Lập phương trình Elip đi qua 2 điểm hoặc qua 1 điểm thỏa mãn điều kiện
Bài viết Lập phương trình Elip đi qua 2 điểm hoặc qua 1 điểm thỏa mãn điều kiện với phương pháp giải chi tiết giúp học sinh ôn tập, biết cách làm bài tập Lập phương trình Elip đi qua 2 điểm hoặc qua 1 điểm thỏa mãn điều kiện.
- Cách giải bài tập Lập phương trình Elip đi qua 2 điểm hoặc qua 1 điểm thỏa mãn điều kiện
- Ví dụ minh họa bài tập Lập phương trình Elip đi qua 2 điểm hoặc qua 1 điểm thỏa mãn điều kiện
- Bài tập vận dụng Lập phương trình Elip đi qua 2 điểm hoặc qua 1 điểm thỏa mãn điều kiện
- Bài tập tự luyện Lập phương trình Elip đi qua 2 điểm hoặc qua 1 điểm thỏa mãn điều kiện
Lập phương trình Elip đi qua 2 điểm hoặc qua 1 điểm thỏa mãn điều kiện
(199k) Xem Khóa học Toán 10 KNTTXem Khóa học Toán 10 CDXem Khóa học Toán 10 CTST
A. Phương pháp giải
+ Bài toán 1: Lập phương trình elip (E) đi qua hai điểm A và B :
- Bước 1: Gọi phương trình chính tắc của elip( E) :
= 1 (a > b > 0).
- Bước 2: Do hai điểm A và B thuộc elip (E) nên thạy tọa độ hai điểm này vào phương trình ( E) ta được hai phương trình ẩn a2; b2.
Giải hệ phương trình ta được a2; b2...
⇒ Phương trình chính tắc của elip.
+ Bài toán 2: Lập phương trình chính tắc của elip ( E) đi qua điểm M và thỏa mãn điều kiện T ( về tiêu cự ; độ dài trục lớn- trục nhỏ; tâm sai....)
- Bước 1: Gọi phương trình chính tắc của elip( E) :
= 1 (a > b > 0).
- Bước 2: Do điểm M thuộc elip (E) nên thạy tọa độ điểm này vào phương trình
( E) ta được một phương trình ẩn a2; b2
- Bước 3: Từ điều kiện T thiết lập một phương trình ẩn a ; b và c.
Mà a2 – b2 = c2. Kết hợp ba phương trình trên để tìm a; b; c.
⇒ Phương trình chính tắc của elip ( E) .
B. Ví dụ minh họa
Ví dụ 1: Elip đi qua các điểm M ( 0; 3) và N( 3; ) có phương trình chính tắc là:
A. = 1
B.
= 1
C. = 1
D.
= 1
Lời giải
Gọi phương trình chính tắc của Elip là
= 1 (a > b > 0).
Elip đi qua điểm M( 0; 3) suy ra: = 1
⇔ = 1
⇔ b2 = 9 ( 1)
Elip đi qua điểm N N( 3;
) suy ra:
= 1 ( 2)
Thay( 1) vào ( 2) ta được: = 1
⇔ = 1
⇔ a2= 25
Vậy phương trình cần tìm là: = 1
Chọn B
Ví dụ 2: Tìm phương trình chính tắc của Elip có tiêu cự bằng 6 và đi qua điểm A( 0; 5).
A. = 1
B.
= 1
C. = 1
D. Đáp án khác
Lời giải
Gọi phương trình chính tắc của Elip có dạng = 1 (a > b > 0).
Ta có tiêu cự bằng 6 nên: 2c = 6 ⇒ c = 3 và a2 - b2 = c2 = 9 ( 1)
Do điểm A(0; 5) thuộc ( E) nên:
= 1
⇔
⇔ b2 = 25 mà b> 0 nên b= 5.
Thay vào (1) ta được : a2 – 25 = 9 ⇔ a2 = 34
⇒ Phương trình chính tắc của elip ( E) :
= 1
Chọn D
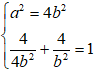
Ví dụ 3: Tìm phương trình chính tắc của Elip có trục lớn gấp đôi trục bé và đi qua điểm
A. = 1
B.
= 1
C. = 1
D.
= 1
Lời giải
Gọi phương trình chính tắc của Elip có dạng = 1 (a > b > 0).
Theo đề ra: Trục lớn gấp đôi trục bé nên : 2a = 2.( 2b)
⇔ a = 2b ⇔ a2 = 4b2
Điểm ( 2; -2) thuộc Elip :
= 1
⇔
= 1
Ta được hệ:
⇒
⇒ Phương trình elip ( E) :
= 1
Chọn D
Ví dụ 4: Phương trình chính tắc của Elip có một tiêu điểm F1(-√3; 0 ) và đi qua M(1;
) là
A. = 1
B.
= 1
C. = 1
D.
= 1
Lời giải
Do elip có một tiêu điểm là F1(- √3; 0) nên c = √3
Phương trình chính tắc của elip có dạng :
(E) : = 1 (a > b > 0)
⇒ c =
= √3
⇒ a2 - b2 = 3(1)
M(1; )∈
(E) ⇒
= 1
⇔ 4b2 + 3a2 = 4a2 b2 (2)
Giải hệ (1) và (2)
⇔
⇔
⇔
Vậy phương trình elip là:
= 1
Chọn C
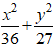
Ví dụ 5: Phương trình chính tắc của elip có hai tiêu điểm F1(- 2;0); F2(2; 0) và đi qua điểm M( 2; 3) là
A. = 1
B.
= 1
C. = 1
D. Tất cả sai
Lời giải
+ Gọi phương trình chính tắc của elip cần tìm: = 1 (a > b > 0).
+ Ta có elip có hai tiêu điểm F1(- 2;0); F2(2; 0) nên c = 2
⇒ a2- b2=c2 = 4 ⇒ a2= b2 + 4 ( 1)
+ Do elip đi qua điểm M( 2; 3) nên :
= 1 ( 2)
+ Từ (1) và (2) ta có hệ phương trình :
+ Giải phương trình ( *) ⇔ 4b2 + 9( b2+ 4) = b2 ( b2 + 4)
⇔ 4b2 + 9b2+ 36 = b4 + 4b2
⇔ b4 – 9b2 -36 = 0 ⇔ b2 = 12
⇒ a2 = b2 + 4 = 16
⇒ Phương trình chính tắc của elip ( E) :
= 1
Chọn A
Ví dụ 6: Lập phương trình chính tắc của elip có tâm O; hai trục đối xứng là hai trục toạ độ và qua hai điểm ,
A. = 1
B.
= 1
C. = 1
D.
= 1
Lời giải
Gọi phương trình chính tắc elip cần tìm là = 1 (a > b > 0).
Do elip đi qua ,
nên ta có hệ :
⇔
Vậy elip cần tìm là
= 1
Chọn C
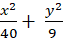
Ví dụ 7: Tìm phương trình chính tắc của elip nếu nó có chiều rộng hình chữ nhật cơ sở là 8 và đi qua A(5; 0) ?
A. = 1
B.
= 1
C. = 1
D.
= 1
Lời giải
Gọi phương trình chính tắc của elip = 1 (a > b > 0).
Do chiều rộng hình chữ nhật cơ sở là 8 nên 2b = 8 ⇔ b = 4
Do elip đi qua điểm A( 5;0) nên: = 1
⇔ a2 = 25
Phương trình chính tắc của elip :
= 1
Chọn B
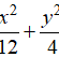
Ví dụ 8: Tìm phương trình chính tắc của elip nếu nó đi qua điểm A(6; 0) và tỉ số của tiêu cự với độ dài trục lớn bằng .
A. = 1
B.
= 1
C. = 1
D.
= 1
Lời giải
Gọi phương trình chính tắc của Elip là: = 1 (a > b > 0).
Elip đi qua điểm A( 6;0) suy ra: =1
⇔ =1 ⇔ a2 = 36 mà a > 0 nên a = 6.
Tỉ số của tiêu cực với độ dài trục lớn bằng
suy ra :
=
=
⇒ c =
=
= 3
⇒ b2 = a2 – c2 = 62 – 32= 27
Vậy phương trình cần tìm là ( E) :
= 1
Chọn A
C. Bài tập vận dụng
Câu 1: Tìm phương trình chính tắc của elip nếu nó đi qua điểm A(2; 1) và có tiêu cự bằng 2√3 ?
A. = 1
B.
= 1
C. = 1
D.
= 1
Lời giải:
Đáp án: D
Trả lời:
Giả sử elip có phương trình tổng quát là = 1 (a > b > 0).
Do elip có tiêu cự là 2√3 nên 2c= 2√3 ⇔ c= √3.
Do ( E) đi qua điểm A(2; 1) và có tiêu cự bằng nên ta có
⇔
⇔
⇔
⇒
Vậy phương trình (E):
= 1
Câu 2: Tìm phương trình chính tắc của elip nếu nó đi qua điểm A( 6;0) và có tâm sai bằng 1/2
A. = 1
B.
= 1
C. = 1
D.
= 1
Lời giải:
Đáp án: B
Trả lời:
Giả sử elip có phương trình tổng quát là = 1 (a > b > 0).
Do ( E) đi qua điểm A(6; 0) và có tâm sai bằng 1/2 nên ta có:
⇔
⇔
⇔
⇒ ( E ) :
= 1
Câu 3: Lập phương trình chính tắc của elip có tiêu cự bằng 8 và đi qua M(√15 ; -1)
A. = 1
B.
= 1
C. = 1
D.
= 1
Lời giải:
Đáp án: A
Trả lời:
Giả sử elip có phương trình tổng quát là = 1 (a > b > 0).
Do ( E) có tiêu cự bằng 8 và đi qua M(√15 ; -1) nên:
⇔
⇔
⇔
⇒
⇔
⇒
⇒ Phương trình chính tắc của elip(E):
= 1
Câu 4: Tìm phương trình chính tắc của elip, biết elip có chiều dài hình chữ nhật cơ sở bằng 4√5 và đi qua điểm M( 0; -1)?
A. = 1
B.
= 1
C. = 1
D.
= 1
Lời giải:
Đáp án: D
Trả lời:
Gọi phương trình chính tắc của Elip là: = 1 (a > b > 0).
Elip có chiều dài hình chữ nhật cơ sở bằng 4√5 suy ra:
2a= 4 √5 nên a= 2√5 và a2= 20
Elip đi qua điểm M(0; -1) suy ra:
= 1 ( 2)
⇒
= 1 ⇒ b2 = 1
Vậy phương trình cần tìm là:
= 1
Câu 5: Elip qua điểm M(2;
) và có một tiêu điểm F( 2; 0) . Phương trình chính tắc của elip là:
A. = 1
B.
= 1
C. = 1
D.
= 1
Lời giải:
Đáp án: A
Trả lời:
Gọi phương trình chính tắc của Elip là: = 1 (a > b > 0).
Elip có một tiêu điểm là F( 2; 0) suy ra c= 2 và c2= 4 ⇔ a2- b2 = 4 (1).
Elip đi qua điểm M(2;
) suy ra
= 1 ( 2).
Từ (1) suy ra a2= b2 + 4 thay vào (2) ta được :
= 1
⇔ 36b2 + 25( b2 +4) = 9b2 ( b2 + 4)
⇔ 36b2 + 25b2 + 100 = 9b4 + 36b2
⇔ 9b4 – 25b2 – 100 = 0
⇔ b2 = 5 nên a2 = b2 + 4 = 9
Vậy phương trình cần tìm là ( E):
= 1
Câu 6: Tìm phương trình chính tắc của elip nếu nó đi qua điểm N(2; ) và tỉ số của tiêu cự với độ dài
A. = 1
B.
= 1
C. = 1
D.
= 1
Lời giải:
Đáp án: B
Trả lời:
Gọi phương trình chính tắc của Elip là: = 1 (a > b > 0).
Elip đi qua điểm N( 2; ) suy ra:
= 1 ( 1)
Tỉ số của tiêu cực với độ dài trục lớn bằng suy ra:
=
=
⇒ c =
⇒ c2= .
Kết hợp với điều kiện b2 = a2 – c2 ta được :
b2 = a2 - =
hay 9b2 = 5a2 (2)
Thay ( 2) vào ( 1) ta được :
= 1
⇔
= 1
⇔a2= 9 ⇔ b2 = 5
Vậy phương trình cần tìm là ( E):
= 1
Câu 7: Tìm phương trình chính tắc của elip nếu nó đi qua điểm A(2; √3) và tỉ số của độ dài trục lớn với tiêu cự bằng .
A. = 1
B.
= 1
C. = 1
D.
= 1
Lời giải:
Đáp án: A
Trả lời:
Gọi phương trình chính tắc của Elip là: = 1 (a > b > 0).
Elip đi qua điểm A( 2; √3) suy ra: =1 ( 1)
Tỉ số của độ dài trục lớn với tiêu cự bằng suy ra:
=
=
⇒ c =
và c2 =
Kết hợp với điều kiện b2 = a2 - c2 ta được :
b2 = a2 - =
nên a2= 4b2 ( 2) .
Thay ( 2) vào (1) ta được : = 1 ⇔ b2 = 4
⇒ a2 = 4b2 = 16
Vậy phương trình cần tìm là:
= 1
Câu 8: . Lập phương trình chính tắc của elip, biết elip đi qua hai điểm A( 7;0) và B(0; 3).
A. = 1
B.
= 1
C. = 1
D.
= 1
Lời giải:
Đáp án: D
Trả lời:
Gọi phương trình chính tắc của Elip là : = 1 (a > b > 0).
Elip đi qua điểm A( 7; 0) suy ra: = 1
⇔ = 1 ⇔ a2= 49.
Elip đi qua điểm B(0; 3) suy ra: = 1
⇔ = 1 ⇔ b2 = 9
Vậy phương trình cần tìm là :
= 1
Câu 9: Elip đi qua các điểm A( 0; 1) và N( 1; ) có phương trình chính tắc là:
A. = 1
B.
= 1
C. = 1
D.
= 1
Lời giải:
Đáp án: C
Trả lời:
Gọi phương trình chính tắc của Elip là : = 1 (a > b > 0).
Elip đi qua điểm A( 0; 1) suy ra: = 1
⇔ =1 ⇔ b2 = 1 ( 1)
Elip đi qua điểm N( 1; ) suy ra: :
= 1 ( 2)
Thay( 1) vào ( 2) ta được: = 1
⇔ =
⇔ a2= 4
Vậy phương trình cần tìm là ( E) :
= 1
D. Bài tập tự luyện
Bài 1. Tìm phương trình chính tắc của elip đi qua hai điểm và .
Bài 2. Tìm phương trình chính tắc của elip đi qua hai điểm và .
Bài 3. Tìm phương trình chính tắc của elip đi qua hai điểm và .
Bài 4. Tìm phương trình chính tắc của elip đi qua hai điểm M(0;1) và .
Bài 5. Tìm phương trình chính tắc của elip đi qua hai điểm và .
(199k) Xem Khóa học Toán 10 KNTTXem Khóa học Toán 10 CDXem Khóa học Toán 10 CTST
Xem thêm các dạng bài tập Toán 10 có đáp án hay khác:
- Tìm tiêu điểm, tiêu cự, tâm sai, trục lớn, trục nhỏ của Elip
- Viết phương trình chính tắc của Elip
- Tìm giao điểm của đường thẳng và Elip
- Các dạng bài tập khác về đường Elip
Để học tốt lớp 10 các môn học sách mới:
- Giải bài tập Lớp 10 Kết nối tri thức
- Giải bài tập Lớp 10 Chân trời sáng tạo
- Giải bài tập Lớp 10 Cánh diều
Tủ sách VIETJACK shopee lớp 10-11 (cả 3 bộ sách):
Đã có app VietJack trên điện thoại, giải bài tập SGK, SBT Soạn văn, Văn mẫu, Thi online, Bài giảng....miễn phí. Tải ngay ứng dụng trên Android và iOS.
Theo dõi chúng tôi miễn phí trên mạng xã hội facebook và youtube:Nếu thấy hay, hãy động viên và chia sẻ nhé! Các bình luận không phù hợp với nội quy bình luận trang web sẽ bị cấm bình luận vĩnh viễn.
- Giải Tiếng Anh 10 Global Success
- Giải Tiếng Anh 10 Friends Global
- Giải sgk Tiếng Anh 10 iLearn Smart World
- Giải sgk Tiếng Anh 10 Explore New Worlds
- Lớp 10 - Kết nối tri thức
- Soạn văn 10 (hay nhất) - KNTT
- Soạn văn 10 (ngắn nhất) - KNTT
- Soạn văn 10 (siêu ngắn) - KNTT
- Giải sgk Toán 10 - KNTT
- Giải sgk Vật lí 10 - KNTT
- Giải sgk Hóa học 10 - KNTT
- Giải sgk Sinh học 10 - KNTT
- Giải sgk Địa lí 10 - KNTT
- Giải sgk Lịch sử 10 - KNTT
- Giải sgk Kinh tế và Pháp luật 10 - KNTT
- Giải sgk Tin học 10 - KNTT
- Giải sgk Công nghệ 10 - KNTT
- Giải sgk Hoạt động trải nghiệm 10 - KNTT
- Giải sgk Giáo dục quốc phòng 10 - KNTT
- Lớp 10 - Chân trời sáng tạo
- Soạn văn 10 (hay nhất) - CTST
- Soạn văn 10 (ngắn nhất) - CTST
- Soạn văn 10 (siêu ngắn) - CTST
- Giải Toán 10 - CTST
- Giải sgk Vật lí 10 - CTST
- Giải sgk Hóa học 10 - CTST
- Giải sgk Sinh học 10 - CTST
- Giải sgk Địa lí 10 - CTST
- Giải sgk Lịch sử 10 - CTST
- Giải sgk Kinh tế và Pháp luật 10 - CTST
- Giải sgk Hoạt động trải nghiệm 10 - CTST
- Lớp 10 - Cánh diều
- Soạn văn 10 (hay nhất) - Cánh diều
- Soạn văn 10 (ngắn nhất) - Cánh diều
- Soạn văn 10 (siêu ngắn) - Cánh diều
- Giải sgk Toán 10 - Cánh diều
- Giải sgk Vật lí 10 - Cánh diều
- Giải sgk Hóa học 10 - Cánh diều
- Giải sgk Sinh học 10 - Cánh diều
- Giải sgk Địa lí 10 - Cánh diều
- Giải sgk Lịch sử 10 - Cánh diều
- Giải sgk Kinh tế và Pháp luật 10 - Cánh diều
- Giải sgk Tin học 10 - Cánh diều
- Giải sgk Công nghệ 10 - Cánh diều
- Giải sgk Hoạt động trải nghiệm 10 - Cánh diều
- Giải sgk Giáo dục quốc phòng 10 - Cánh diều


Giải bài tập SGK & SBT
Tài liệu giáo viên
Sách
Khóa học
Thi online
Hỏi đáp

