200 bài tập trắc nghiệm Phương pháp tọa độ trong không gian có lời giải (cơ bản - phần 3)
Với 200 bài tập trắc nghiệm Phương pháp tọa độ trong không gian có lời giải chi tiết sẽ giúp học sinh ôn tập, biết cách làm bài tập trắc nghiệm Phương pháp tọa độ trong không gian.
200 bài tập trắc nghiệm Phương pháp tọa độ trong không gian có lời giải (cơ bản - phần 3)
(199k) Học Toán 12 KNTTHọc Toán 12 CDHọc Toán 12 CTST
Bài 1: Trong không gian với hệ trục tọa độ Oxyz, mặt phẳng qua A(1;2;-1) có một véc-tơ pháp tuyến n→= (2;0;0) có phương trình là:
A. y + z = 0.
B. y + z - 1 = 0.
C. x - 1 = 0.
D. 2x - 1 = 0.
Lời giải:
Đáp án: C.
Mặt phẳng qua A(1;2;-1) có véc-tơ pháp tuyến n→= (2;0;0) có dạng 2.(x - 1) = 0 ⇔ x -1 = 0.
Bài 2: Trong không gian với hệ tọa độ Oxyz, véc-tơ nào dưới đây là một véc-tơ pháp tuyến của mặt phẳng (Oxy)?
A. j→= (-5;0;0).
B. k→= (0;0;1).
C. i→= (1;0;0).
D. m→= (1;1;1).
Lời giải:
Đáp án: B.
Mặt phẳng (Oxy): z = 0 có một véc-tơ pháp tuyến là k→= (0;0;1).
Bài 3: Trong không gian với hệ tọa độ Oxyz, cho M(1;-1;2), N(3;1;-4). Viết phương trình mặt phẳng trung trực của MN.
A. x + y + 3z + 5 = 0.
B. x + y - 3z - 5 = 0.
C. x + y + 3z + 1 = 0.
D. x + y - 3z + 5 = 0.
Lời giải:
Đáp án: B.
Mặt phẳng trung trực của MN nhận làm véc-tơ pháp tuyến và đi qua trung điểm I(2;0;-1) của MN nên nó có phương trình x + y - 3z - 5 = 0.
Bài 4: Trong không gian với hệ tọa độ Oxy, cho hai điểm A(2;3;1), B(0;1;2). Phương trình mặt phẳng (P) đi qua A và vuông góc với đường thẳng AB là:
A. (P): 2x + 2y - z = 0.
B. (P): 2x + 2y - z - 9 = 0.
C. (P): 2x + 4y + 3z - 19 = 0.
D. (P): 2x + 4y + 3z - 10 = 0.
Lời giải:
Đáp án: B.
AB⟶= (-2;-2;1) là véc-tơ pháp tuyến của mặt phẳng (P).
Phương trình của mặt phẳng (P) là -2(x - 2) - 2(y - 3) + (z - 1) = 0 hay 2x + 2y - z - 9 = 0.
Bài 5: Trong không gian với hệ toạ độ Oxyz, cho 3 điểm M(3;0;0), N(0;-2;0), P(0;0;1). Mặt phẳng (MNP) có phương trình:
Lời giải:
Đáp án: C.
Ta có M, N, P lần lượt là giao điểm của (MNP) với 3 trục tọa độ.
Bài 6: Trong không gian với hệ trục tọa độ Oxyz, cho 3 điểm A(1;0;0), B(0;-2;0), C(0;0;3). Tìm phương trình mặt phẳng (ABC).
Lời giải:
Đáp án: A.
Do 3 điểm A, B ,C lần lượt nằm trên 3 trục tọa độ Ox, Oy, Oz nên mặt phẳng (ABC) có phương trình:
Bài 7: Trong không gian Oxyz, mặt phẳng (Oxy) có phương trình là:
A. z = 0.
B. x + y + z = 0.
C. y = 0.
D. x = 0.
Lời giải:
Đáp án: A.
Mặt phẳng (Oxy) đi qua O, véc-tơ pháp tuyến k→= (0;0;1) có phương trình 1(z - 0) = 0 ⇔ z = 0.
Bài 8: Trong không gian với hệ toạ độ Oxyz, phương trình nào sau đây là phương trình của mặt phẳng Oxz?
A. y = 0.
B. x = 0.
C. z = 0.
D. y - 1 = 0.
Lời giải:
Đáp án: A.
Phương trình mặt phẳng Oxz là y = 0.
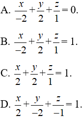
Bài 9: Trong không gian với hệ trục tọa độ Oxyz, cho ba điểm A(-2;0;0), B(0;3;0) và C(0;0;2). Phương trình nào dưới đây là phương trình của mặt phẳng (ABC)?
Lời giải:
Đáp án: D.
Áp dụng công thức phương trình mặt phẳng theo đoạn chắn ta được (ABC):
Bài 10: Trong không gian với hệ toạ độ Oxyz, cho ba điểm A(2;-1;1),B(1;0;4) và C(0;-2;-1). Phương trình mặt phẳng qua A và vuông góc với đường thẳng BC là:
A. 2x + y + 2z - 5 = 0.
B. x + 2y + 5z + 5 = 0.
C. x - 2y + 3z - 7 = 0.
D. x + 2y + 5z - 5 = 0.
Lời giải:
Đáp án: D.
BC⟶= (-1;-2;-5). Mặt phẳng đi qua A và vuông góc với BC, nhận véc-tơ BC⟶làm một véc-tơ pháp tuyến của nó. Suy ra phương trình mặt phẳng là x + 2y + 5z - 5 = 0.
Bài 11: Trong không gian với hệ trục tọa độ Oxyz, gọi (α) là mặt phẳng cắt ba trục tọa độ tại ba điểm A(4;0;0), B(0;-2;0) và C(0;0;6). Phương trình của (α) là:
Lời giải:
Đáp án: C.
Ta có phương trình theo đoạn chắn của (α) là:
Bài 12: Trong không gian với hệ trục tọa độ Oxyz, cho điểm A(2;-1;0) và mặt phẳng (P): x - 2y - 3z + 10 = 0. Phương trình mặt phẳng (Q) đi qua A và song song với mặt phẳng (P) là:
A. x - 2y + 3z + 4 = 0.
B. -x + 2y + 3z + 4 = 0.
C. x - 2y - 3z + 4 = 0.
D. x + 2y - 3z = 0.
Lời giải:
Đáp án: B.
Phương trình mặt phẳng (Q) có dạng: x - 2y - 3z + m = 0 (m ≠ 10).
Vì (Q) đi qua điểm A(2;-1;0) nên ta có 2 + 2 + m = 0 ⇔ m = -4.
Vậy phương trình mặt phẳng (Q) là x - 2y - 3z - 4 = 0 hay -x + 2y + 3z + 4 = 0.
Bài 13: Trong hệ tọa độ Oxyz, phương trình mặt phẳng đi qua điểm A(1;2;3) và có véc-tơ pháp tuyến n→= (-2;0;1) là:
A. - 2x + z + 1 = 0.
B. - 2y + z - 1 = 0.
C. - 2x + z - 1 = 0.
D. - 2x + y - 1 = 0.
Lời giải:
Đáp án: C.
Phương trình của mặt phẳng cần tìm là -2(x - 1) + 0(y - 2) + 1(z - 3) = 0 ⇔ - 2x + z - 1 = 0.
Bài 14: Trong không gian Oxyz, cho ba điểm A(4;3;2), B(-1;-2;1) và C(-2;2;-1). Phương trình mặt phẳng đi qua A và vuông góc với BC là:
A. x - 4y + 2z + 4 = 0.
B. x - 4y - 2z + 4 = 0.
C. x - 4y - 2z - 4 = 0.
D. x + 4y - 2z - 4 = 0.
Lời giải:
Đáp án: A.
Mặt phẳng cần tìm vuông góc với BC nên nhận CB⟶= (1;-4;2) làm véc-tơ pháp tuyến.
Mặt phẳng đi qua A, nhận (1;-4;2) làm véctơ pháp tuyến có phương trình là x - 4y + 2z + 4 = 0.
Bài 15: Trong không gian Oxyz cho A(2;0;0), B(0;-2;0) và C(0;0;-1). Viết phương trình mặt phẳng (ABC).
Lời giải:
Đáp án: D.
Phương trình mặt phẳng (ABC) là:
Bài 16: Trong không gian Oxyz, phương trình mặt phẳng qua ba điểm A(-3;0;0), B(0;-2;0), C(0;0;1) được viết dưới dạng ax + by - 6z + c = 0. Giá trị của T = a + b - c là:
A. -11.
B. -7.
C. -1.
D. 11.
Lời giải:
Đáp án: C.
Sử dụng phương trình đoạn chắn, ta có phương trình mặt phẳng (ABC) là:
⇔ 2x + 3y - 6z + 6 = 0.
Vậy T = a+ b - c = 2 + 3 - 6 = -1.
Bài 17: Trong không gian với hệ tọa độ Oxyz, cho điểm A(-3;4;-2) và n→= (-2;3;-4). Phương trình mặt phẳng (P) đi qua điểm A và nhận n→làm véc-tơ pháp tuyến là:
A. - 3x + 4y - 2z + 26 = 0.
B. - 2x + 3y - 4z + 29 = 0.
C. 2x - 3y + 4z + 29 = 0.
D. 2x - 3y + 4z + 26 = 0.
Lời giải:
Đáp án: D.
Phương trình mặt phẳng (P) đi qua điểm A(-3;4;-2) và nhận n→= (-2;3;-4) làm véc-tơ pháp tuyến là:
-2(x + 3) + 3(y - 4) - 4(z + 2) = 0 ⇔ 2x - 3y + 4z + 26 = 0.
Bài 18: Trong không gian Oxyz, tìm phương trình mặt phẳng (α) cắt ba trục Ox, Oy, Oz lần lượt tại ba điểm A(-3;0;0), B(0;4;0), C(0;0;-2).
A. 4x + 3y - 6z + 12 = 0.
B. 4x + 3y + 6z + 12 = 0.
C. 4x - 3y + 6z + 12 = 0.
D. 4x - 3y + 6z - 12 = 0.
Lời giải:
Đáp án: C.
Phương trình mặt phẳng (α):
⇒ (α): 4x - 3y + 6z + 12 = 0.
Bài 19: Trong không gian với hệ tọa độ Oxyz, cho (α) là mặt phẳng đi qua điểm M(1;-2;4) và có véc-tơ pháp tuyến n→= (2;3;5). Phương trình mặt phẳng (α) là:
A. 2x + 3y + 5z - 16 = 0.
B. x - 2y + 4z - 16 = 0.
C. 2x + 3y + 5z + 16 = 0.
D. x - 2y + 4z = 0.
Lời giải:
Đáp án: A.
Phương trình mặt phẳng (α): 2(x - 1) + 3(y + 2) + 5(z - 4) = 0 ⇔ 2x + 3y + 5z - 16 = 0.
Bài 20: Trong không gian với hệ tọa độ Oxyz, mặt phẳng (P) đi qua điểm G(1;1;1) và vuông góc với đường thẳng OG có phương trình là:
A. x + y + z - 3 = 0.
B. x - y + z = 0.
C. x + y - z - 3 = 0.
D. x + y + z = 0.
Lời giải:
Đáp án: A.
OG⟶= (1;1;1). Phương trình của mặt phẳng (P) là x + y + z - 3 = 0.
Bài 21: Trong không gian với hệ trục toạ độ Oxyz, cho mặt phẳng (P) đi qua gốc toạ độ và nhận n→= (3;2;1) là véctơ pháp tuyến. Phương trình của mặt phẳng (P) là:
A. 3x + 2y + z - 14 = 0.
B. 3x + 2y + z = 0.
C. 3x + 2y + z + 2 = 0.
D. x + 2y + 3z = 0.
Lời giải:
Đáp án: B.
Phương trình của mặt phẳng (P) là: 3(x - 0) + 2(y - 0) + 1(z - 0) = 0 ⇔ 3x + 2y + z = 0.
Bài 22: Trong không gian với hệ tọa độ Oxyz, phương trình mặt phẳng (Oxz) là:
A. x = 0.
B. x + z = 0.
C. z = 0.
D. y = 0.
Lời giải:
Đáp án: D.
Do mặt phẳng (Oxz) đi qua điểm O(0;0;0) và nhận j→= (0;1;0) làm véc-tơ pháp tuyến nên có phương trình tổng quát là y = 0.
Bài 23: Trong không gian với hệ tọa độ Oxyz, mặt phẳng (α) đi qua điểm M(1;2;-3) và nhận n→= (1;-2;3) làm véc-tơ pháp tuyến có phương trình là:
A. x - 2y - 3z + 6 = 0.
B. x - 2y - 3z - 6 = 0.
C. x - 2y + 3z - 12 = 0.
D. x - 2y + 3z + 12 = 0.
Lời giải:
Đáp án: D.
Mặt phẳng (α) đi qua điểm M(1;2;-3) và nhận n→= (1;-2;3) làm véc-tơ pháp tuyến có phương trình là:
1(x - 1) - 2(y - 2) + 3(z + 3) = 0 ⇔ x - 2y + 3z + 12 = 0.
Bài 24: Trong không gian với hệ tọa độ Oxyz, cho ba điểm A(2;0;0), B(0;3;0), C(0;0;4). Mặt phẳng (ABC) có phương trình:
Lời giải:
Đáp án: D.
Áp dụng công thức phương trình mặt phẳng theo đoạn chắn ta có phương trình mặt phẳng (ABC) là:
Bài 25: Trong không gian với hệ tọa độ Oxyz, mặt phẳng (P): 2x + 3y + 4z - 12 = 0 cắt trục Oy tại điểm có tọa độ là:
A. (0;4;0).
B. (0;6;0).
C. (0;3;0).
D. (0;-4;0).
Lời giải:
Đáp án: A.
Cho x = 0; z = 0 ⇒ y = 4. Chọn điểm (0;4;0).
Bài 26: Trong không gian với hệ tọa độ Oxyz, cho mặt phẳng (P): 2x - y - 2z - 3 = 0. Điểm nào dưới đây thuộc mặt phẳng (P)?
A. M(2;-1;-3).
B. Q(3;-1;2).
C. P(2;-1;-1).
D. N(2;-1;-2).
Lời giải:
Đáp án: B.
Ta có 2.3 - (-1) - 2.2 - 3 = 0 nên điểm Q(3;-1;2) ∈ (P).
Bài 27: Trong không gian với hệ trục tọa độ Oxyz, cho mặt phẳng (P): 2x - 3y + z - 10 = 0. Trong các điểm sau, điểm nào nằm trên mặt phẳng (P)?
A. (1;2;0).
B. (2;2;0).
C. (2;-2;0).
D. (2;1;2).
Lời giải:
Đáp án: C.
Thay tọa độ các điểm đã cho vào phương trình mặt phẳng (P) ta có điểm (2;-2;0) thuộc mặt phẳng (P).
Bài 28: Trong không gian Oxyz, cho mặt phẳng (P): 3x + 2y - z + 1 = 0. Điểm nào dưới đây thuộc (P)?
A. N(0;0;-1).
B. M(-10;15;-1).
C. E(1;0;-4).
D. F(-1;-2;-6).
Lời giải:
Đáp án: D.
Ta có 3.xF + 2.yF - zF + 1 = 3.(-1) + 2.(-2) - (-6) + 1 = 0 nên F(-1;-2;-6) ∈ (P).
Bài 29: Trong hệ tọa độ Oxyz điểm M(1;-2;4) thuộc mặt phẳng (P) có phương trình nào sau đây?
A. 3x + 2y + 4 = 0.
B. x + 2y + 3 = 0.
C. x + 2y - 4 = 0.
D. 3x - 2y + 3 = 0.
Lời giải:
Đáp án: B.
Dễ thấy M thuộc mặt phẳng (P): x + 2y + 3 = 0.
Bài 30: Trong không gian với hệ tọa độ Oxyz, điểm nào sau đây không thuộc mặt phẳng (P): x + y + z - 1 = 0.
A. K(0;0;1).
B. J(0;1;0).
C. I(1;0;0).
D. O(0;0;0).
Lời giải:
Đáp án: D.
Dễ thấy điểm O(0;0;0) có tọa độ không thỏa mãn phương trình mặt phẳng (P) nên O ∉ (P).
Bài 31: Trong không gian với hệ tọa độ Oxyz, cho mặt phẳng (α): x + y + z - 6 = 0. Điểm nào dưới đây không thuộc mặt phẳng (α)?
A. M(1;-1;1).
B. Q(3;3;0).
C. N(2;2;2).
D. P(1;2;3).
Lời giải:
Đáp án: A.
Ta có 1 + (-1) + 1 - 6 ≠ 0
⇒ Tọa độ điểm M không thỏa mãn phương trình mặt phẳng (α) nên điểm M không thuộc mặt phẳng (α).
Bài 32: Trong không gian với hệ tọa độ Oxyz, cho điểm M(2;-1;4). Gọi H là hình chiếu vuông góc của M lên mặt phẳng (Oxy). Tọa độ điểm H là:
A. H(2;0;4).
B. H(0;-1;4).
C. H(2;-1;0).
D. H(0;-1;0).
Lời giải:
Đáp án: C.
Do chiếu xuống (Oxy) nên z = 0 và x, y giữ nguyên.
Bài 33: Trong không gian với hệ trục tọa độ Oxyz, điểm nào sau đây thuộc mặt phẳng x - 3y + 2z + 1 = 0?
A. N(0;1;1).
B. Q(2;0;-1).
C. M(3;1;0).
D. P(1;1;1).
Lời giải:
Đáp án: A.
Ta có 0 - 3.1 + 2.1 + 1 = 0. Vậy N(0;1;1) thuộc mặt phẳng x - 3y + 2z + 1 = 0.
Bài 34: Trong không gian với hệ trục toạ độ Oxyz, cho mặt phẳng (α): 2x - 3y - z - 1 = 0. Điểm nào dưới đây không thuộc mặt phẳng (α)?
A. Q(1;2;-5).
B. P(3;1;3).
C. M(-2;1;-8).
D. N(4;2;1).
Lời giải:
Đáp án: B.
Lần lượt thay tọa độ các điểm vào phương trình mặt phẳng thì ta nhận điểm P(3;1;3).
Bài 35: Trong không gian Oxyz, điểm M(3;4;-2) thuộc mặt phẳng nào trong các mặt phẳng sau?
A. (R): x + y - 7 = 0.
B. (S): x + y + z + 5 = 0.
C. (Q): x - 1 = 0.
D. (P): z - 2 = 0.
Lời giải:
Đáp án: A.
Ta có: 3 + 4 - 7 = 0 ⇒ M ∈ (R).
Bài 36: Trong không gian với hệ tọa độ Oxyz, cho mặt phẳng (P): 3x - 2y + z - 5 = 0. Điểm nào dưới đây thuộc mặt phẳng (P)?
A. N(3;-2;-5).
B. P(0;0;-5).
C. Q(3;-2;1).
D. M(1;1;4).
Lời giải:
Đáp án: D.
Ta có 3.1 - 2.1 + 4 - 5 = 0 ⇒ điểm M thuộc mặt phẳng (P).
Bài 37: Trong không gian với hệ tọa độ Oxyz, cho mặt phẳng (P): 2x - y + 3z - 2 = 0. Điểm nào dưới đây thuộc (P)?
A. P(1;1;0).
B. M(1;0;1).
C. N(0;1;1).
D. Q(1;1;1).
Lời giải:
Đáp án: C.
Thay tọa độ điểm N(0;1;1) vào phương trình mặt phẳng (P) ⇒ 2.0 - 1 + 3.1 - 2 = 0 (đúng). Vậy N ∈ (P).
Bài 38: Trong không gian với hệ trục tọa độ Oxyz, cho điểm M(1;-2;3). Tọa độ điểm A là hình chiếu vuông góc của điểm M lên mặt phẳng (Oyz) là:
A. A(1;-2;0).
B. A(0;-2;3).
C. A(1;-2;3).
D. A(1;0;3).
Lời giải:
Đáp án: B.
Điểm nằm trên mặt phẳng Oyz thì có hoành độ bằng 0.
Bài 39: Trong không gian Oxyz, cho mặt phẳng (P): x - 2y + 5z - 4 = 0. Điểm nào sau đây thuộc mặt phẳng (P)?
A. A(0;0;4).
B. B(-1;2;3).
C. C(1;-2;5).
D. D(-5;-2;1).
Lời giải:
Đáp án: D.
Với D(-5;-2;1), thay vào phương trình (P), ta có -5 - 2.(-2) + 5.(1) - 4 = 0. Suy ra D ∈ (P).
Bài 40: Trong không gian với hệ tọa độ Oxyz, tính thể tích tứ diện OABC, biết A, B, C lần lượt là giao điểm của mặt phẳng 2x - 3y + 4z + 24 = 0 với trục Ox, Oy, Oz.
A. 192.
B. 288.
C. 96.
D. 78.
Lời giải:
Đáp án: C.
Theo giả thiết ta có A(-12;0;0), B(0;8;0), C(0;0;-6). Suy ra:
(199k) Học Toán 12 KNTTHọc Toán 12 CDHọc Toán 12 CTST
Xem thêm các dạng bài tập Toán lớp 12 có trong đề thi Tốt nghiệp THPT khác:
- 200 bài tập trắc nghiệm Phương pháp tọa độ trong không gian có lời giải (cơ bản - phần 1)
- 200 bài tập trắc nghiệm Phương pháp tọa độ trong không gian có lời giải (cơ bản - phần 2)
- 200 bài tập trắc nghiệm Phương pháp tọa độ trong không gian có lời giải (cơ bản - phần 4)
- 200 bài tập trắc nghiệm Phương pháp tọa độ trong không gian có lời giải (cơ bản - phần 5)
Đã có app VietJack trên điện thoại, giải bài tập SGK, SBT Soạn văn, Văn mẫu, Thi online, Bài giảng....miễn phí. Tải ngay ứng dụng trên Android và iOS.
Theo dõi chúng tôi miễn phí trên mạng xã hội facebook và youtube:Nếu thấy hay, hãy động viên và chia sẻ nhé! Các bình luận không phù hợp với nội quy bình luận trang web sẽ bị cấm bình luận vĩnh viễn.
- Giải Tiếng Anh 12 Global Success
- Giải sgk Tiếng Anh 12 Smart World
- Giải sgk Tiếng Anh 12 Friends Global
- Lớp 12 Kết nối tri thức
- Soạn văn 12 (hay nhất) - KNTT
- Soạn văn 12 (ngắn nhất) - KNTT
- Giải sgk Toán 12 - KNTT
- Giải sgk Vật Lí 12 - KNTT
- Giải sgk Hóa học 12 - KNTT
- Giải sgk Sinh học 12 - KNTT
- Giải sgk Lịch Sử 12 - KNTT
- Giải sgk Địa Lí 12 - KNTT
- Giải sgk Giáo dục KTPL 12 - KNTT
- Giải sgk Tin học 12 - KNTT
- Giải sgk Công nghệ 12 - KNTT
- Giải sgk Hoạt động trải nghiệm 12 - KNTT
- Giải sgk Giáo dục quốc phòng 12 - KNTT
- Giải sgk Âm nhạc 12 - KNTT
- Giải sgk Mĩ thuật 12 - KNTT
- Lớp 12 Chân trời sáng tạo
- Soạn văn 12 (hay nhất) - CTST
- Soạn văn 12 (ngắn nhất) - CTST
- Giải sgk Toán 12 - CTST
- Giải sgk Vật Lí 12 - CTST
- Giải sgk Hóa học 12 - CTST
- Giải sgk Sinh học 12 - CTST
- Giải sgk Lịch Sử 12 - CTST
- Giải sgk Địa Lí 12 - CTST
- Giải sgk Giáo dục KTPL 12 - CTST
- Giải sgk Tin học 12 - CTST
- Giải sgk Hoạt động trải nghiệm 12 - CTST
- Giải sgk Âm nhạc 12 - CTST
- Lớp 12 Cánh diều
- Soạn văn 12 Cánh diều (hay nhất)
- Soạn văn 12 Cánh diều (ngắn nhất)
- Giải sgk Toán 12 Cánh diều
- Giải sgk Vật Lí 12 - Cánh diều
- Giải sgk Hóa học 12 - Cánh diều
- Giải sgk Sinh học 12 - Cánh diều
- Giải sgk Lịch Sử 12 - Cánh diều
- Giải sgk Địa Lí 12 - Cánh diều
- Giải sgk Giáo dục KTPL 12 - Cánh diều
- Giải sgk Tin học 12 - Cánh diều
- Giải sgk Công nghệ 12 - Cánh diều
- Giải sgk Hoạt động trải nghiệm 12 - Cánh diều
- Giải sgk Giáo dục quốc phòng 12 - Cánh diều
- Giải sgk Âm nhạc 12 - Cánh diều


Giải bài tập SGK & SBT
Tài liệu giáo viên
Sách
Khóa học
Thi online
Hỏi đáp

