng hệ đếm thập phân (hệ đếm cơ số 10); lôgarit cơ số 10 đóng vai trò quan trọng trong tính toán.
Lôgarit cơ số 10 của một số dương M gọi là lôgarit thập phân của M, kí hiệu là logM hoặc lgM (đọc là lốc của M).
3.2. Số e và lôgarit tự nhiên
Bài toán lãi kép liên tục và số e
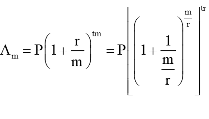
Ta đã biết: Nếu đem gửi ngân hàng một số vốn ban đầu là P theo thể thức lãi kép với lãi suất hằng năm không đổi là r và chia mỗi năm thành m kì tính lãi thì sau t năm (tức là sau tm kì) số tiền thu được (cả vốn lẫn lãi) là
Nếu kì tính lãi được chia càng ngày càng nhỏ, tức là tính lãi hằng ngày, hằng giờ, hằng phút, hằng giây, … thì dẫn đến việc tính giới hạn của dãy số Am khi . Ta có:
Để tính giới hạn , ta cần xét giới hạn
Một cách tổng quát, ta xét giới hạn
Người ta chứng minh được giới hạn trên tồn tại, nó là một số vô tỉ có giá trị bằng 2,718281828… và kí hiệu là e. Vậy
Từ các kết quả trên suy ra
Thể thức tính lãi khi theo cách trên gọi là thể thức lãi kép liên tục.
Như vậy, với số vốn ban đầu là P, theo thể thức lãi kép liên tục, lãi suất hằng năm không đổi là r thì sau t năm, số tiền thu được cả vốn lẫn lãi sẽ là A=Petr . Công thức trên gọi là công thức lãi kép liên tục.
Lôgarit tự nhiên
Ta có định nghĩa sau:
Lôgarit cơ số e của một số dương M gọi là lôgarit tự nhiên của M, kí hiệu là lnM (đọc là lôgarit Nêpe của M).
3.3. Tính lôgarit bằng máy tính cầm tay
Có thể dùng máy tính cầm tay để tính lôgarit của một số dương.
Bài tập Lôgarit
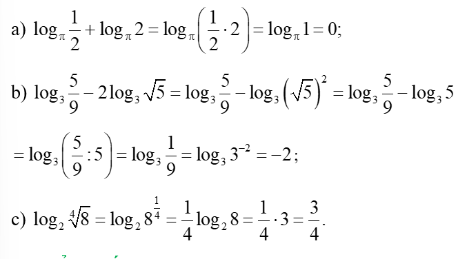
Bài 1. Tính:
Hướng dẫn giải
Bài 2. Tính giá trị của các biểu thức sau:
Hướng dẫn giải
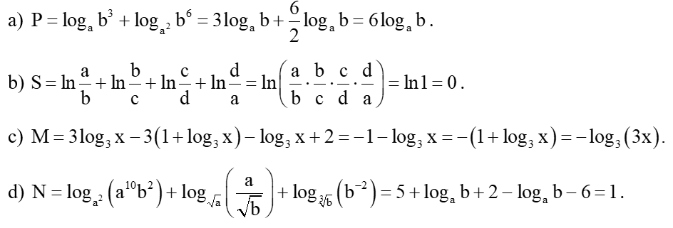
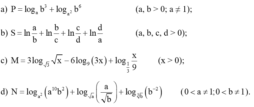
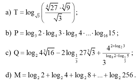
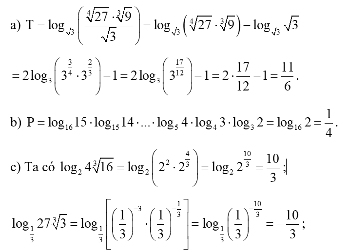
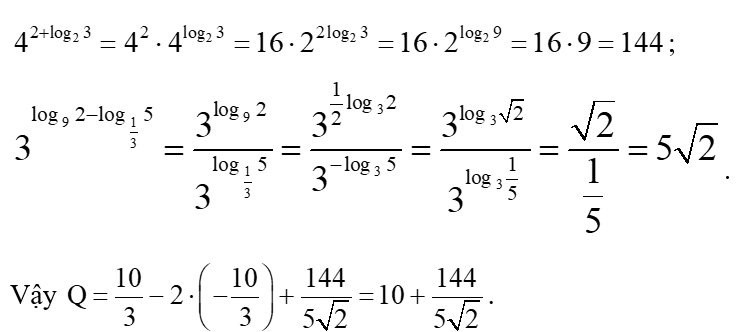
Bài 3. Rút gọn các biểu thức sau:
Hướng dẫn giải
Bài 4.
a) Cho các số thực dương a, b thỏa mãn . Tính
b) Đặt . Biểu diễn theo a và b.
Hướng dẫn giải
Bài 5. Để tính độ tuổi của mẫu vật bằng gỗ, người ta đo độ phóng xạ của có trong mẫu vật tại thời điểm t (năm) (so với thời điểm ban đầu t = 0), sau đó sử dụng công thức tính độ phóng xạ (đơn vị là Becquerel, kí hiệu Bq) với H0 là độ phóng xạ ban đầu (tại thời điểm t = 0); là hằng số phóng xạ, T = 5730 (năm) (Nguồn: Vật lí 12 Nâng cao, NXBGD Việt Nam, 2014). Khảo sát một mẫu gỗ cổ, các nhà khoa học đo được độ phóng xạ là 0,215 Bq. Biết độ phóng xạ của mẫu gỗ tươi cùng loại là 0,250 Bq. Xác định độ tuổi của mẫu gỗ cổ đó (làm tròn kết quả đến hàng đơn vị).
Hướng dẫn giải
Gọi t là độ tuổi của mẫu gỗ cổ.
Học tốt Lôgarit
Các bài học để học tốt Lôgarit Toán lớp 11 hay khác:
(199k) Xem Khóa học Toán 11 KNTT
Xem thêm tóm tắt lý thuyết Toán lớp 11 Kết nối tri thức hay, chi tiết khác:
Lý thuyết Toán 11 Bài 21: Phương trình, bất phương trình mũ và lôgarit
Lý thuyết Toán 11 Bài 23: Đường thẳng vuông góc với mặt phẳng
Xem thêm các tài liệu học tốt lớp 11 hay khác:
- Giải sgk Toán 11 Kết nối tri thức
- Giải Chuyên đề học tập Toán 11 Kết nối tri thức
- Giải SBT Toán 11 Kết nối tri thức
- Giải lớp 11 Kết nối tri thức (các môn học)
- Giải lớp 11 Chân trời sáng tạo (các môn học)
- Giải lớp 11 Cánh diều (các môn học)
Tủ sách VIETJACK shopee lớp 10-11 (cả 3 bộ sách):
Đã có app VietJack trên điện thoại, giải bài tập SGK, SBT Soạn văn, Văn mẫu, Thi online, Bài giảng....miễn phí. Tải ngay ứng dụng trên Android và iOS.
Theo dõi chúng tôi miễn phí trên mạng xã hội facebook và youtube:Nếu thấy hay, hãy động viên và chia sẻ nhé! Các bình luận không phù hợp với nội quy bình luận trang web sẽ bị cấm bình luận vĩnh viễn.
- Soạn văn 11 (hay nhất) - KNTT
- Soạn văn 11 (ngắn nhất) - KNTT
- Giải sgk Toán 11 - KNTT
- Giải Tiếng Anh 11 Global Success
- Giải sgk Tiếng Anh 11 Smart World
- Giải sgk Tiếng Anh 11 Friends Global
- Giải sgk Vật Lí 11 - KNTT
- Giải sgk Hóa học 11 - KNTT
- Giải sgk Sinh học 11 - KNTT
- Giải sgk Lịch Sử 11 - KNTT
- Giải sgk Địa Lí 11 - KNTT
- Giải sgk Giáo dục KTPL 11 - KNTT
- Giải sgk Tin học 11 - KNTT
- Giải sgk Công nghệ 11 - KNTT
- Giải sgk Hoạt động trải nghiệm 11 - KNTT
- Giải sgk Giáo dục quốc phòng 11 - KNTT
- Giải sgk Âm nhạc 11 - KNTT


Giải bài tập SGK & SBT
Tài liệu giáo viên
Sách
Khóa học
Thi online
Hỏi đáp

