100 Bài tập Cực trị của hàm số có lời giải (cơ bản - Phần 2)
Với 100 Bài tập Cực trị của hàm số có lời giải chi tiết sẽ giúp học sinh ôn tập, biết cách làm Bài tập Cực trị của hàm số.
100 Bài tập Cực trị của hàm số có lời giải (cơ bản - Phần 2)
(199k) Xem Khóa học Toán 12 KNTTXem Khóa học Toán 12 CDXem Khóa học Toán 12 CTST
Bài giảng: Các dạng bài tìm cực trị của hàm số - Cô Nguyễn Phương Anh (Giáo viên VietJack)
Câu 34: Cho hàm số
Tính tổng giá trị cực đại yCĐ và giá trị cực tiểu yCT của hàm số trên.
A. –5 B. 2
C. –4 D. -6
Lời giải:
Tập xác định: D = R\{0}.
Có
Suy ra: yCĐ + yCT = -1 + (-5) = -6 .
Suy ra chọn đáp án D.
Câu 35: Cho hàm số y = (x - 1).(x + 2)2. Trung điểm I của đoạn thẳng nối hai điểm cực trị của đồ thị hàm số nằm trên đường thẳng nào dưới đây?
A. 2x + y + 4 = 0 B. 2x + y - 2 = 0
C. x + 2y + 1 = 0 D. x + y + 1 = 0
Lời giải:
Ta có: y = (x - 1).(x + 2)2 = x3 + 3x2 - 4
Đạo hàm: y' = 3x2 + 6x và y'' = 6x + 6.
Đối với hàm bậc ba, trung điểm của hai điểm cực trị của đồ thị hàm số chính là điểm uốn của đồ thị. Do đó, trung điểm I cần tìm có hoành độ xI thỏa mãn: 6xI + 6 = 0 ⇔ xI = - 1.
⇒ yI = -2
Vậy điểm I cần tìm là (-1; -2). Dễ thấy điểm I thuộc đường thẳng 2x + y + 4 = 0
Suy ra chọn đáp án A.
Câu 36: Cho hàm số
Mệnh đề nào sau đây là đúng?
A. Hàm số đạt cực đại tại x = -3; đạt cực tiểu tại x = 1.
B. Hàm số đạt cực tiểu tại x = -3; đạt cực đại tại x = 1.
C. Hàm số đạt cực tiểu tại x = -3 và x = 1; đạt cực đại tại x = 0.
D. Hàm số đạt cực đại tại x = -3 và x = 1; đạt cực tiểu tại x = 0.
Lời giải:
Đạo hàm: y' = x4 + 2x3 – 3x2 = x2(x2 + 2x – 3)
Bảng biến thiên
Dựa vào bảng biến thiên suy ra hàm số đạt cực tiểu tại x = 1 và đạt cực đại tại x = -3.
Suy ra chọn đáp án A.
Câu 37: Giá trị cực đại của hàm số y = x + sin2x trên (0; π) là:
Lời giải:
Ta có đạo hàm y' = 1 + 2cos2x.
Xét phương trình y' = 0 ⇔ 1 + 2cos2x = 0 ⇔ cos2x = -1/2
Do x ∈ (0; π) ⇒ x = π/3.
Ta có bảng biến thiên
Vậy hàm số đạt cực đại tại x = π/3 và giá trị cực đại của hàm số là
Suy ra chọn đáp án D.
Câu 38: Biết đồ thị hàm số y = ax3 + bx2 + cx + d có hai điểm cực trị là (-1; 18) và (3; -16). Tính a + b + c + d ?
A. – 2 B. -1
C. 1 D. 2
Lời giải:
Đạo hàm: y' = 3ax2 + 2bx + c
Xét phương trình: y’ = 0 ⇔ 3ax2 + 2bx + c = 0 (*)
Do đồ thị hàm số có 2 điểm cực trị nên (*) có 2 nghiệm phân biệt.
Theo hệ thức Vi- et ta có:
Mà 2 điểm cực trị là (-1; 18) và (3; -16) thuộc đồ thị hàm số nên ta có:
-a + b – c + d = 18 (3) và 27a + 9b + 3c + d = -16 ( 4).
Giải hệ 4 phương trình (1); (2); (3); (4) ta có:
Suy ra a + b + c + d = 1.
Suy ra chọn đáp án C.
Câu 39: Cho hàm số y= -x3 + (m + 1)x2 – (m2 + 2m - 3)x – 4, xác định tham số m để đồ thị hàm số y có 2 điểm cực trị nằm về 2 phía của trục trung:
A. m > 3 B. -3 < m < 1
C. -3 ≤ m ≤ 1 D. Với mọi giá trị m.
Lời giải:
Đạo hàm: y' = -3x2 + 2(m + 1)x – (m2 + 2m - 3) (*)
Để đồ thị hàm có hai điểm cực trị nằm về hai phía so với trục tung khi và chỉ khi (*) có hai nghiệm trái dấu:
Suy ra chọn đáp án B.
Câu 40: Giá trị cực tiểu của y = x + 1/x là giá trị nào sau đây ?
A. - 1 B. 1
C. -2 D. 2
Lời giải:
Cách 1: Dùng bảng biến thiên.
Cách 2: Dùng y''
suy ra hàm số đạt cực tiểu tại x = 1.
Vậy giá trị cực tiểu là y(1) = 2.
Suy ra chọn đáp án D.
Câu 41: Tìm điều kiện của m để hàm số y = 2x4 – 4(m + 5)x2 + m2 – 4 có 3 cực trị:
A. m ∈ (-∞; -5) B. m ∈ (-∞; -5]
C. m ∈ [5; +∞) D. m ∈ (5; +∞)
Lời giải:
Đạo hàm: y' = 8x3 – 8(m + 5)x
Xét phương trình y' = 0 ⇔ 8x[x2 – (m + 5)] = 0
Để hàm số đã cho có 3 điểm cực trị khi và chỉ khi phương trình (*) có hai nghiệm phân biệt khác 0
⇔ m + 5 > 0 hay m > -5.
Suy ra chọn đáp án D.
Câu 42: Phương trình đường thẳng đi qua 2 điểm cực trị (nếu có) của hàm số y = -x3 + 2x2 là đường thẳng nào dưới đây:
Lời giải:
Đạo hàm: y' = -3x2 + 4x.
Ta có:
Giả sử hàm số đã cho có hai điểm cực trị x1; x2 khi đó đạo hàm tại hai điểm đó bằng 0: y'(x1) = y'(x2) = 0.
Từ đó, suy ra phương trình đường thẳng đi qua hai điểm cực trị của hàm số là y = 8x/9
Suy ra chọn đáp án A.
Câu 43: Cho hàm số y = f(x) = ax3 + bx2 + cx + d. Hàm số có cực trị là (0; 1); (1; -1). Khi đó xác định hàm số f(x)?
A. f(x) = x3 + 3x + 1 B. f(x) = x3 - 3x + 1
C. f(x) = -x3 + 3x D. f(x) = 2x3 + 6x + 1
Lời giải:
Đạo hàm: y' = 3ax2 + 2bx + c
Hàm số có 2 cực trị là (0; 1) và (1; -1) nên ta có hệ phương trình:
Vậy hàm số cần tìm là: y = x3 – 3x2 + 1
Suy ra chọn đáp án B.
Câu 44: Cho y = x.√(9 - x2). Tìm điểm cực đại của đồ thị hàm số?
Lời giải:
Đạo hàm
Dựa vào bảng biến thiên; đồ thị hàm số đạt cực đại tại
Suy ra chọn đáp án A.
Câu 45: Giả sử m là số cực trị của hàm y = ax3 + bx2 + 1 (a ≠ 0). Xét trên khoảng (1; +∞), m có thể bằng bao nhiêu ?
A. m = 1 B. m = 1 hoặc m = 2
C. m = 0 hoặc m = 2 D. m = 1 hoặc m = 0
Lời giải:
Ta sẽ tính đạo hàm và tìm cực trị của hàm số sau đó xét các cực trị thuộc khoảng (1; +∞)
Đạo hàm: y'= 3ax2 + 2bx = x.(3ax + 2b)
Rõ ràng điểm 0 ∉ (1; +∞) còn -2a/3a có thể ∈ (1; +∞).
Vậy hàm số đã cho có thể có 0 hoặc 1 cực trị trên khoảng (1; +∞).
Suy ra chọn đáp án D.
Câu 46: Cho hàm số
Tìm mệnh đề đúng?
Lời giải:
- TXĐ: D = R
- Bảng biến thiên:
Dựa vào bảng biến thiên ta kết luận hàm số đạt cực tiểu tai x = 0 và x = 3
Suy ra chọn đáp án C.
Câu 47: Hàm số y = ax3 + ax2 - 4 đạt cực tiểu tại x = -2/3 thì a thỏa mãn điều kiện gì ?
A. a > 0 B. a < 0
C. a = 0 D. a ≠ 0
Lời giải:
Đạo hàm y' = 3ax2 + 2ax (*)
- Để hàm số có cực đại cực tiểu khi và chỉ khi (*) có hai nghiệm phân biệt:
⇔ Δ' > 0 ⇔ a ≠ 0 (1)
- Hàm số có cực trị tại x = -2/3 nên:
- Kết hợp (1), (2) suy ra a ≠ 0
Suy ra chọn đáp án D.
Câu 48: Cho hàm trùng phương y = -2x4 + 4(2m2 + 1)x2 + 1, giá trị nhỏ nhất của yCĐ là bao nhiêu
A. min = 1 B. min = 3
C. min = 0 D. min = 2
Lời giải:
Đạo hàm: y' = -8x3 + 8(2m2 + 1)x = -8x.[x2 – (2m2 + 1)].
Nhận xét: Hàm trùng phương có 3 cực trị với hệ số a < 0 sẽ có 2 cực đại và 1 cực tiểu. Từ đó ta xác định được giá trị cực đại:
yCD = -2(2m2 + 1)2 + 4(2m2 + 1)2 = 2(2m2 + 1)2 + 1
Vì 2m2 + 1 ≥ 1 nên 2(2m2 + 1)2 + 1 ≥ 2 + 1 = 3
Do đó min yCĐ = 3. Dấu "=" xảy ra khi m = 0
Suy ra chọn đáp án B.
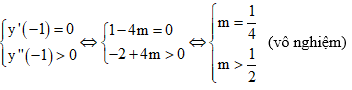
Câu 49: Định m để
đạt cực tiểu tại x = -1
A. m = 1/4 B. m = 1/2
C. m = 1 D. Không có giá trị nào thỏa mãn
Lời giải:
Đạo hàm: y'= x2 + 4mx và y'' = 2x + 4m
Để hàm đạt cực tiểu tại x = -1
Vậy không có giá trị nào của m thỏa mãn.
Suy ra chọn đáp án D.
Câu 50: Cho hàm số:
Xác định giá trị m để cực đại và cực tiểu nằm trong khoảng (-3;4)
A. m ∈ (-2; 5) B. m ∈ (-2; 5)\{3}
C. m ∈ (-∞; 2) D. m ∈ (3; 5)
Lời giải:
Ta cần tìm cực đại và cực tiểu; sau đó cho thuộc vào khoảng đề bài yêu cầu.
Đạo hàm: y’ = x2 + (m- 1)x + m - 2
Để hàm có cực đại, cực tiểu khi và chỉ khi:
Δ = (m - 1)2 - 4.1.(m - 2) > 0 ⇔ (m - 3)2 > 0 ⇔ m ≠ 3 (1)
Với điều kiện trên phương trình y’ = 0 có 2 nghiệm là:
Vì x1 đã thuộc (-3; 4) nên ta chỉ cần định điều kiện để x2 thuộc (-3; 4).
Để x2 thuộc (-3;4) ⇔ -3 < 2 - m < 4
kết hợp (1) ta được m ∈ (-2; 5)\{3}
Suy ra chọn đáp án B.
Câu 51: Đồ thị hàm số
có mấy điểm cực tiểu ?
A. 0 B. 1
C. 2 D. 3
Lời giải:
TXĐ: D = [-3; 3]
Bảng biến thiên
Dựa vào bảng biến thiên ta suy ra hàm số không có cực tiểu
Suy ra chọn đáp án A.
Câu 52: Đường thẳng y = x3 + 3x2 – 3x + 1 có 2 điểm cực trị A và B. Đường thẳng song song với AB có thể là đường nào trong các đường thẳng dưới đây
A. 4x + y – 2 = 0 B. y = -4x + 3
C. 4x + 2y + 3 = 0 D. y = 1/4.x - 2
Lời giải:
Tính đạo hàm, thực hiện phép chia y/y' ta được:
Vậy đường thẳng qua 2 điểm cực trị là: y = -4x + 2
Ta thấy đường thẳng đi qua hai điểm cực trị song song với đường thẳng y = -4x + 3.
Suy ra chọn đáp án B.
Câu 53:Hàm số
tìm mệnh đề đúng?
A. Giá trị cực tiểu là 2√3
B. Giá trị cực đại là 2√3
C. Điểm cực tiểu có hoành độ là –2
D. Điểm cực đại có hoành độ là 2
Lời giải:
- TXĐ: D= [-5; 1]
Xét phương trình y’= 0
- Bảng biến thiên
Dựa vào bảng biến thiên hàm số đạt cực đại tại x = -2 và giá trị cực đại là 2√3
Suy ra chọn đáp án B.
Câu 54: Hàm số y = x3 + mx + 201 có cả cực đại và cực tiểu khi.
A. m < 0 B. m > 0
C. m ≥ 0 D. m ≤ 0
Lời giải:
Đạo hàm y = 3x2 + m
Hàm số y = x3 + mx + 201 có cả cực đại và cực tiểu khi và chỉ khi phương trình y’ = 0 có hai nghiệm phân biệt.
Vậy m < 0.
Suy ra chọn đáp án A.
Câu 55: Cho hàm số y = (m - 2)x3 – mx + 10. Với giá trị nào của m thì hàm số có cực trị?
A. 0 < m < 2 B. m < 1
C. m > 2 hoặc m < 0. D. m > 1
Lời giải:
Tập xác định D = R.
Đạo hàm y'= 3(m – 2).x2 – m.
Xét phương trình: y' = 0 hay 3(m - 2)x2 – m = 0 (1) .
+ TH1: Xét m = 2 khi đó y’= -2 < 0 mọi x nên hàm số đã cho không có cực trị.
+ TH2: Xét m ≠ 2
Hàm số có cực trị khi Δ' > 0 ⇔ m(m - 2) > 0
Vậy để hàm số đã cho có cực trị thì m > 2 hoặc m < 0.
Suy ra chọn đáp án C.
Câu 56: Xác định các giá trị của tham số m để đồ thị hàm số y = mx4 – m2x2 + 1995 có 3 điểm cực trị?
A. m < 0
B. m > 0
C. ∀m ∈ R\{0}
D. Không tồn tại giá trị của m.
Lời giải:
Tập xác định D = R.
Đạo hàm y' = 4mx3 – 2xm2
Để hàm số có 3 điểm cực trị khi
Suy ra chọn đáp án B.
Câu 57: Cho hàm số
(m là tham số).
Tìm tất cả tham số thực m để hàm số đạt cực tiểu tại x = 2.
A. m = 1 B. m = 0
C. m = 2 D. m = 3
Lời giải:
Tập xác định D = R.
Đạo hàm: y' = x2 – 2(m + 1)x + m2 + 2m và y'' = 2x – 2m - 2
Để hàm số đã cho đạt cực tiểu tại x = 2 khi và chỉ khi:
Vậy m = 0 là giá trị cần tìm.
Suy ra chọn đáp án B.
Câu 58: Với giá trị nào của tham số m thì hàm số y = 2(m2 – 3). sinx – 2msin2x + 3m – 1 đạt cực đại tại x = π/3.
A. Không tồn tại giá trị m. B. m = 1
C. m = - 3 D. m = - 3; m = 1.
Lời giải:
Tập xác định D = R.
Đạo hàm y' = 2(m2 - 3).cosx – 4m.cos2x và y'' = 2(3 - m2).sinx + 8m.sin2x
Để hàm số đã cho đạt cực đại tại x = π/3 ta có
Vậy m = - 3 là giá trị cần tìm.
Suy ra chọn đáp án C.
Câu 59: Tìm tất cả tham số thực m để hàm số y = (m - 1)x4 – (m2 – 2)x2 + 201 đạt cực tiểu tại x = -1?
A. m = - 2 B. m = 1
C. m = 2 D. m = 0
Lời giải:
Tập xác định D= R.
Đạo hàm: y' = 4(m - 1)x3 – 2(m2 – 2).x và y'' = 12(m - 1).x2 – 2m2 + 4.
Để hàm số đã cho đạt cực đại tại x = - 1 khi và chỉ khi:
Vậy m = 2 là giá trị cần tìm.
Suy ra chọn đáp án C.
Câu 60: Cho hàm số
chọn phát biểu đúng:
A. Hàm số đạt cực tiểu tại x = 3.
B. Hàm số đạt cực tiểu tại x = 1, x = 5.
C. Hàm số đạt cực trị tại x = 1, x = 3, x = 5
D. Hàm số không có cực trị.
Lời giải:
- TXĐ: D = (-∞; 1] ∪ [5; +∞)
Vậy hàm số không có cực trị.
Suy ra chọn đáp án D.
Câu 61: Cho hàm số y = (x + 2)2.(x - 2)2, phát biểu nào sau đây là đúng ?
A. Đồ thị có 1 cực đại và 2 cực tiểu
B. Đồ thị có 1 cực tiểu và 2 cực đại
C. Đồ thị có 1 cực đại
D. Đồ thị có 1 cực tiểu
Lời giải:
Ta có: y = (x + 2)2.(x - 2)2 = (x2 – 4)2
Hay y = x4 – 8x2 + 16
Đạo hàm: y'= 4x3 – 16x
Do phương trình y' = 0 có 3 nghiệm đơn và hệ số a > 0 nên hàm số đã cho có 1 cực đại và 2 cực tiểu.
Suy ra chọn đáp án A.
Câu 62: Cho hàm số y = 1/3.x3 + (m - 2)x2 - (2m + 3)x + 100, phát biểu nào sau đây là sai khi nói về đồ thị hàm số y ?
A. Hàm số luôn có cực đại cực tiểu ∀m.
B. Hàm số luôn có cực đại cực tiểu ∀m \ {1} .
C. Hàm số luôn có cực đại cực tiểu m ∈ (1; +∞).
D. Hàm số luôn có cực đại cực tiểu m ∈ (-∞; 1).
Lời giải:
Đạo hàm: y'= x2 + 2(m - 2)x – (2m + 3)
- Hàm số có cực đại cực tiểu khi và chỉ khi phương trình y' = 0 có 2 nghiệm phân biệt:
⇔ Δ' = (m - 2)2 + (2m + 3) = m2 – 2m + 7 = (m + 1)2 + 6 > 0 ∀m.
Suy ra phương trình y' = 0 luôn có 2 nghiệm phân biệt nên hàm số đã cho luôn có cực đại và cực tiểu.
Suy ra chọn đáp án A.
Câu 63: Biết rằng hàm số
đạt cực trị bằng 11/4 tại x = 1, khi đó n + m bằng bao nhiêu ?
A. 3 B. 4
C. 1 D. Đáp án khác
Lời giải:
- Đạo hàm: y' = x3 - mx
- Để hàm số đạt cực tiểu bằng 11/4 tại x = 1 thì:
Vậy n + m = 4.
Suy ra chọn đáp án B.
Câu 64: Cho hàm số y = 4sin2x + 102, hàm số đạt cực tiểu tại tập những điểm nào sau đây ?
Lời giải:
Vậy hàm số đạt cực tiểu tại
Suy ra chọn đáp án C.
Câu 65: Cho hàm số có đạo hàm f'(x) = x2.(x - 1)2.(2x – 7). Số cực trị của hàm số y = f(x) là giá trị nào dưới đây?
A. 1 B. 2
C. 3 D. 4
Lời giải:
- Hàm số đạt cực trị tại x = x0 nếu đạo hàm tại điểm đó bằng 0 và y' của hàm số đổi dấu khi qua x0.
- Xét phương trình
Phương trình y' = 0 có 3 nghiệm nhưng chỉ có x = 3/2 làm y’ đổi dấu.
Vậy hàm số đã cho chỉ có 1 cực trị.
Suy ra chọn đáp án A.
Câu 66: Xác định điểm m để y = sin4x - 2m.cosx đạt cực tiểu tại x = π/3 ?
Lời giải:
Đạo hàm: y' = 4cos4x + 2m.sinx và y'' = -16sin4x + 2m.cosx
- Để hàm số đã cho đạt cực tiểu tại điểm có x = π/3
Suy ra chọn đáp án B.
(199k) Xem Khóa học Toán 12 KNTTXem Khóa học Toán 12 CDXem Khóa học Toán 12 CTST
Xem thêm các dạng bài tập Toán lớp 12 ôn thi Tốt nghiệp có lời giải hay khác:
- 100 Bài tập Cực trị của hàm số có lời giải (cơ bản - Phần 3)
- 120 Bài tập Cực trị của hàm số có lời giải (nâng cao - Phần 1)
- 120 Bài tập Cực trị của hàm số có lời giải (nâng cao - Phần 2)
- 120 Bài tập Cực trị của hàm số có lời giải (nâng cao - Phần 3)
Đã có app VietJack trên điện thoại, giải bài tập SGK, SBT Soạn văn, Văn mẫu, Thi online, Bài giảng....miễn phí. Tải ngay ứng dụng trên Android và iOS.
Theo dõi chúng tôi miễn phí trên mạng xã hội facebook và youtube:Nếu thấy hay, hãy động viên và chia sẻ nhé! Các bình luận không phù hợp với nội quy bình luận trang web sẽ bị cấm bình luận vĩnh viễn.
- Giải Tiếng Anh 12 Global Success
- Giải sgk Tiếng Anh 12 Smart World
- Giải sgk Tiếng Anh 12 Friends Global
- Lớp 12 Kết nối tri thức
- Soạn văn 12 (hay nhất) - KNTT
- Soạn văn 12 (ngắn nhất) - KNTT
- Giải sgk Toán 12 - KNTT
- Giải sgk Vật Lí 12 - KNTT
- Giải sgk Hóa học 12 - KNTT
- Giải sgk Sinh học 12 - KNTT
- Giải sgk Lịch Sử 12 - KNTT
- Giải sgk Địa Lí 12 - KNTT
- Giải sgk Giáo dục KTPL 12 - KNTT
- Giải sgk Tin học 12 - KNTT
- Giải sgk Công nghệ 12 - KNTT
- Giải sgk Hoạt động trải nghiệm 12 - KNTT
- Giải sgk Giáo dục quốc phòng 12 - KNTT
- Giải sgk Âm nhạc 12 - KNTT
- Giải sgk Mĩ thuật 12 - KNTT
- Lớp 12 Chân trời sáng tạo
- Soạn văn 12 (hay nhất) - CTST
- Soạn văn 12 (ngắn nhất) - CTST
- Giải sgk Toán 12 - CTST
- Giải sgk Vật Lí 12 - CTST
- Giải sgk Hóa học 12 - CTST
- Giải sgk Sinh học 12 - CTST
- Giải sgk Lịch Sử 12 - CTST
- Giải sgk Địa Lí 12 - CTST
- Giải sgk Giáo dục KTPL 12 - CTST
- Giải sgk Tin học 12 - CTST
- Giải sgk Hoạt động trải nghiệm 12 - CTST
- Giải sgk Âm nhạc 12 - CTST
- Lớp 12 Cánh diều
- Soạn văn 12 Cánh diều (hay nhất)
- Soạn văn 12 Cánh diều (ngắn nhất)
- Giải sgk Toán 12 Cánh diều
- Giải sgk Vật Lí 12 - Cánh diều
- Giải sgk Hóa học 12 - Cánh diều
- Giải sgk Sinh học 12 - Cánh diều
- Giải sgk Lịch Sử 12 - Cánh diều
- Giải sgk Địa Lí 12 - Cánh diều
- Giải sgk Giáo dục KTPL 12 - Cánh diều
- Giải sgk Tin học 12 - Cánh diều
- Giải sgk Công nghệ 12 - Cánh diều
- Giải sgk Hoạt động trải nghiệm 12 - Cánh diều
- Giải sgk Giáo dục quốc phòng 12 - Cánh diều
- Giải sgk Âm nhạc 12 - Cánh diều


Giải bài tập SGK & SBT
Tài liệu giáo viên
Sách
Khóa học
Thi online
Hỏi đáp

