100 Bài tập Cực trị của hàm số có lời giải (cơ bản - Phần 1)
Với 100 Bài tập Cực trị của hàm số có lời giải chi tiết sẽ giúp học sinh ôn tập, biết cách làm Bài tập Cực trị của hàm số.
100 Bài tập Cực trị của hàm số có lời giải (cơ bản - Phần 1)
(199k) Xem Khóa học Toán 12 KNTTXem Khóa học Toán 12 CDXem Khóa học Toán 12 CTST
Bài giảng: Các dạng bài tìm cực trị của hàm số - Cô Nguyễn Phương Anh (Giáo viên VietJack)
Câu 1: Cho hàm số
. Tìm mệnh đề đúng?
A. Điểm cực đại của đồ thị hàm số là x = 2.
B. Điểm cực tiểu của đồ thị hàm số là x = 2.
C. Điểm cực đại của đồ thị hàm số là (2; 2/3).
D. Điểm cực tiều của hàm số là (3; 1/2).
Lời giải:
- Tập xác định: D = R.
y' = x2 - 5x + 6; y' = 0
y'' = 2x - 5 và y''= 2x - 5
Do y''(2) = - 1 < 0 nên x = 2 là điểm cực đại của hàm số.
Vì y''(3) = 1 > 0 nên x = 3 là điểm cực tiểu của hàm số.
- Suy ra đồ thị hàm số đã cho có một điểm cực đại (2; 2/3), một điểm cực tiểu (3; 1/2)
Suy ra chọn đáp án C.
Câu 2: Tìm cực trị của hàm số
.
A. x = 5 B. x = 4
C. (4;0) D. Không có điểm cực trị
Lời giải:
- Tập xác định: D = R\{5}.
Suy ra hàm số không có cực trị.
Suy ra chọn đáp án D.
Câu 3: Hàm số y= -x3 + 3x2 + 1 đạt cực tiểu tại:
A. x = 0 B. x = 2
C. Không có cực tiểu D. Đáp án khác
Lời giải:
- TXĐ: D = R.
Ta có: y' = (-x3 + 3x2 + 1)' = -3x2 + 6x, y' = 0 ⇔ -3x(x - 2) = 0
Do y'' = -6x + 6 và y''(0) = 6 > 0 nên x = 0 là điểm cực tiểu của hàm số.
Vì y''(2) = -6 < 0 nên x = 2 là điểm cực đại của hàm số.
Nhận xét: Chúng ta cũng có thể dùng bảng biến thiên để tìm cực đại, cực tiểu của hàm số.
- Bảng biến thiên hàm số: y = -x3 + 3x2 + 1
Dựa vào bảng biến thiên ta thấy x = 0 là điểm cực tiểu
Suy ra chọn đáp án A.
Câu 4: Khẳng định nào sau đây là sai:
A.
có đạt cực tiểu tại – 1.
B.
không có cực trị.
C. y = x4 + 6x2 + 2 đạt cực tiểu là 0.
D. Nếu đạo hàm không đổi dấu trên TXĐ thì hàm không có cực trị.
Lời giải:
Xét phương án
A.
nên hàm số không có cực trị
Suy ra câu A sai.
B.
có đạo hàm: y'= x2 + 2x + 4 = (x + 1)2 + 3 > 0 mọi x nên y là không có cực trị là câu chính xác.
C. y' = 4x3 + 12x = 4x(x2 + 3); y' = 0 ⇔ x = 0
y'' = 12x2 + 12; y''(0) = 12 > 0
⇒ x = 0 là điểm cực tiểu
D. Đây là câu lí thuyết.
Suy ra chọn đáp án A.
Câu 5: Cực trị của hàm số
là:
A. xCD = 0, xCT = 1/3 B. xCD = 3, xCT = -3
C. xCD = 1/3, xCT = 0 D. Không có cực trị.
Lời giải:
- TXĐP: D = R. Ta có:
y' = 3x - 9x2 = 3x(1 - 3x); y' = 0
y'' = 3 - 18x; y''(0) = 3 > 0; y'(1/3) = -3 < 0
⇒ xCD = 1/3, xCT = 0
Kết luận: hàm số đạt cực trị với xCD = 1/3, xCT = 0
Suy ra chọn đáp án C.
Câu 6: Hàm số y = ax4 + bx2 + c với a ≠ 0 có tối đa bao nhiêu cực trị?
A. 1 B. 2
C. 3 D. 4
Lời giải:
Đạo hàm: y' = 4ax3 + 2bx là hàm bậc ba.
Phương trình bậc 3: y' = 0 có tối đa 3 nghiệm. Vậy số điểm cực trị tối đa là 3.
Suy ra chọn đáp án C.
Câu 7: Cho hàm số y = f(x) xác định, liên tục trên R và có bảng biến thiên như sau:
Khẳng định nào sau đây là khẳng định đúng ?
A. Hàm số có đúng một cực trị.
B. Hàm số có giá trị cực tiểu bằng 1.
C. Hàm số có giá trị lớn nhất bằng 0 và giá trị nhỏ nhất bằng -1.
D. Hàm số đạt cực đại tại x = 0 và đạt cực tiểu tại x = 1.
Lời giải:
+ Do hàm số xác định tại x = 0 và đạo hàm đổi dấu từ dương sang âm khi x qua x = 0 nên hàm số đạt cực đại tại x = 0 .
+ Do hàm số xác định tại x = 1; y'(1) = 0 và đạo hàm đổi dấu từ âm sang dương khi x qua x = 1 nên hàm số đạt cực tiểu tại x = 1 .
Suy ra chọn đáp án D.
Câu 8: Cho hàm số y = f(x) xác định, liên tục trên R và có bảng biến thiên như sau:
Khẳng định nào sau đây là khẳng định đúng ?
A. Hàm số có đúng một cực trị.
B. Hàm số có giá trị cực tiểu bằng 1.
C. Hàm số có giá trị lớn nhất bằng 0 và giá trị nhỏ nhất bằng -1.
D. Hàm số đạt cực đại tại x = 0 và đạt cực tiểu tại x = 1.
Lời giải:
+ Do hàm số xác định tại x = 1, y'(1) = 0 và đạo hàm đổi dấu từ âm sang dương khi x đi qua x = 1 nên hàm số đạt cực tiểu tại x = 1; giá trị cực tiểu là y(1) = -1.
+ Tại x = 0 hàm số không xác định nên x= 0 không là điểm cực trị củ hàm số.
+ Hàm số không có giá trị lớn nhất; giá trị nhỏ nhất.
Suy ra chọn đáp án A.
Câu 9: Cho hàm số y = f(x) liên tục tại x0 và có bảng biến thiên
Khi đó hàm số đã cho có:
A. Hai điểm cực đại, một điểm cực tiểu.
B. Một điểm cực đại, không có điểm cực tiểu.
C. Một điểm cực đại, hai điểm cực tiểu.
D. Một điểm cực đại, một điểm cực tiểu.
Lời giải:
+ Hàm số không có đạo hàm tại x0 nhưng hàm số vẫn liên tục tại x0 thì hàm số vẫn đạt cực trị tại x0.
+ Trong trường hợp này; hàm số đạt cực đại tại điểm x1 và đạt cực tiểu tại x0.
Do đó đáp án D đúng.
Suy ra chọn đáp án D.
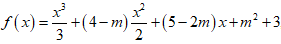
Câu 10: Cho hàm số
với m là tham số thực. Hàm số
có đồ thị (C) và bảng biến thiên sau:
Tìm m sao cho hàm số f(x) đạt cực trị ít nhất tại một điểm mà điểm đó lớn hơn -1?
A. m > 2 B.
C. m < -5/2 D. m > 5/2
Lời giải:
Ta có: f'(x)= x2 + (4 - m)x + 5 - 2m
Xét phương trình: f'(x) = x2 + (4 - m)x + 5 – 2m = 0
⇒ x2 + 4x + 5 = m(x + 2)
Ta có nghiệm của f'(x) = 0 cũng là hoành độ giao điểm của phương trình g(x) = m
Khi đó từ bảng biến thiên, để hàm số đạt cực trị tại ít nhất tại 1 điểm mà điểm đó lớn hơn – 1 khi và chỉ khi m > 2.
Suy ra chọn đáp án A.
Câu 11: Cho hàm số y = f(x) có f'(x) = x(x-1)2.(x + 1)3, hỏi số điểm cực trị của hàm số y = f(x).
A. 1 B. 2
C. 3 D. 4
Lời giải:
f'(x) = 0 ⇔ x(x-1)2.(x + 1)3 = 0
Do x = 1 là nghiệm kép nên không là điểm cực trị của hàm số.
Do x = 0 là nghiệm đơn nên là điểm cực trị của hàm số.
Do x = -1 là nghiệm bội lẻ nên là điểm cực trị của hàm số.
Vậy hàm số đã cho có 2 điểm cực trị.
Suy ra chọn đáp án B.
Câu 12: Hàm số f(x) có đạo hàm f'(x) trên khoảng K. Cho đồ thị của hàm số f'(x) trên khoảng K như sau:
Số điểm cực trị của hàm số f(x) trên K là:
A. 1 B. 2
C. 3 D. 4
Lời giải:
Dựa vào đồ thị ta thấy phương trình f'(x) = 0 chỉ có một nghiệm đơn (tại x = -1) và hai nghiệm kép (tại x = 0 và x = 2).
Suy ra f'(x) chỉ đổi dấu khi qua nghiệm đơn này. Do đó, hàm số f(x) có đúng một cực trị.
Suy ra chọn đáp án A.
Câu 13: Hàm số f(x) có đạo hàm f'(x) trên khoảng K. Cho đồ thị của hàm số f'(x) trên khoảng K như sau:
Số điểm cực trị của hàm số y= f(x) + 2018 trên K là:
A. 1 B. 2
C. 3 D.4
Lời giải:
+ Dựa vào đồ thị ta thấy phương trình f'(x) = 0 có ba nghiệm đơn (đồ thị hàm số y = f'(x) = 0 cắt trục hoành tại 3 điểm phân biệt) nên y' đổi dấu khi qua nghiệm đơn này.
+ Lại có: y = f(x) + 2018 có y'= f'(x). Do đó suy ra hàm số y= f(x) + 2018 có ba điểm cực trị.
Suy ra chọn đáp án C.
Câu 14: Hàm số f(x) có đạo hàm f'(x) trên khoảng K. Cho đồ thị của hàm số f'(x) trên khoảng K như sau:
Số điểm cực trị của hàm số y= f(x) + 2x trên K là:
A. 0 B. 1
C. 2 D. 3
Lời giải:
Hàm số y= f(x) + 2x có đạo hàm y'= f'(x) + 2
Phương trình y’= 0 ⇔ f'(x) = -2
Số nghiệm của phương trình y' = 0 là số giao điểm của đồ thị hàm số y = f'(x) và đường thẳng y = - 2
Dựa vào đồ thị ta thấy phương trình y'= 0 có hai nghiệm và y' không đổi dấu khi qua các nghiệm này. Do đó suy ra hàm số y = f(x) + 2x không có cực trị.
Suy ra chọn đáp án A.
Câu 15: Hàm số f(x) có đạo hàm f’(x) trên R. Cho đồ thị của hàm số f’(x) như sau:
Số điểm cực trị của hàm số y = f(x2) là:
A. 1 B. 2
C. 3 D. 4
Lời giải:
Ta có: y = f(x2) nên y'= 2x. f'(x2)
Dấu y':
Do đó suy ra hàm số y= f(x2) có ba điểm cực trị.
Suy ra chọn đáp án C.
Câu 16: Hàm số y = f(x) có đồ thị như hình bên dưới. Hỏi đồ thị hàm số có mấy điểm cực trị:
A. 3. B. 2.
C. 1. D. 0.
Lời giải:
Căn cứ vào sự đi lên đi xuống của đồ thị ta thấy hàm số có 3 điểm cực trị.
Suy ra chọn đáp án A.
Câu 17: Cho hàm số y = f(x) có đạo hàm và liên tục trên R, hàm số y = f(x) đồ thị như hình vẽ:
Số điểm cực trị của hàm số y = |f(x)| là:
A. 3 B. 4
C. 7 D. 0
Lời giải:
Từ đồ thị hàm số y = f(x) ta suy ra đồ thị hàm số y = |f(x) |.
Dựa vào đồ thị hàm số suy ra hàm số y = |f(x)| có 7 điểm cực trị.
Suy ra chọn đáp án C.
Câu 18: Cho hàm số y = f(x) có đạo hàm và liên tục trên R, hàm số y = f(x) đồ thị như hình vẽ sau. Số điểm cực trị của hàm số y = f(|x|) là:
A. 0 B. 2
C. 4 D. 5
Lời giải:
Từ đồ thị hàm số y = f(x) ta suy ra đồ thị hàm số y = f(|x|).
Từ đồ thị hàm số y= f(|x|); suy ra hàm số có 5 điểm cực trị.
Suy ra chọn đáp án D.
Câu 19: Cho hàm số y = f(x) có đạo hàm và liên tục trên R, hàm số y = f(x) có đồ thị như hình vẽ sau. Số điểm cực trị của hàm số y = |2f(x) – 3| là:
A. 3 B. 5
C. 7 D. 9
Lời giải:
Từ đồ thị hàm số y= f(x) ta suy ra đồ thị hàm số y = |2f(x) - 3|
Suy ra đồ thị hàm số y = |2f(x) - 3| có 7 điểm cực trị.
Suy ra chọn đáp án C.
Câu 20: Cho hàm số y = f(x) có đạo hàm và liên tục trên R, hàm số y = f(x) đồ thị như hình vẽ:
Số điểm cực trị của hàm số y = |[f(x)]2 - 1| là:
A. 7 B. 9
C. 11 D. 13
Lời giải:
Đặt u(x) = f2(x) – 1
Đạo hàm: u'(x) = 2f(x).f'(x)
Phương trình u'(x) = 0 có các nghiệm đơn.
Suy ra đồ thị hàm số y = |[f(x)]2 - 1|
Đồ thị hàm số y = |[f(x)]2 - 1| có 13 điểm cực trị.
Suy ra chọn đáp án D.
Câu 21: Hàm số
với m ≠ 0 đạt cực đại tại x = -4/5 với giá trị của m nào dưới đây ?
A. m = 0 B. m = -13/5
C. m = -5/4 D. m = 2/3
Lời giải:
Hàm số đạt giá trị cực đại tại x khi y'(x) = 0 và y''(x) < 0
Ta có: y'(x) = m2.x2 – 2mx và y'' = 2m2x – 2m
- Hàm số đạt cực đại tại x = -4/5 khi
Suy ra chọn đáp án C.
Câu 22: Tìm giá trị cực đại yCĐ của hàm số y = x3 – 3x + 2
A. yCĐ = 4 B. yCĐ = 1
C. yCĐ = 0 D. yCĐ = -1
Lời giải:
Đạo hàm: y'= 3x2 – 3
Xét phương trình y' = 0 ⇔ 3x2 – 3 = 0 ⇔ x = 1 hoặc x = -1.
Ta có y'' = 6x.
Do y''(1)= 6 > 0 nên điểm x = 1 là điểm cực tiểu của hàm số.
Do y''(-1)= -6 < 0 nên điểm x = -1 là điểm cực đại của hàm số
⇒ Giá trị cực đại là: yCĐ = y(-1) = 4.
Suy ra chọn đáp án A.
Câu 23: Cho hàm số
có 2 cực trị x1, x2. Tính S = x1 + x2.
A. S = 2 B. S = -2
C. S = 2√3 D. S = -2√3
Lời giải:
TXĐ: D = R\{1}
Vậy S = x1 + x2 = 2.
Suy ra chọn đáp án A.
Câu 24: Tìm m để hàm số
có 2 cực trị x1, x2 thỏa mãn x1.x2 + 2.(x1 + x2) = 1
A. m = 2/√3 B. m = 3/√2
C. m = 2/3 D. Đáp án khác
Lời giải:
Đạo hàm: y' = 2x2 – 2mx – 2(3m2 - 1)
Xét phương trình y' = 0 ⇔ x2 – mx – 3m2 + 1 = 0
Để hàm số có 2 điểm cực trị
⇔ Δ = b2 - 4ac = 13m2 - 4 > 0
Khi đó: x1.x2 + 2(x1 + x2) = 1 ⇔ -3m2 + 1 + 2m = 1
Vậy m = 2/3 thỏa điều kiện đặt ra.
Suy ra chọn đáp án C.
Câu 25: Cho hàm số y= -x4 + (5m - 1)x2 + 2. Hàm số đã cho có đúng 1 cực trị với giá trị nào của m sau đây ?
A. m ≥ 1/5 B. m > 1/5
C. m < 1/5 D. m ≤ 1/5
Lời giải:
y' = -4x3 + 2(5m - 1)x; y' = 0
Để hàm số có đúng 1 cực trị
Suy ra chọn đáp án D.
Câu 26:
, với giá trị nào của m thì hàm số có cực tiểu, cực đại
A. 4 ≤ m ≤ 1 B. -4 ≤ m ≤ 1
C. m < -4 hoặc m > 1 D. m ≤ -4 hoặc m ≥ 1
Lời giải:
Đạo hàm: f'(x) = x2 + 2mx – 3m + 4
Xét phương trình: f'(x) = 0 hay x2 + 2mx – 3m + 4 =0
Hàm số đã cho có cực đại và cực tiểu khi và chỉ khi f'(x) = 0 có 2 nghiệm phân biệt.
Δ' = m2 + 3m - 4 > 0
Suy ra chọn đáp án C.
Câu 27: Hàm số y = ax3 + bx2 + cx + d với a ≠ 0 có 2 cực trị khi nào ?
A. y' = 0 có nghiệm.
B. y' = 0 có 2 nghiệm phân biệt.
C. y' = 0 có 2 nghiệm trái dấu.
D. Hàm số luôn có 2 cực trị.
Lời giải:
Hàm số bậc ba y = ax3 + bx2 + cx + d với a ≠ 0 có đạo hàm y' = 3ax2 + 2bx + c (*)
Để hàm số đã cho có hai điểm cực trị khi và chỉ khi y' = 0 có 2 nghiệm phân biệt.
Suy ra chọn đáp án B.
Câu 28: Cho hàm số
. Mệnh đề nào sau đây là đúng?
A. Hàm số có giá trị cực tiểu là 0.
B. Hàm số có hai giá trị cực tiểu là -2/3 và -5/48.
C. Hàm số chỉ có một giá trị cực tiểu.
D. Hàm số có giá trị cực tiểu là -2/3 và giá trị cực đại là -5/48.
Lời giải:
TXĐ: D = R và có đạo hàm y' = 4x3 – 2x2 – 2x = 2x(2x2 – x – 1)
Bảng biến thiên
Dựa vào bảng biến thiên ta có đáp án B.
Suy ra chọn đáp án B.
Câu 29: Tọa độ điểm cực đại của hàm số y = x3 – 3x2 + 4 là:
A. (2;4) B. (2; 0)
C. (0;- 4) D. (0 ; 4)
Lời giải:
Tập xác định: D= R.
Đạo hàm y’= 3x2 – 6x
Xét phương trình: y' = 0
; y'' = 6x - 6
Ta có: y''(0) = - 6 < 0 nên điểm cực đại của hàm số là x = 0 và yCĐ = 4.
Do y''( 2) = 6 > 0 nên điểm x = 2 là điểm cực tiểu của hàm số và yCT = 0 .
Vậy điểm cực đại của đồ thị hàm số là (0; 4)
Suy ra chọn đáp án D.
Câu 30: Cho hàm số y = x3 – 3x2 +1 (C). Đường thẳng đi qua điểm A(- 1; 1) và vuông góc với đường thẳng đi qua hai điểm cực trị của (C) có phương trình là
A. y = - x B. x - 4y + 5 = 0
C. y = 2x + 3 D. x - 2y + 3 = 0
Lời giải:
Cách 1: TXĐ: D = R.
Đạo hàm y'= 3x2 – 6x
Ta có: y = 1/3. (x + 1).y' + (-2x + 1).
Suy ra; đường thẳng đi qua 2 điểm cực trị là Δ: y = -2x + 1
Đường thẳng d vuông góc Δ có dạng d: y = 1/2.x + b
Do A(-1;1) ∈ d ⇒ 1 = -1/2 + b ⇒ b = 3/2.
Vậy đường thẳng d cần tìm là y = 1/2.x + 3/2 hay d: x – 2y + 3 = 0
Cách 2: Ta có: y'= 3x2 - 6x
Tọa độ hai điểm cực trị: B(0; 1) và C(2; -3)
Hệ số góc của đường thẳng BC là:
⇒ Hệ số góc của đường thẳng cần tìm kd = 1/2
(Vì đường thẳng cần tìm vuông góc với đường thẳng tạo bởi hai điểm cực trị nên kBC. kd = -1)
Phương trình đường thẳng d: y = 1/2.(x + 1) + 1 ⇔ x – 2y + 3 = 0.
Suy ra chọn đáp án D.
Câu 31: Cho hàm số y = x3 – 3x có giá trị cực đại và cực tiểu lần lượt là y1; y2. Khi đó:
A. y1 + y2 = 1 B. 2y1 – y2 = 4
C. 2y2 + y1 = 2 D. y1 - y2 = 4
Lời giải:
Ta có: y' = 3x2 - 3 = 0
Do y'' = 6x; y''(1) = 6 > 0 nên điểm x = 1 là điểm cực tiểu của hàm số
Vì y''(-1)= -6 < 0 nên điểm x = -1 là điểm cực đại của hàm số.
Suy ra y1 = y(-1) = 2; y2 = y(1) = -2
Vậy y1 – y2 = 4.
Suy ra chọn đáp án D.
Câu 32: Đồ thị của hàm số y = 3x4 – 4x3 – 6x2 + 12x + 1 đạt cực tiểu tại M(x1; y1). Tính tổng S = x1 + y1
A. 5 B. - 11
C. 7 D. 6
Lời giải:
Đạo hàm y' = 12x3 – 12x2 – 12x + 12
y' = 0 ⇔ x3 - x2 - x + 1 = 0 ⇔ (x + 1)(x - 1)2 = 0
Lập bảng biến thiên, ta thu được điểm cực tiểu là M(-1; -10)
Do đó tổng S = x1 + y1 = -11
Suy ra chọn đáp án B.
Câu 33: Cho hàm số y = f(x) liên tục trên đoạn [0; 4] có đồ thị như hình vẽ. Mệnh đề nào sau đây đúng?
A. Hàm số đạt cực đại tại x = 4.
B. Hàm số đạt cực tiểu tại x = 1.
C. Hàm số đạt cực đại tại x = 2.
D. Hàm số đạt cực tiểu tại x = 3.
Lời giải:
Dựa vào đồ thị hàm số như hình vẽ thì hàm số đạt cực tiểu tại x = 3 và đạt cực đại tại x = 1.
Suy ra chọn đáp án D.
(199k) Xem Khóa học Toán 12 KNTTXem Khóa học Toán 12 CDXem Khóa học Toán 12 CTST
Xem thêm các dạng bài tập Toán lớp 12 ôn thi Tốt nghiệp có lời giải hay khác:
- 100 Bài tập Cực trị của hàm số có lời giải (cơ bản - Phần 2)
- 100 Bài tập Cực trị của hàm số có lời giải (cơ bản - Phần 3)
- 120 Bài tập Cực trị của hàm số có lời giải (nâng cao - Phần 1)
- 120 Bài tập Cực trị của hàm số có lời giải (nâng cao - Phần 2)
Đã có app VietJack trên điện thoại, giải bài tập SGK, SBT Soạn văn, Văn mẫu, Thi online, Bài giảng....miễn phí. Tải ngay ứng dụng trên Android và iOS.
Theo dõi chúng tôi miễn phí trên mạng xã hội facebook và youtube:Nếu thấy hay, hãy động viên và chia sẻ nhé! Các bình luận không phù hợp với nội quy bình luận trang web sẽ bị cấm bình luận vĩnh viễn.
- Giải Tiếng Anh 12 Global Success
- Giải sgk Tiếng Anh 12 Smart World
- Giải sgk Tiếng Anh 12 Friends Global
- Lớp 12 Kết nối tri thức
- Soạn văn 12 (hay nhất) - KNTT
- Soạn văn 12 (ngắn nhất) - KNTT
- Giải sgk Toán 12 - KNTT
- Giải sgk Vật Lí 12 - KNTT
- Giải sgk Hóa học 12 - KNTT
- Giải sgk Sinh học 12 - KNTT
- Giải sgk Lịch Sử 12 - KNTT
- Giải sgk Địa Lí 12 - KNTT
- Giải sgk Giáo dục KTPL 12 - KNTT
- Giải sgk Tin học 12 - KNTT
- Giải sgk Công nghệ 12 - KNTT
- Giải sgk Hoạt động trải nghiệm 12 - KNTT
- Giải sgk Giáo dục quốc phòng 12 - KNTT
- Giải sgk Âm nhạc 12 - KNTT
- Giải sgk Mĩ thuật 12 - KNTT
- Lớp 12 Chân trời sáng tạo
- Soạn văn 12 (hay nhất) - CTST
- Soạn văn 12 (ngắn nhất) - CTST
- Giải sgk Toán 12 - CTST
- Giải sgk Vật Lí 12 - CTST
- Giải sgk Hóa học 12 - CTST
- Giải sgk Sinh học 12 - CTST
- Giải sgk Lịch Sử 12 - CTST
- Giải sgk Địa Lí 12 - CTST
- Giải sgk Giáo dục KTPL 12 - CTST
- Giải sgk Tin học 12 - CTST
- Giải sgk Hoạt động trải nghiệm 12 - CTST
- Giải sgk Âm nhạc 12 - CTST
- Lớp 12 Cánh diều
- Soạn văn 12 Cánh diều (hay nhất)
- Soạn văn 12 Cánh diều (ngắn nhất)
- Giải sgk Toán 12 Cánh diều
- Giải sgk Vật Lí 12 - Cánh diều
- Giải sgk Hóa học 12 - Cánh diều
- Giải sgk Sinh học 12 - Cánh diều
- Giải sgk Lịch Sử 12 - Cánh diều
- Giải sgk Địa Lí 12 - Cánh diều
- Giải sgk Giáo dục KTPL 12 - Cánh diều
- Giải sgk Tin học 12 - Cánh diều
- Giải sgk Công nghệ 12 - Cánh diều
- Giải sgk Hoạt động trải nghiệm 12 - Cánh diều
- Giải sgk Giáo dục quốc phòng 12 - Cánh diều
- Giải sgk Âm nhạc 12 - Cánh diều


Giải bài tập SGK & SBT
Tài liệu giáo viên
Sách
Khóa học
Thi online
Hỏi đáp

